UNITED STATES
SECURITIES AND EXCHANGE COMMISSION
WASHINGTON, D.C. 20549
FORM
(Mark One)
For the Fiscal Year Ended:
For the transition period from to
Commission File Number:
(Exact name of registrant as specified in its charter)
(Address of principal executive offices) (Zip Code)
(
(Registrant’s telephone number, including area code)
Securities registered pursuant to Section 12(b) of the Act:
Title of each class: | Trading Symbol(s) | Name of each exchange on which registered: | ||
Securities registered pursuant to Section 12(g) of the Act: None
Indicate by check mark if the registrant is a well-known seasoned issuer, as defined in Rule 405 of the Securities Act.
Yes ☐
Indicate by check mark if the registrant is not required to file reports pursuant to Section 13 or Section 15(d) of the Act.
Yes ☐
Indicate by check mark whether the registrant: (1) has filed all reports required to be filed by Section 13 or 15(d) of the Securities Exchange Act of 1934 during the preceding 12 months (or for such shorter period that the registrant was required to file such reports), and (2) has been subject to such filing requirements for the past 90 days.
Indicate by check mark whether the Registrant has submitted electronically every Interactive Data File required to be submitted pursuant to Rule 405 of Regulation S-T (§ 232.405 of this chapter) during the preceding 12 months (or for such shorter period that the Registrant was required to submit such files).
Indicate by check mark whether the registrant is a large accelerated filer, an accelerated filer, a non-accelerated filer, a smaller reporting company, or an emerging growth company. See definitions of “large accelerated filer,” “accelerated filer,” “smaller reporting company”, and “emerging growth company” in Rule 12b-2 of the Exchange Act.
Large accelerated filer ☐ |
| Accelerated filer ☐ |
| Smaller reporting company |
If an emerging growth company, indicate by check mark if the registrant has elected not to use the extended transition period for complying with any new or revised financial accounting standards provided pursuant to Section 13(a) of the Exchange Act. ☐
Indicate by check mark whether the registrant has filed a report on and attestation to its management’s assessment of the effectiveness of its internal control over financial reporting under Section 404(b) of the Sarbanes-Oxley Act (15 U.S.C. 7262(b)) by the registered public accounting firm that prepared or issued its audit report.
If securities are registered pursuant to Section 12(b) of the Act, indicate by check mark whether the financial statements of the registrant included in the filing reflect the correction of an error to previously issued financial statements. ☐
Indicate by check mark whether any of those error corrections are restatements that required a recovery analysis of incentive-based compensation received by any of the registrant’s executive officers during the relevant recovery period pursuant to §240.10D-1(b). ☐
If securities are registered pursuant to Section 12(b) of the Act, indicate by check mark whether the financial statements of the registrant included in the filing reflect the correction of an error to previously issued financial statements. ☐
Indicate by check mark whether any of those error corrections are restatements that required a recovery analysis of incentive-based compensation received by any of the registrant’s executive officers during the relevant recovery period pursuant to § 240.10D-1(b). ☐
Indicate by check mark whether the registrant is a shell company (as defined in Rule 12b-2 of the Exchange Act). Yes
The aggregate market value of common stock held by non-affiliates of the registrant based on the closing price of the registrant’s common stock as reported on the Nasdaq Global Select Market on December 31, 2022, was $
As of March 29, 2023, the registrant had
INDEX
CAUTIONARY STATEMENT
This document and the information incorporated by reference herein include “forward-looking statements” within the meaning of the “safe harbor” provisions of the U.S. Private Securities Litigation Reform Act of 1995, which may include, but are not limited to, statements regarding our financial outlook, product development, business prospects, and market and industry trends and conditions, as well as the Company’s strategies, plans, objectives, and goals. These forward-looking statements are based on current beliefs, expectations, estimates, forecasts, and projections of, as well as assumptions made by, and information currently available to, the Company’s management. Words such as “expect,” “anticipate,” “should,” “believe,” “hope,” “target,” “project,” “goals,” “estimate,” “potential,” “predict,” “may,” “will,” “might,” “could,” “would,” “seek,” “plan,” “intend,” “shall,” and variations of these terms or the negative of these terms and similar expressions are intended to identify these forward-looking statements. These forward- looking statements are, by their nature, subject to significant risks and uncertainties, many of which involve factors or circumstances that are beyond the Company’s control. These risks and uncertainties include, but are not limited to, our relatively limited operating history; our ability to expand, retain and motivate our employees and manage our growth; risks associated with general industry conditions and competition; general economic factors, including interest rate and currency exchange rate fluctuations; the impact of the global outbreak of the novel coronavirus disease (“COVID-19”); the impact of pharmaceutical industry regulation and health care legislation in the United States and internationally; global trends toward health care cost containment; technological advances, new products and patents attained by competitors; challenges inherent in new product development, including obtaining regulatory approval; the Company’s ability to accurately predict future market conditions; manufacturing difficulties or delays; changes in laws, rules or regulations relating to any aspect of the Company’s business operations, or general economic, market and business conditions; financial instability of international economies and sovereign risk; dependence on the effectiveness of the Company’s patents and other protections for innovative products; and the exposure to litigation, including patent litigation, and/or regulatory actions. Furthermore, there can be no guarantees with respect to pipeline products that the products will receive the necessary regulatory approvals or that they will prove to be commercially successful. If underlying assumptions prove inaccurate or risks or uncertainties materialize, actual results may differ materially from those set forth in the forward-looking statements. The Company assumes no obligation and does not intend to update or otherwise revise any forward-looking statement, whether as a result of new information, future events or otherwise, except as required by applicable law. As a result of these and other risks, uncertainties and assumptions, forward-looking events and circumstances discussed herein might not occur in the way that the Company’s management expects, if at all. Accordingly, you should not place reliance on any forward-looking statement, and all forward-looking statements are herein qualified by reference to the cautionary statements set forth above.
3
PART I
Unless the context requires otherwise, references in this annual report to “NRx,” “Company,” “we,” “us” and “our” and similar designations refer to NRx Pharmaceuticals, Inc. and its subsidiaries.
Item 1. Business
Company Overview
NRx is a clinical-stage pharmaceutical company which develops, through its wholly-owned operating subsidiary, NeuroRx, Inc., (“NeuroRx”), novel therapeutics for the treatment of central nervous system disorders. Our strategy is to apply innovative science to known molecules in the pursuit of therapies for high unmet needs, including lethal conditions.
The company’s patent estate contains broad disclosure of the synergistic combination of NMDA and 5-HT2A antagonist drugs in the treatment of mental health disorders and chronic pain. The Company’s foundation product, NRX-101 (D-cycloserine/lurasidone), is being studied initially for the treatment of bipolar depression in patients with suicidality, has been awarded Fast Track designation, Breakthrough Therapy designation, a Special Protocol Agreement (SPA), and a Biomarker Letter of Support by the U.S. Food and Drug Administration (the “FDA”). To the Company’s knowledge, NRX-101 is the only oral antidepressant demonstrated to reduce suicidal ideation in a phase 2 trial. NRX-101 is covered by four families of U.S. and foreign patents, including a composition of matter patent (U.S. Patent No. 10,583,138 and foreign counterparts).
Suicidal Bipolar Depression was chosen as an initial target for NRX-101 because of the well-defined population and extraordinary unmet medical need associated with this condition. However, non-clinical and clinical evidence suggests that DCS-based medicines may have broad use in the treatment of Post-traumatic Stress Disorder (PTSD) and Chronic Pain, in addition to their use in treatment of depression. These indications collectively affect more than 50 million Americans. Although DCS has been known for more than 70 years as an anti-infective, its propensity to cause psychedelic effects, together with challenges in maintaining drug stability, limited its use clinical use and by the year 2000, DCS was rarely used in the United States. The critical doses of DCS required to achieve a clinical effect in treatment of these conditions was not understood, prior to NRx’s recent patented discoveries.
The discovery that the psychedelic effects of DCS can be attenuated by the concomitant use of serotonin-targeted drugs creates a new life for this promising molecule, whose use was previously limited by hallucinogenic effects. The manufacture of DCS was similarly limited by propensity to form inactive dimers and trimers of the cycloserine ring and no modern manufacturing program was undertaken over the past 50 years. The Company has now modernized the required analytic methodology, achieved control over impurities as required for modern commercial drug manufacture, and solved the stability challenges in a manner that achieved five-year shelf stability in the Company’s phase 2 program and is on track to replicate that stability at commercial scale. These advances by the Company potentially open a broad area of drug development that is enabled by NRx’s extensive worldwide portfolio of 90 patents, 48 of which have been issued and the remainder remain under prosecution.
Prior to its 2021 public offering and Nasdaq listing, the Company attracted private capital sufficient to complete a phase 2 trial that earned Breakthrough Therapy Designation and a Special Protocol Agreement from the FDA but was not in a position to develop or manufacture NRX-101 at scale for broad clinical research. Following its initial public offering and two rounds of fundraising in 2021 and 2022, the Company had resources to transfer its offshore phase 2 drug development to a US manufacturing site, aligned with the FDA on manufacturing and CMC requirements for NRX-101, and for the first time produced ample supplies of NRX-101 in multiple dosage forms to support broad clinical trials and safety databases. The Company is now poised to complete a registration trial for NRX-101 in the treatment of Suicidal Bipolar Depression and to explore its broader use in the treatment of depression, PTSD and chronic pain.
4
NRx Products in Development
NRX-101
NRX-101 is a combined NMDA/5-HT2A-targeted medicine designed to address both depression and suicidal ideation, consisting of a patented, oral, fixed dose combination of D-cycloserine (DCS) and lurasidone. Currently, there are numerous atypical antipsychotic drugs targeting the 5-HT2A receptor, approved for treatment of bipolar depression. However, all are known to increase a side effect known as akathisia, which is closely linked to suicidal ideation and behavior, and all carry a black box warning on the label regarding the potential for increased risk of suicide. In contrast, DCS has been demonstrated in at least two clinical trials (Nierenberg 2022i, Chen 2019ii) to reduce suicidal ideation, a finding also demonstrated for ketamine (Abbar 2022iii, Grunebaum 2017iv). Because its effect is synergistic to the antidepressant effects of serotonin-targeted drugs and because of the specific effect on suicidal ideation, the NMDA receptor of the brain is increasingly viewed as a key target for treating depression and suicidality. To the Company’s knowledge, NRX-101 is the first investigational medicine to advance to Phase 3 for severe bipolar depression in patients with Acute Suicidal Ideation and Behavior (“ASIB”).
A safe, oral medicine for suicidal depression represents a key unmet medical need because the only currently approved treatment for this condition today is electroconvulsive therapy (ECT). Although the effects of NMDA antagonist drugs were first reported by Javitt in 1989, the development of NMDA-targeted medicines has been hampered by the known propensity of direct-acting NMDA-targeted drugs to cause neurotoxicity, addiction, psychedelic effects, and blood pressure elevation. Javitt discovered and patented the finding that when serotonin-targeted drugs are added to NMDA-targeted drugs, the hallucinogenic side effects of NMDA-targeted drugs are blocked and, at the same time, the NMDA component blocks the akathisia that is a known side effect of serotonin-targeted drugs – a side effect associated with suicidal ideation and behavior.
D-cycloserine, the NMDA-targeting component of NRX-101, is a mixed NMDA agonist/antagonist that has been demonstrated in nonclinical studies to have no potential for neurotoxicity or addiction. Although it may have psychedelic effects when given as monotherapy, psychedelic effects of DCS have not been seen in four different studies where DCS was administered together with serotonin-targeted drugs. Javitt additionally discovered and patented the finding that DCS is a mixed NMDA agonist/antagonist and a critical dose of DCS must be administered (in the region of 400mg – 500mg per day) in order to access its NMDA antagonist properties. This finding explains the failure of DCS to demonstrate clinical effects in a number of published trials at lower doses.
Although development of NRX-101 began in 2015, when NeuroRx, Inc. was privately funded, the COVID pandemic interrupted clinical development in March 2020 because of study site closures. The Company was hampered in continuing to manufacture its investigational product in China because of global supply chain and other international challenges. Accordingly, when the Company raised funds in February 2022 to reinitiate the psychiatric drug development program, a strategic decision was made to transfer all manufacture to the United States and to upgrade the Chemical Manufacturing Controls (CMC) level of NRX-101 to a commercial standard prior to entering phase 3 trials.
Manufacturing is a key component of drug approvals and current estimates suggest that more phase 3 biotechnology products fail or experience delays over manufacturing issues than over safety and efficacy. Moreover, registrational studies require either that the trial be conducted with commercial grade investigational product or compel the sponsor to conduct subsequent bridging studies to prove biological equivalence to commercial grade product.
In March 2022, the Company executed a tender process and selected Alcami (Wilmington, NC) as its manufacturing partner. Technology transfer was accomplished within 3 months and a first phase 3/commercial-scale batch was completed by August 2022. In October 2022 sufficient stability data were collected to submit the manufacturing information (IND Module 3) to FDA, which was reviewed without negative comment. The Company submitted a briefing document to FDA detailing the CMC and stability approach as part of a Type C meeting process. On January 10, 2023, FDA provided written feedback in lieu of a Type C meeting in dictating alignment with the FDA regarding its proposed registration manufacturing and stability plan.
5
On February 14, 2023, the Company announced its receipt of the written minutes of a Type B meeting held with the FDA held on January 11, 2023, to outline the clinical & preclinical requirements for registration of NRX-101. Overall, the FDA suggested expanding the safety data base of NRX-101 to allow for chronic/intermittent use of NRX-101, as well as a broadening of the addressable population of the indication (under the SPA or otherwise) to patients with severe bipolar depression and recent acute suicidality regardless of how the initial stabilization was achieved. This broader indication would enable the Company to potentially demonstrate the use of NRX-101 to maintain stabilization from acute suicidality in patients stabilized either with ketamine (NRX-100) or with other standard of care therapeutic approaches. FDA encouraged the Company to request a Breakthrough Therapy Planning Meeting for NRX-101, which we intend to accomplish in second quarter of 2023.
We initiated a new registrational study of NRX-101 for the treatment of severe bipolar depression with ASIB, a potentially lethal condition that currently takes the lives of thousands of Americans each year, after initial stabilization with NRX-100 (described below). We intend to use newly manufactured material that was manufactured using the expected commercial process. On January 3, 2023, the Company announced that its first clinical trial sites had been contracted for this study. Patient recruitment has not yet started for this study.
We are also conducting a clinical study for the treatment of severe bipolar depression in patients with sub-acute suicidal ideation and behavior (“SSIB”), an indication to which we now refer as “Suicidal Treatment Resistant Bipolar Depression.” The US population of patients with Suicidal Treatment Resistant Bipolar Depression is estimated to be between 700,000 and 1,000,000 people. The DSMB reviewed the unblinded results of the first 50 patients randomized and treated in this study. The DSMB found no futility signal at this stage of the trial. Similarly, no safety signals were identified in association with NRX-101 and the DSMB recommended that enrollment in the trial continue as planned. According to the study's statistical analysis plan, the failure to identify futility requires that a numerical advantage of the investigational drug relative to the comparator treatment must be observed by the DSMB. The DSMB will continue to monitor safety and efficacy in the trial. Based on the DSMB findings, together with the recent completion of Phase 3 commercial stage manufacture of NRX-101, the Company has upgraded the ongoing trial to a Phase 2b/3 trial whose results may be used in a future registrational filing, should the primary endpoint be met.
Based on the comments and guidance from the FDA in its recent Type B meeting regarding the registrational Acute Suicidality trial and a potentially broader indication, as well as the guidance it received from the DSMB regarding the ongoing Phase IIb/3 clinical study of NRX-101 for the treatment of severe bipolar depression in patients with SSIB, the Company is evaluating changes to its registrational program for NRX-101 and will seek to consolidate patients originally expected to enroll in the in the ASIB study into the currently enrolling Phase IIb/3 trial. This would potentially allow registration of NRX-101 for Suicidal Treatment-Resistant Bipolar Depression, regardless of the mechanism of stabilization. With the FDA’s guidance to enroll patients for the acute (SPA) study in the outpatient setting only after stabilization, the design of this trial has effectively converged with the currently enrolling phase IIb/3 trial; patients within both groups are deemed to have treatment resistant bipolar depression with suicidality. This broader indication may also offer significant advantages in commercialization, while negating the need for a separate NDA for ketamine in Suicidal stabilization. We expect top-line data from this consolidated trial in the first quarter of 2024.
Lastly, the Company will also continue exploring early signal-finding studies in PTSD and chronic pain.
NRX-100
NRX-100 is racemic ketamine, which is a generic anesthetic that has shown efficacy in some clinical studies of depression and suicidality. In the Company’s STABIL-B Study, NRX-100 was used for the initial stabilization of patients with bipolar depression who were also acutely suicidal, prior to receiving NRX-101 or lurasidone. The Company has opened an Investigational New Drug (IND) file with the FDA for the purpose of developing ketamine as a rapid induction agent in the treatment of Severe Bipolar Depression with Acute Suicidal Ideation and Behavior.
6
Zyesami
Between March 2020 and mid-2022, the Company engaged in the development of aviptadil acetate (ZYESAMI®) for the treatment of respiratory failure in COVID-19 under a collaboration agreement signed with Relief Therapeutics Holdings, AG. ZYESAMI initially showed promise when administered intravenously to patients with acute respiratory failure and demonstrated a statistically significant 2-fold decrease in mortality when administered in a randomized, prospective clinical trial. Significant improvement in survival and recovery was additionally demonstrated by Youssef in a prospective open-label trial conducted at Houston Methodist Hospital. These results were published by Youssef and coworkers in the peer reviewed literature.v This finding was deemed “hypothesis generating” by the US FDA because mortality was the declared secondary endpoint of the clinical trial and the primary endpoint, recovery from respiratory failure, was deemed to be near (P=0.08) but not sufficiently significant to warrant Emergency Use Authorization. The study further documented immediate improvement in levels of blood oxygen and decrease in inflammatory cytokines, evidence of biological activity.
A subsequent large multicenter conducted by the US National Institutes of Health was halted for futility in May 2020. Thus far, the NIH has not published results of the clinical trial. Two additional trials were conducted with inhaled aviptadil for treatment of earlier stages of respiratory failure. One trial, conducted by the Biomedical Advanced Research Development Authority of the US Department of Health and Human Services was similarly halted after hitting a futility endpoint. A second trial, sponsored by NRx was suspended following the first DSMB review of data for lack of funding under the Relief collaboration agreement. In 2022, we suspended our efforts to develop the pharmaceutical product, aviptadil acetate for all indications.
On December 20, 2022, the Company transferred to Relief all of the assets it used in its aviptadil development program. Relief now has the exclusive right to control, and the obligation to use commercially reasonable efforts to develop and commercialize, an aviptadil product. If successful, Relief is obligated to pay NeuroRx (i) milestone payments should Relief successfully obtain commercial approval of an aviptadil product (whether for COVID-19 or any other indication) and (ii) royalties based on a percentage of future sales of an aviptadil product (whether for COVID-19 or any other indication), up to a maximum of $30 million in the aggregate. In addition, Relief has agreed to use commercially reasonable efforts to continue the existing Right to Try Program for aviptadil in the U.S. for at least two years. Following the closing, Relief and NeuroRx dismissed their pending litigation.
Background of the CNS Portfolio
Our CNS portfolio is based upon fundamental scientific discoveries of Daniel Javitt, MD, PhD, a Professor of Psychiatry at Columbia University and co-founder of NRx. In 1987, Daniel Javitt discovered the role of blocking the brain’s NMDA receptor (a molecule on the surface of brain cells) in producing psychosis. The discovery was made in the context of attempting to determine the molecular mechanism by which phencyclidine (angel dust: a once popular drug of abuse frequently added to cannabis) caused acute psychosis in a high proportion of users. Daniel Javitt discovered that phencyclidine exerted its psychotogenic action by blocking the NMDA receptor and devoted the balance of his ongoing career to studying the brain chemistry of schizophrenia, depression, and related disorders. Daniel Javitt is one of the most widely published scientists in molecular psychiatry.
About 10 years after the original discovery, it was learned that NMDA inhibition is the mechanism by which ketamine, dextromethorphan, and other NMDA antagonists exert their antidepressant effects. Javitt subsequently made the seminal observation that when an NMDA antagonist, specifically D-cycloserine (“DCS”), is combined with a traditional (serotonin-targeted) antidepressant or antipsychotic, the two drugs have a synergistic effect wherein antidepressant activity is enhanced, and side effects are decreased. The mechanism of this synergy has been demonstrated in multiple non-clinical models. The discovery has led to a broad patent portfolio now owned by us and to the development of NRX-101, the first investigational drug specifically targeting bipolar depression with suicidality.
7
History of our development of NRX-100/101
NRx was founded in 2015 by Drs. Jonathan Javitt and Daniel Javitt to develop drugs that aim to treat psychiatric disorders based on the initial discovery of the phencyclidine binding site on the NMDA receptor and the role of NMDA antagonists in schizophrenia and experimental psychosis. Javitt subsequently discovered a synergistic effect when NMDA antagonists are combined with inhibitors of the brain’s 5-HT2A receptor (e.g., SSRI antidepressants and atypical antipsychotic drugs). This synergy has now been demonstrated in both laboratory rodent behavioral experiments and in multiple Phase II clinical trials and resulted in a Composition of Matter patent awarded in the U.S. and multiple foreign jurisdictions. Javitt subsequently observed that when patients with depression were treated with DCS, an NMDA antagonist, in combination with antidepressants, they manifested increased antidepressant effect, but did not exhibit the hallucinations and other NMDA effects previously reported with DCS. He further observed that DCS appeared to reduce some of the antidepressant side effects (akathisia) common to all known serotonin-targeted anti-depressants.

Figure 1 Synergistic composition of matter in which drugs that inhibit the NMDA receptor block the akathisia caused by serotonin-targeted drugs and serotonin-targeted drugs, in turn, block the psychedelic effects of NMDA inhibitors. Basis for US Patent 10583138. Source: NeuroRx, Inc.
These patented discoveries support NRX-101, the first investigational oral antidepressant to be granted Fast Track designation, Breakthrough Therapy designation and a Special Protocol Agreement by the FDA for severe bipolar depression in patients with ASIB. NRx is engaged in the research, development and future commercialization of this and other products for the treatment of patients suffering from suicidal ideation in the setting of bipolar depression and major depressive disorder (“MDD”) as well as PTSD and potentially chronic pain. Drugs that inhibit the brain’s NMDA receptor without ketamine’s limitations, have generated substantial interest, and have been explored for the treatment of the above conditions since the finding that ketamine has potent effects in reducing depression and suicidal ideation. It is our view that NRX-101 and our intellectual property to combine different molecules may yield a competitive advantage to use NMDA-inhibiting drugs for this purpose, as other compounds may be limited by adverse elements such as neurotoxicity (with prolonged use), hallucinations, potential habituation (i.e., addictive properties), blood pressure elevations, and/or lack of oral bioavailability.
This synergy is a key discovery underlying the patent portfolio described below. The scientific findings showed that some of the side effects of an NMDA drug can be blocked by the 5-HT2A drug and, in turn, the NMDA component can block akathisia, a known side effect of 5-HT2A-blocking drugs which is known to predispose to suicide. This dual-targeted approach is a primary basis of our worldwide patent portfolio, which currently encompasses 38 pending applications, and 48 granted patents in multiple jurisdictions covering compositions of matter and methods of use (See “NRx Patent Portfolio”). The relevant patents and patent applications in this portfolio are either owned by NeuroRx, exclusively licensed to NeuroRx by Glytech, LLC (“Glytech”), a Delaware limited liability company solely owned by Dr. Daniel Javitt (the “Glytech License”), or exclusively licensed to NeuroRx by Sarah Herzog Memorial Hospital Ezrat Nashim (“SHMH”), a non-profit organization organized under the laws of the State of Israel (the “SHMH License”).
8
NeuroRx owns a U.S. composition of matter patent that covers NRX-101. Patents under the Glytech License, which cover compositions of matter (including NRX-101 and pipeline therapeutic candidates) and methods of use (including methods of using NRX-101 in the treatment of bipolar depression with suicidal ideation and in treating PTSD), have been granted in the U.S., Europe (including validation by 18 members of the European Patent Convention), Japan, Australia and China.
Additional patent applications under the Glytech License cover compositions of matter and methods of use of pipeline therapeutic candidates other than NRX-101 together with methods of use of NRX-101 in treating additional CNS disorders. These patents are pending in various locations including the U.S., Canada, Israel, Europe, Japan, Australia and China. Assuming all maintenance fees are timely paid in each jurisdiction and that the patents are not held invalid or unenforceable by a court or patent office, the patents licensed to NeuroRx by Glytech will expire in each jurisdiction in which they have been granted in 2033 (for the base NRX-101 patents) and 2038 (for the PTSD treatment patents). See “Summary of NRx Material In-licensing Obligations — NRX-100/101 — Glytech Development and License Agreement” for more information. We intend to seek patent extensions as allowed by law.
Patents under the SHMH License, which cover methods of use of DCS, alone or in combination with an antidepressant agent or an antipsychotic agent (including but not limited to lurasidone) in the treatment of depression, have been granted in the U.S. and Europe with additional patent applications covering similar subject matter pending in these countries and in Israel and Canada. Assuming all maintenance fees are timely paid in each jurisdiction and that the patents are not held invalid or unenforceable by a court or patent office, the patents licensed to NeuroRx by SHMH will expire in each jurisdiction in which they have been granted in 2032. See “Summary of NRx Material In-licensing Obligations — NRX-100/101 — Sarah Herzog Memorial Hospital License Agreement” for more information.
Background on the Indication
Bipolar disorder, formerly known as manic depressive disorder, is a well-established psychiatric diagnosis. According to the NIH, an estimated 2.8% of the US adult population had bipolar disorder in the past 12 months, and the lifetime prevalence is 4.4% of adults in the U.S. The risk of ASIB is uniquely high in patients during bipolar depressive episodes, compared to those with MDD, thought disorders, and personality disorders. Lifetime suicide behavior occurs in 25% to 56% of people with bipolar depression. It is possible that a significant portion of the approximately 48,000 deaths in 2021 from suicide in the U.S. were associated with bipolar depression. Substance abuse is high in this population and death due to drug overdoses are generally not counted as suicides. Furthermore, according to the CDC, the COVID-19 pandemic increased many of the risk factors for suicide. Patients with bipolar depression are 20-30 times more likely to attempt suicide than the general population. Some epidemiological study data suggests that over the course of 5 years, approximately 1 in 5 patients suffering from bipolar depression may attempt suicide or have serious thoughts about attempting suicide. The overall rate of death by suicide among bipolar patients is approximately 10-30 fold greater than that of the general population. Those who have attempted suicide are at significantly higher risk to experience another suicide attempt or die by suicide. Thus, ASIB in bipolar depression has uniquely lethal clinical characteristics.
Current Treatment Options for ASIB in Bipolar Depression
Despite its lethal characteristics, there are no approved pharmacologic treatments for patients with ASIB in bipolar depression. As a result, ECT, often combined with inpatient psychiatric care, remains the only FDA-approved treatment for patients with ASIB in bipolar depression, despite ECT’s well-documented side effects that include memory loss and confusion, along with its high cost. In recent years, several combined D2/5-HT2a antagonists have been shown to have efficacy in treating bipolar depression (olanzapine/ fluoxetine combination, quetiapine, lurasidone, cariprazine, lumateperone) with treatment guidelines endorsing common use as first-line standard-of-care treatment in acute bipolar depression. While these medications are effective at reducing overall symptoms of depression, they do not specifically reduce suicidal ideation, and may potentially increase the risk of suicide. In the two bipolar depression registration studies of lurasidone, individuals with active suicidal ideation were specifically excluded because of concerns regarding the possibility of exacerbating suicidality. Similarly, acutely suicidal patients are routinely excluded from clinical trials of other experimental anti-depressive agents. Thus, ASIB in bipolar depression represents a major unmet medical need that must frequently be treated with voluntary or involuntary hospitalization under highly supervised conditions and in some cases the use of ECT.
9
Whereas all approved drugs for depression act primarily through monoaminergic mechanisms, the serendipitous discovery that ketamine can have a rapid and profound effect on depression and suicidality led to the realization that the glutamate system and the N-methyl-D-aspartate receptor (“NMDAR”) may also play an important role in depression and suicidality. In our Phase IIb/III registrational study, acutely suicidal and depressed bipolar patients will receive a single low dose of IV ketamine to determine clinical response. Patients who respond with an acute improvement of suicidality and depressive symptoms to ketamine (NRX-100), in a separate study will receive NRX-101 orally twice daily for up to six weeks to determine if NRX-101 may prolong the resolution of depressive symptoms and time to clinical relapse versus lurasidone.
NMDAR-based Treatment for Bipolar Depression
NRX-101 is a dual-targeted sequential therapy regimen (the “NRx Pharmaceuticals Sequential Therapy”) originally consisting of an initial stabilization treatment with NRX-100 (intravenous ketamine) followed by 6-week treatment with NRX-101 (combined DCS and lurasidone). The treatment is intended for rapid stabilization of individuals with ASIB related to acute exacerbation of depressive symptoms in individuals with bipolar disorder, followed by longer term stabilization to permit resolution of the crisis. The drug is intended for treatment of both depression and ASIB in individuals with an acute depressive decompensation in bipolar disorder.
Rationale for NRX Sequential Treatment
NRX-100 is an intravenous infusion of ketamine administered to enable an initial rapid stabilization of patients with bipolar depression who are acutely suicidal. Once a patient who initially was acutely suicidal is sufficiently stable NRX-101 is administered. NRX-101 is a fixed-dose combination oral capsule composed of DCS and lurasidone used to maintain remission from acute suicidality in acutely depressed bipolar patients. Congruent with our strategy of applying innovative science to known molecules, the NRx Sequential Therapy takes advantage of the unique synergistic confluence of three FDA-approved drugs with long histories of use: DCS, lurasidone and ketamine.
DCS is a broad-spectrum antibiotic approved for the treatment of tuberculosis (Seromycin, or Cycloserine). DCS has been used in millions of patients and has a well-known safety profile. Its antidepressant effects were first noted as a serendipitous observation in individuals with co-morbid tuberculosis and depression receiving high-dose DCS treatment for anti-tuberculosis therapy and subsequently confirmed in a prospective investigation. However, these were not pursued further at the time because of the liability of DCS to induce significant psychotomimetic side effects when given at high dose. The interaction of DCS with the NMDA receptor was first demonstrated in 1989, leading to some interest in NMDAR blockers as potential antidepressant treatments. For example, both DCS and the related compound ACPC were shown to be active in mice, using the forced swim test for depression.
High-dose (>500 mg) DCS was subsequently shown to reduce persistent depressive symptoms in patients with MDD who were depressed despite treatment with approved antidepressant agents. A slow DCS titration was used, with 250 mg/dX3 days, followed by 500 mg/d for 18 days (i.e., until end of week 3); followed by 750 mg/day for 1 week (i.e., until end of week 4), followed by 1000 mg/day (i.e., until end of study). In the study (Figure 13), significant beneficial effects were observed in 13 subjects vs. placebo control with SSRI- nonresponsive depressive symptoms. The improvements were manifest within two weeks and persisted throughout the six-week treatment period. These data suggest a >0.9 effect size. Statistical separation between groups was observed by end of week 4, i.e., within 1 week of initiation of a dose >500 mg/day. An unexpected finding of the study was that psychotomimetic effects of combined DCS and antidepressants were minimal, suggesting unexpected synergy between the two components of the treatment.
Lurasidone is an atypical antipsychotic with approval for the treatment of depressive episodes associated with bipolar I depression in adults and pediatric patients (10-17 years old) as a monotherapy and as an adjunctive therapy with lithium or valproate in adults. It is also approved for the treatment of schizophrenia in adults and patients 13-17 years of age.
10
Ketamine HCl is a dissociative, rapid-acting general anesthetic for intravenous or intramuscular injection, approved for surgical anesthesia. Ketamine has shown in multiple randomized clinical trials the potential to rapidly reduce depressive symptoms and suicidal ideation. However, the clinical effect has been demonstrated to diminish three to seven days post-dose when used intravenously and two days post-dose when the S-enantiomer is delivered intranasally. Ketamine is classified as a schedule III substance under the Controlled Substances Act, due to its potential for addiction.
Whereas ketamine is a direct NMDA channel blocker, which binds to the phencyclidine binding site, DCS in high doses has an NMDA-antagonist effect mediated through interaction with the glycine binding site. This effect is apparently unrelated to its properties as an anti-infective. By combining the potential of DCS to extend the anti-depressant effects of ketamine with the antipsychotic properties of lurasidone, the NRx Pharmaceuticals Sequential Therapy has the potential to stabilize individuals with bipolar depression during acute crisis and address a serious medical need.
Ketamine HCl, infused at 0.5 mg/kg IV over 40 minutes has been shown to induce acute reductions in suicidality and depression in patients with bipolar depression, relative to control. Numerous reports have documented approximately a 50% reduction in the MADRS and up to a 75% reduction in suicidality following a single infusion of ketamine in patients with suicidal ideation and depression. While the long-term repeat use of ketamine for psychiatric indications may be concerning to some, DCS, when combined with Selective Serotonin Reuptake Inhibitor (“SSRI”) antidepressants in patients with treatment resistant depression, and when combined with atypical antipsychotics, in particular lurasidone, has shown separation from control and ability to maintain remission from suicidality and depression over 6 weeks with oral use.

Figure 2 Effect of DCS on persistent depressive symptoms in MDD, when added to existing anti-depressants (Heresco-Levy et. al. 2013).
Preclinical Observations
Cross-species translation of DCS effects is based upon plasma level, such that NMDAR antagonist effects are observed consistently at plasma levels >25 μg/ml (~250 μM). This plasma level is achieved in rodents with doses >30 mg/kg and in humans with doses >10 mg/kg. Evidence for functional target engagement at these doses comes from 1) rodent behavioral studies, 2) clinical studies of DCS in schizophrenia, and 3) clinical studies of DCS in depression.
Effects of DCS on NMDAR activation were first evaluated in 1990 by Hood et al., 1989 who noted inhibition of NMDAR activation by DCS at doses similar to our proposed active dose. These effects were subsequently confirmed by Watson et al., 1990, and the issue of high-dose antagonist effects of DCS were extensively discussed by Lanthorn et al., 1994.
The majority of rodent behavioral studies conducted with DCS used doses of DCS of 30 mg/kg produced significant dose-dependent anxiolytic effects in the fear-potentiated startle assay that were similar to those produced by the known NMDAR glycine-site antagonist 7-chlorokynurenate. The authors state as follows: “…the results of the present study show that D-cycloserine exhibits anxiolytic activity at higher doses, an effect consistent with antagonist activity,” and also argue for potential effectiveness of DCS in treatment of anxiety- and fear-related disorders including generalized anxiety disorder or PTSD.
11
Preclinical Safety
A major concern with use of agents that block the channel site of the NMDAR is their propensity to induce neurotoxicity within frontal brain regions (“Olney lesions”) with extended or higher levels of exposure. This propensity for neurotoxicity has been observed with direct channel-blocking NMDAR agents, but has not been observed with any glycine-site modulator, such as NRX-101. The concern regarding neurotoxicity has caused the FDA to issue new guidance for the development of NMDAR-targeted antidepressants, requiring neurotoxicity studies, according to FDA-agreed protocols. This element of NMDAR-targeted antidepressant use may become increasingly relevant in coming years, because drugs containing ketamine and dextromethorphan, two molecules with known neurotoxic potential in humans have been proposed for repeated administration in the treatment of depression.
We took advice from the FDA in 2016 and conducted a rodent neurotoxicity study according to a protocol agreed in advance between the FDA and NRx Pharmaceuticals. The combination of the drugs for the NRx Pharmaceuticals Sequential Therapy (DCS, lurasidone, and ketamine) were tested according to this protocol and found to have no evidence of neurotoxicity (Figure 3) demonstrating safety factors of 4-fold, 16-fold and 7.4-fold for ketamine, DCS, and lurasidone, respectively.vi Each of the proposed drugs has a long history of safe use in humans, and their adverse event profiles are well characterized.

Figure 3 Rodent neurotoxicity study showing “Olney lesions” induced by the NMDAR channel blocker MK-801 (right). No significant neurotoxicity was observed for DCS (left). Source: Jordan 2022
Direct channel-blocking NMDAR-targeted antidepressants have shown substantial propensity for addiction and abuse liability, a propensity that has not been seen with glycine site modulators. This propensity may be related to theories that have been advanced indicating that such agents also bind opiate receptors. DCS has also been investigated in a drug-abuse liability assay using intravenous self-administration. Both ketamine and S-ketamine are known to have significant abuse liability and support self-administration in rodents. Substantial abuse liability is also known in association with dextromethorphan. We conducted a rodent abuse liability study in which the relative abilities of ketamine, S-ketamine and DCS to support self-administration were investigated in animals trained to self-administer ketamine (Figure 4). As expected, both ketamine (gray bar) and S-ketamine (yellow bar) significantly replaced ketamine, consistent with high clinical abuse potential. DCS did not significantly replace ketamine in this assay, consistent with lack of reported clinical abuse despite >50 years of clinical use.
12

Figure 4 Relative effects of DCS and ketamine on rodent self-administration, showing a significant difference between ketamine and DCS, and no significant difference between DCS and saline. Source: Psychogenics, Inc.
Phase IIb/III Clinical Trial - Sequential Therapy (NRX-100 Followed by NRX-101) for the Treatment of Acute Suicidal Ideation and Behavior in Bipolar Depression: the STABIL-B Study
Study Design
An initial study was conducted to confirm the selected dosing levels for DCS and lurasidone and evaluate the NRx Pharmaceuticals Sequential Therapy approach. The study enrolled patients with severe bipolar depression and acute suicidal ideation and behavior. Severe depressive symptoms are defined as a score of 30 or higher on the Bipolar Inventory of Symptoms Scale (“BISS”) derived MADRS score (“BDM”). Active suicidal intent with or without plan, but requiring hospitalization, was defined as a score of 4 or 5 using the Columbia Suicide Severity Rating Scale (“C-SSRS”). In Stage 1, all subjects received treatment with a blinded infusion of ketamine (0.5 mg/kg) or saline. Response to Stage 1 was defined as 25% improvement in BDM, and C-SSRS 3 or less. Responders to Stage 1 were entered into a 6-week double-blind comparison study of NRX-101 vs. lurasidone alone. The objective of the study was to demonstrate significant superiority of NRX-101 vs. lurasidone alone for maintenance of improvement and prevention of relapse following initial successful IV ketamine treatment.
Dosing: Target doses were used of 950 mg for DCS and 66 mg for lurasidone. Both compounds were titrated upwards over the initial 5-days of treatment. Flexible dosing was permitted to allow dose reduction for side effects, or dose increases for agitation.
Endpoints: The primary endpoint consisted of relative change in BDM score between NRX-101 and lurasidone. Secondary endpoints included suicidality, as reflect in both C-SSRS score and clinician-rated global suicidality impression score (“CGI-SS”) and relapse.
Study Results
Stage 1: 22 subjects entered Stage 1. 17 were assigned to IV ketamine (NRX-100) and 5 to saline. All subjects showed significant response to treatment and were entered into Stage 2.
Stage 2: Data were analyzed for the 17 subjects who responded to IV ketamine in Stage 1. These subjects were randomized to either NRX-101 (n=12) or lurasidone alone (n=5). Sequential treatment with ketamine/NRX-101 significantly reduced depression symptoms compared to sequential treatment with ketamine/lurasidone alone (P=.032) in a last-observation carried forward (“LOCF”) analysis. In a parallel MMRM analysis, a statistical difference of P=0.09 was observed between groups. In addition, there were no relapses during NRX-101 treatment (0/12, 0%) vs. 2 relapses in the lurasidone alone group (2/5, 40%). The between-group significance level of P=0.0735 was not significant but showed feasibility of detecting a difference with larger samples given a similar response pattern.
In LOCF analyses of secondary endpoints, a significant between-group difference was also observed both for C-SSRS (P=0.02) and for CGI-SS (P=0.019). These findings suggest clinically noticeable between-group differences in liability for return of suicidality following initial ketamine treatment. Both effects were non-significant (p =0.11; P=0.15) on MMRM analysis.
13

Figure 5: Change in depression score during Stage 1 and Stage 2 of the STABIL-B study. All subjects improved significantly in Stage 1. In Stage 2, subjects assigned to NRX-101 showed no significant worsening of depression, or reversion toward pre-Study 1 baseline. By contrast, significant worsening was observed in the lurasidone alone group. The mean difference in BDM score through day 42 was 7.7 points (P=0.032 between groups), which was considered a statistically large effect (d=1.60). Source: Nierenberg 2022

Table 1 Change in scores related to suicidal ideation and intent (C-SSRS and CGI-SS) during stage 2 of the STABIL-B study. When scores are analyzed using “Last Observation Carried Forward” (LOCF) a statistically significant difference favoring NRX-101 vs. lurasidone is observed.
No significant treatment-related safety issues were observed in either group, and no deaths were reported in the study. Plasma DCS levels achieved during the study were within the range expected based on prior human PK studies.
Study Interpretation
Overall, these results support continued development of NRX-101 for maintenance of clinical benefit in both depression and suicidality following initial successful treatment with IV ketamine. Significant group differences were observed on LOCF analysis for both depressive symptoms, which was the prespecified primary endpoint, and for suicidality, which was a pre-specified key secondary endpoint. For suicidality, significant LOCF differences were observed both for formal suicidality ratings obtained by certified raters and for clinical impression recorded by the treating physician, suggesting clinically meaningful effect.
The differences were significant in the MMRM analyses, suggesting an effect size in excess of 1.5, which if replicated would exceed the effect size seen with currently approved antidepressants. To increase the likelihood of a successful follow-on trial, NRx powered the phase 2 trial to detect an effect size of 0.72, approximately have the effect size observed in the STABIL-B study. This power analysis suggested a sample size of at least 62 patients and the Company adopted a final sample size of 72 patients to allow for dropouts and losses to follow up. Thus, the magnitude of expected between-group differences suggested that a sample size of 72 subjects would be sufficient to achieve clinical significance if half the effect size seen in the STABIL-B is observed.
14
Study Summary
We initiated a clinical research program of NRX-101 during the second half of 2017 under an FDA IND application that was granted Fast Track designation by the FDA in August 2017 and upon presentation of the results was granted Breakthrough Therapy designation by the FDA in November 2018. In April 2018, the FDA granted a Special Protocol Agreement (SPA). We completed a Phase II clinical trial (the STABIL-B trial) of NRX-101 in 22 patients with severe bipolar depression and Acute Suicidal Ideation and Behavior (ASIB) following initial stabilization with a single dose of ketamine (NRX-100) and saw a statistically significant reduction in depression (P=0.04) and suicidal ideation (P=0.02) compared to lurasidone alone over 42 days of treatment. If this statistically-significant advantage is replicated in the Phase IIb/III clinical trial, under the terms agreed to with the FDA in our Special Protocol Agreement, or in a similar design as per the latest FDA guidance, we aim to submit an NDA to the FDA for the regulatory approval and commercialization of NRX-101 in the U.S. in 2023 and will evaluate our ability to submit to regulatory agencies in other regions or countries.
We believe our products are urgently needed by patients because no current serotonin-targeted antidepressant (such as SSRI drugs) or atypical antipsychotic (e.g., the D2/5HT2A drugs) has been shown to decrease suicidal ideation in patients with bipolar depression or PTSD. Moreover, drugs in these classes bear an FDA-mandated warning regarding the potential increased risk of suicide in vulnerable patients, and to monitor all antidepressant-treated patients for the increased risk of suicide. Ketamine has been shown to decrease suicidal ideation because of its NMDA-blocking properties, but is known to be hallucinogenic, addictive, potentially neurotoxic, and not administrable by mouth. The only FDA-approved therapy for patients with suicidal bipolar depression remains electroconvulsive therapy (“ECT”), a treatment that is known to be effective, but to have a large number of serious side effects, and is very disruptive to the lives of these individuals.
Analysis of the STABIL-B trial showed a statistically significant reduction in depression and suicidal ideation vs. the control group over 42 days. We commenced a pivotal Phase IIb/III clinical trial under an FDA Special Protocol Agreement of our lead product candidate, NRX-101, in 2019 and paused that study due to the pandemic. During this pause we advanced the commercial manufacture of NRX-101, transferring the manufacture from China to the USA. We concluded this transfer and have now generated clinical supplies of NRX-101 using the expected commercial manufacturing process. In 2022 we initiated a Phase II trial of NRX-101 in patients with bipolar depression with SSIB. As of late October 2022, this study is using these new manufactured clinical supplies. In January of 2023 we announced the initiation of a new Phase IIb/III clinical study under the SPA agreement. On February 13, 2023, we issued a press release announcing the receipt of the written minutes and feedback received from the FDA in a Type B meeting held on January 11, 2023. FDA guided the Company to broaden the overall clinical program of NRX-101 to include safety data that would enable the chronic/intermittent use of NRX-101, in accordance with the ICH requirements. ICH requirements should be 1500 patients in the short term, 300-600 patients for 6 months and at least 100 patients for 12 months. This could enable a pathway for the use of NRX-101 by a broader segment of the approximately 7 million individuals in the U.S. with Bipolar Disorder on a long-term basis. The Company is evaluating the timing and cost of expanding its clinical program to access this larger population, as well as the overall guidance provided by the FDA.
Phase IIb/III Clinical Trial - NRX-101 for the Treatment of Severe Bipolar Depression and Subacute Suicidal Ideation or Behavior
Our Phase IIb/III study was originally aimed at investigating the effects of NRx Pharmaceuticals Sequential Therapy with IV ketamine (NRX-100) following by combined DCS + lurasidone (NRX-101) vs. ketamine-lurasidone alone. This study uses a more rapid titration schedule for DCS than was used in STABIL-B, which permits proposed therapeutic dosing levels to be obtained more rapidly. Otherwise, the study methodology remains similar. The objective of the study is to replicate findings from both the Kantrowitz et al., 2015 study (NMDA Antagonists in Bipolar Depression; NCT01833897) and the STABIL-B trial showing rapid remission of symptoms on initial ketamine treatment, followed by maintained improvement throughout the 6-week NRX-101 treatment period. The primary hypotheses are that NRX-101 will be superior to lurasidone alone in maintenance of remission following initial successful stabilization with ketamine, as reflected both in a significant between-group separation on depression and suicidality scores as rated by the MADRS and C-SSRS scales, and in prevention of clinician-rated relapse. The study is being conducted under a SPA with the FDA, and the treatment has been granted breakthrough status. The study’s targeted enrollment of 72 subjects aged between 18-65 who will be randomized 2:1 to NRX-101 vs. lurasidone. Recruitment was halted in February 2020 due to concerns about COVID-19. Because of this pause, and our upcoming readiness of commercial drug supply, we are in the process of initiating a new study with the
15
same protocol, though we are now evaluating this based on the latest FDA feedback. (See Item 1. Business/ Company Overview) This study will be using the aforementioned new drug supply manufactured in the U.S.
In the recent (January 11, 2023) Type B meeting with the Psychiatric Products Division (PPD) of the FDA, the PPD suggested broadening the recruitment of the study to include “recently suicidal” patients stabilized with ketamine and other standard of care approaches in order to broaden the potential label that might be assigned should NRX-101 demonstrate superiority over lurasidone in maintaining remission from depression and suicidal ideation.
Type C Meeting Guidance Received on January 10, 2023 from the FDA on the Chemistry, Manufacturing and Controls (CMC) Aspects of the NRX-101 Program
In response to a request for Type C guidance on the chemistry, manufacturing and controls (CMC) aspects of the NRX-101 program, FDA provided Written Responses on January 10, 2023. As previously announced in October 2022, an updated NRX-101 module 3 was submitted to add the intended commercial manufacturer to the IND. With FDA’s written response, it appears that NRx Pharmaceuticals has reached alignment with the FDA regarding its proposed registration manufacturing and stability monitoring plan. Accordingly, all clinical trials and expanded access programs being conducted with NRX-101 are now being conducted with investigational product manufactured to commercial standards.
Minutes from the Company’s Type B Meeting with the U.S. Food and Drug Administration’s Division of Psychiatry Products Held on January 11, 2023
The purpose of the meeting was to discuss requirements for submission of a New Drug Application for NRX-101. FDA noted in written correspondence that the Special Protocol Agreement (SPA), granted in April 2019 remains in effect. Additionally, the FDA suggested during the meeting that a broadening of the addressable population of the indication (under the SPA or otherwise) to patients with severe bipolar depression and Recent Acute Suicidality regardless of how the initial stabilization was accomplished could represent a more straightforward development program. This broader indication would enable the Company to potentially demonstrate the use of NRX-101 to maintain stabilization from suicidality in patients stabilized either with ketamine or with other standard of care therapeutic approaches. FDA noted that, should the results of such a study be driven primarily by subjects stabilized with ketamine, a New Drug Application for ketamine would also be required.
The FDA further guided the Company to broaden the study of NRX-101 to allow for chronic/intermittent treatment of patients with Bipolar Depression and suicidality. This could enable a pathway for the use of NRX-101 by a broader segment of the approximately 7 million individuals in the U.S. with Bipolar Disorder on a long-term basis. A portion of this population is already being addressed in the Company’s ongoing phase 2 trial, which recently passed its first Data Safety Monitoring Board (DSMB) safety review. Based on this guidance, the Company is considering expanding its current phase 2 clinical trial to a potential registration study now that the manufacture of phase 3/commercial-stage NRX-101 has been completed. The Company previously announced completion of a Type C meeting in which FDA agreed to the Company’s Chemical Manufacturing Control and stability program for drug manufacture.
The FDA further advised the Company that as a chronic, or chronic-intermittent treatment, the safety database requirement under ICH guidelines for NRX-101 should be 1,500 patients short term, 300-600 patients at 6 months and with at least 100 treated for 1 year. The Company is evaluating the timing and cost of this requirement to expand clinical access to this larger population. In addition to its ongoing clinical trials, the Company is planning to augment its safety database via an expanded access program, which could be supported by the availability of its new manufacturing capabilities for NRX-101 and is expected under federal law governing Breakthrough Therapy Designation. The Company will seek cost reimbursement for operating this Expanded Access Program as permitted under current FDA regulations.
In related comments, the FDA accepted the Company’s rationale for deferring pediatric and adolescent studies with NRX-101 until after drug approval and advised the Company to include this rationale in its regulatory filings. The FDA will consider the Company’s submission of an Advice Request to evaluate waiving or deferring chronic carcinogenicity testing as a post-approval commitment. Finally, the FDA’s Controlled Substances Staff advised the Company to closely monitor abuse-related adverse events and possible cases of abuse during clinical trials.
16
Data Safety Monitoring Board (DSMB) Review of NRX-101 for the Treatment of Severe Bipolar Depression and Subacute Suicidal Ideation or Behavior
Safety
In February 2023, the Company reported the recommendations of an independent Data Safety Monitoring Board (DSMB) which reviewed the safety findings of the first fifty enrolled participants in the Company’s phase II clinical trial of NRX-101 for the treatment of severe bipolar depression and subacute suicidal ideation or behavior (www.clinicaltrials.gov NCT NCT03395392). Based on a safety analysis of the first 50 enrolled patients, the DSMB recommended that enrollment in the trial continue as planned and identified no drug-related Serious Adverse Events or other safety issues of concern.
Efficacy
In March 2023, the Company reported the recommendations of the DSMB which reviewed the initial efficacy findings for the enrolled participants in the Company’s phase II clinical trial of NRX-101 for the treatment of severe bipolar depression and subacute suicidal ideation or behavior. The DSMB found no futility signal at this stage of the trial and the DSMB recommended that enrollment in the trial continue as planned. According to the study's statistical analysis plan, the failure to identify futility requires that a numerical advantage of the investigational drug relative to the comparator treatment must be observed by the DSMB. The DSMB will continue to monitor safety and efficacy in the trial.
Clinical Objectives
Our clinical objective is to offer patients the clinical benefit of rapid reduction in symptoms of depression and suicidal ideation that has been observed with intravenous ketamine, while maintaining that benefit with a daily oral agent that does not have ketamine’s potential for abuse and psychosis, and/or required supervised administration. NRX-101 is designed to offer an oral, rapid-onset and sustained home-use therapy that can significantly extend ketamine’s proven anti-suicidal and antidepressant benefits without the drawbacks of ketamine.
We believe that NRX-101 possesses potential development advantages over competing solutions. These include:
| • | Initial focus on bipolar depression with suicidal ideation and behavior. Competitors’ pipeline products are focused on MDD and exclude bipolar patients from clinical trials. Patients with active suicidal ideation were routinely excluded from the clinical trials of those medicines currently approved for the treatment of bipolar depression. |
| • | Lack of habituation and addiction. Ketamine and esketamine are DEA schedule III controlled substances and known to be potentially highly addictive. Preclinical habituation studies show no addiction potential for DCS (the NMDA component of NRX-101) and there is no reported history of abuse of DCS in more than 60 years of human use. |
| • | Hallucinations and vomiting have not been a concern in our clinical studies with NRX-101. Ketamine and some of its derivatives have been associated with hallucinations and other dissociative side effects in numerous clinical studies. Ketamine and esketamine must be administered under medical supervision. For intranasal esketamine (an approved intranasal ketamine derivative for psychiatric use) blood pressure spikes, nausea and vomiting are frequent adverse events. Its label requires the drug to be administered under medical supervision and monitoring of blood pressure. |
| • | Our preclinical studies showed no neurotoxicity: Ketamine and other NMDA blocking drugs have the potential to cause brain cell death when abused / used over extended periods of time and recent FDA guidance requires that proposed NMDA-targeted antidepressants prove the lack of neurotoxicity in histological studies. |
17
Additional indications for NRX-101
Depression and other symptoms of Post-traumatic Stress Disorder
Post-traumatic Stress Disorder (PTSD) affects 13 million Americans and 5 of every 100 adults in the US has PTSD in any given year.vii PTSD is frequently accompanied by Depression. However, the hallmark of PTSD is recurrent memories of the traumatic event, often called “flashbacks,” that may lead to avoidance behavior, negative thoughts, hyperarousal, and suicidal ideation. Although there are several serotonin-targeted medicines that are indicated for use in PTSD, no serotonin-targeted antidepressant has demonstrated an effect in extinction of fear memory in patients. Recently, Sala and coworkers demonstrated the extinction of fear memory in a rodent model of PTSD.viii The same rodent model was implemented by NRx to study the effects of NRX-101 on fear memory extinction.

Figure 6: Effect of DCS (dark blue) and NRX-101 (light blue) in extinction of Fear Memory in the WKY rodent model.
Data on File, NRx Pharmaceuticals, Inc.
A small clinical trial was conducted by de Kleine and coworkers in which a low dose of DCS (50 mg/day) demonstrated an augmentation of response to psychotherapy for PTSD.ix In a related editorial, Krystal suggested, “some provocative findings suggest that when fear extinction takes place during D-cycloserine administration, usual forms of neuroplasticity are enhanced and additional forms of neuroplasticity are recruited that may enhance extinction and protect against reinstatement.x

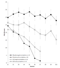
Figure 7 Estimated model means for self-reported posttraumatic stress disorder symptom scores (Posttraumatic Stress Symptom Scale—Self Report; PSS-SR) per completed session for the completer subgroups, with errors bars indicating standard errors. DCS, D-cycloserine (source: deKleine, et. al. 2012)
Javitt demonstrated in animal models that for DCS to maximize its effect on fear memory, plasma dosages in excess of 25µg/mL, must be achieved, which represents an oral dose in excess of 500mg/day. As noted in US patent 10881665B2,
18
low dose DCS did not demonstrate a beneficial effect on fear memory (freezing behavior), while a dose of DCS sufficient to reach this plasma threshold did produce a significant reduction in freezing behavior.
The Company’s 2022 completion of phase 3/commercial-scale NRX-101 manufacturing enables clinical trials of NRX-101 for the treatment of PTSD under FDA Good Clinical Practices.
Potential application to treatment of Chronic Pain
Chronic pain is commonly defined as pain that lasts beyond 3 months and extends past normal tissue healing time. Between 18% and 34% of Americans are believed to suffer from chronic pain.xi The use of opiates to treat chronic pain has led to a national crisis resulting in widespread addiction and death. Few alternatives to opiates have emerged that both treat chronic pain and potentially decrease craving for opiates among chronic pain sufferers. Recent epidemiologic studies indicate that Chronic Back Pain is the leading cause of disability in the US and the seventh leading cause worldwide.xii
Various non-clinical studies have suggested that NMDA antagonist drugs may be useful in treating animal pain models. Intravenous ketamine has been widely used off-label to treat chronic pain at doses similar to those used in depression studies. A meta-analysis of 7 studies representing 94 participants demonstrated a consistent improvement in pain score but a consistent finding of nausea and psychomimetic effects associated with ketamine administration.xiii
A pilot study of D-cycloserine in the treatment of chronic pain was undertaken by Schnitzer and coworkers in patients with chronic low back pain.xiv The study randomized 41 participants to a placebo-controlled dose-escalation study of 100mg, 200mg, and 400mg (each dose for two weeks) vs. placebo. The primary outcome measure was back pain intensity on a 1-10 numeric rating scale. The study was deemed not to have met its primary endpoint to detect a difference between DCS and placebo over 6 weeks. However, post-hoc analysis demonstrates a significant difference between baseline and six weeks (P<0.01), which is the point in time that the 400mg DCS dose was reached. (see figure 8)

Figure 8: Back pain intensity ratings over a six-week, dose escalating, placebo or DCS treatment in CBP. (a) Across subject averageback pain, assessed on the primary outcome measure of 0–10 numeric rating scale. (b) Within subject change in pain, relative to baseline, using the 0–10 numeric rating scale. Error bars are SEMs. (Source Schnitzer 2016xiv.)
Although the authors expressed the post-hoc clinical effect in terms of time from baseline, the observation that DCS did not demonstrate an NMDA-antagonist effect until the critical threshold documented in the NRx patent portfolio was reached is consistent with our understanding of the DCS mechanism of action. In 2023 the Company may initiate a pilot study in the treatment of chronic pain using NRX-101 at daily dosages that exceed 500mg/day of DCS. The Company’s 2022 completion of phase 3/commercial-scale NRX-101 manufacturing enables clinical trials of NRX-101 for the treatment of chronic pain under FDA Good Clinical Practices.
NRX-100 (ketamine)
The Company has not initiated large-scale research involving the use of ketamine for rapid induction and has taken advice from FDA regarding the more straightforward development path that can be achieved if the Company pursues the labeling of NRX-101 in “recently suicidal patients following stabilization.” However, the demonstration that ketamine can achieve
19
stabilization of those with acute suicidal ideation in bipolar depression provides potentially important insight into the potential value of oral NMDA antagonists in the treatment of this condition.
A randomized controlled trial of ketamine in the treatment of suicidal ideation among patients with bipolar depression was conducted at Columbia University under NIH funding. A statistically significant and clinically meaningful improvement in suicidal ideation was seen on the Beck’s Scale for Suicidal Ideation within 24 hours of infusion with ketamine, compared to midazolam an active comparator.

Figure 9: Suicidal ideation severity during a randomized trial of sub-anesthetic intravenous ketamine or midazolam control infusion in bipolar depressed participants with clinically significant suicidal thoughts. The figure depicts change in severity measured using the Beck Scale for Suicidal Ideation (SSI) from baseline to 24 hours after infusion. Error bars represent ± one standard error of the mean (SEM). Source Grunebaum 2017iv.
A randomized, controlled multicenter trial was conducted at 8 French hospitals by Abbar and coworkers.3 Participants with acute suicidal ideation associated with bipolar depression, major depressive disorder, and other disorders were randomized to receive either ketamine or placebo infusion. Overall, the study demonstrated that 63% of ketamine-infused participants vs. 31% of placebo-infused participants achieved remission from suicidal ideation at day 3 (P<.01). However, the finding was most pronounced for the subset of participants with bipolar depression (85% vs. 28%; P<.001) with an Odds Ratio of 14 for ketamine vs. placebo.

Summary of results from multicenter trial of ketamine vs. placebo in hospitalized patients with suicidal depression. The overall odds ratio of 3.7 (P<0.001) was largely driven by the 14 fold increased odds of remission from suicidal ideation seen among the subgroup with bipolar depression (P<.001). Source Abbar 2022.
20
In addition to providing a basis for developing ketamine as an induction drug for treatment of suicidal ideation in bipolar depression, the above clinical findings provide important clinical support for the use of NMDA-antagonist drugs in the treatment of this condition.
Additional Potential Psychiatry Products
Our intellectual property estate enables us to pursue additional combinations of known molecules, including dextromethorphan, d-methadone, and other named NMDA antagonists. The majority of patients with depression have MDD. Additionally, PTSD is an area of high unmet need for which there are very few pharmacological treatment options. PTSD can also be associated with suicidality and depression, in particular severe PTSD. Whereas episodes of depression in bipolar disorder are episodic and tend to resolve in two to three months, depression is a chronic feature of MDD, and it can also be associated with PTSD. NRX-102, is a potential new product in which we expect to pair a fixed dose combination of DCS with Mirtazapine, a currently approved antidepressant. In the 2013 Phase II study, clinical data demonstrate the potential efficacy of DCS in combination with an SSRI antidepressant versus an SSRI antidepressant alone in treating patients with treatment resistant MDD. We expect to resume the exploratory preclinical development of NRX-102. Further, we have identified additional 5-HT2A antagonists that may be appropriately paired with DCS. We are also further guided by preclinical data disclosed in our patents and publications which demonstrates that DCS may inhibit the akathisia induced by SSRI antidepressants.
Existing clinical data have shown DCS to be a useful initial therapeutic agent with which to target the glycine site on the NMDA receptor. However, DCS has mixed agonist/antagonist effects and its antagonist properties are only manifest at high doses of DCS. We have identified other small molecule NMDA antagonists that are effective at lower doses and may be paired with 5-HT2A antagonists in order to yield a dual-targeted pro-drug. Accordingly, we plan to explore design initiatives to develop candidate prodrugs that will expand on the dual-targeted properties of NRX-101 and NRX-102.
NRX-201/202 will target bipolar depression and MDD/PTSD, respectively, and are anticipated to replace the DCS component of NRX-101/102 with a molecule that is more specifically targeted than DCS at the same glycine site target. Our patent portfolio includes issued and pending claims for many such dual- targeted combinations.
References
i | Nierenberg A, Lavin, Javitt DC, et. al. NRX-101 (D-cycloserine plus lurasidone) vs. lurasidone for the maintenance of initial stabilization after ketamine in patients with severe bipolar depression with acute suicidal ideation and behavior: A randomized prospective phase 2 trial. doi: https://doi.org/10.1101/2022.08.11.22278658 |
ii | Chen MH, Cheng CM., Gueorguieva R, et. al. Maintenance of antidepressant and antisuicidal effects by D-cycloserine among patients with treatment-resistant depression who responded to low-dose ketamine infusion: a double-blind randomized placebo-control study. Neuropsychopharm 2019;33:2112-2118. |
iii | Abbar M, Demattei C, El-Hage W, et. al., Ketamine for acute treatment of severe suicidal ideation: double blind, randomized placebo-controlled trial. BMJ 2022;376:e067194 | doi: 10.1136/bmj-2021-067194 |
iv | Grunebaum MF, Ellis SP, Keilp JG., et al., Ketamine vs. midazolam in bipolar depression with suicidal thoughts: A pilot midazolam-controlled randomized clinical trial. Bipolar Disorders 2017;00:1-8. https://doi.org/10.1111/bdi.12487 |
v | Youssef JG, Lavin P, Schoenfeld DA, et. al. The use of IV Vasoactive Intestinal Peptide (Aviptadil) in patients with critical COVID-19 respiratory failure: Results of a 60-day randomized controlled trial. Cri Care Med 2022;50(11)1545-1554. |
vi | Jordan W, Siegel R, Kumar R, Javitt J. NRX-101, a rapid-acting antidepressant does not cause neurotoxicity following ketamine administration in preclinical models.https://www.biorxiv.org/content/10.1101/2022.06.18. |
vii | https://www.ptsd.va.gov/understand/common/common_adults.asp#:~:text=About%205%20out%20of%20e |
21
viii | Sala N, Paoli C, Bonifacino T., et. al., Acute ketamine facilitates fear memory extinction in a rat model of PTSD along with restoring glutaminergic alterations and dendritic atrophy in the prefrontal cortex. Front Pharmacol 2022;13: https://doi.org/10.3389/fphar.2022.759626 |
ix | Kleine RA, Hendriks GJ, Kusters WJ, Broekman TG, Minnen A. A randomized placebo-controlled trial of D-cycloserine to enhance exposure therapy for post-traumatic stress disorder. Biol Psychiatry 2012;71:962-968. |
x | Krystal JH. Enhancing prolonged exposure therapy for posttraumatic stress disorder with D-cycloserine: further support for treatments that promote experience-dependent neuroplasticity. Biol Psych 212;71:932-934. |
xi | Yong RJ, Mullins PM, Bhattacharyya N. Prevalence of Chronic Pain among adults in the United States. Pain 2022;163:e328-e363. |
xii | Murray CJ, Lopez AD. Measuring the global burden of disease. N Engl J Med 2013;369:448-457. |
xiii | Orhurhu V, Orhurhu MS, Bhatia A, Cohen SP. Ketamine infusions for chronic pain: A systemic review and meta-analysis of randomized controlled trials. Chron Pain Med 2019;129(1):241-254. |
xiv | Schnitzer TJ, Torby S, Herrmann K, Kaushal G, Yeasted R, Apkarian AV. A randomized placebo-controlled pilot study of the efficacy and safety of D-cycloserine in people with chronic back pain. Mol Pain 2016;12: |
22
Summary of NRx Material In-licensing Obligations
NRX-100/101
Glytech Development and License Agreement (“Glytech DLA”)
The Company was founded based upon a development agreement with Glytech, a Company founded by Daniel Javitt. The initial Glytech development agreement was signed on August 6, 2015, and subsequently amended on May 2, 2016, October 19, 2016, June 13, 2018, April 16, 2019, December 31, 2020, August 6, 2022, November 6, 2022 and January 31, 2023.
The License
Pursuant to the Glytech DLA, Glytech granted to NeuroRx an irrevocable, perpetual, exclusive (even as to Glytech) royalty-free license, with the right to sublicense, to use the Licensed Technology (as defined below) to develop, manufacture and offer for sale drug products for the treatment of depression and suicide associated with bipolar disorder in humans, including all products containing (a) DCS (including metabolites and structural variants thereof) combined with an antidepressant agent or an antipsychotic agent (including but not limited to lurasidone), or (b) DCS (including metabolites and structural variants thereof) for treatment of all types of bipolar, depressive and/or anxiety disorders and/or symptoms thereof. The key composition of matter patent (U.S. Patent No. 10,583,138) that supports NRx was assigned to us by Glytech in January 2021 and is no longer the subject of a license grant under the Glytech DLA; and (2) Glytech agreed to transfer and assign the remainder of the Licensed Technology and the Excluded Technology (as defined below) which are not essential for the manufacture or sale of NRX-101 to NRx for no additional consideration at any time upon receipt of written notice from us if, on or prior to March 31, 2023, (i) the value of the Glytech equity holdings in NRx (the “Glytech Equity”) has an aggregate value of at least $50 million for twenty (20) consecutive trading days immediately preceding any given date and (ii) there are no legal or contractual restrictions on selling all of the securities represented by the Glytech Equity then applicable to Glytech (or reasonably foreseeable to be applicable to Glytech within the following twenty trading days). The Company is working with Glytech to extend this option.
Glytech also agreed to transfer and assign the Licensed Technology and the Excluded Technology to us for no additional consideration simultaneously with the closing of a merger, acquisition or other transaction involving NRx, where, as a result of such transaction, Glytech receives at the closing thereof, by virtue of its status as a stockholder of NRx, at least $50 million in cash proceeds.
As used in this section of the Glytech DLA, the term “Aggregate Liquidity Value” for any given date means the sum of each trading day’s Daily Liquidity Value during the Eligible Measurement Period applicable for such date, and “Daily Liquidity Value” for any particular trading date means the aggregate proceeds Glytech would receive if it sold that number of shares of Glytech Equity on such trading date equal to 5% of the total number of shares of Common Stock or successor stock sold on such trading date. “Licensed Technology” means the patent rights and know how that disclose, describe or claim subject matter relating to use of DCS in combination with one or more antidepressants or one or more atypical antipsychotics (e.g., lurasidone) that are controlled by Glytech or its affiliates. “Excluded Technology” means any other patent right and knowhow owned by Glytech that does not relate specifically to compositions containing either DCS or lurasidone.
NRx Obligations
The Glytech DLA imposes certain obligations on NRx in connection with maintaining the Glytech License, which include:
| • | NRx is required to pay to Glytech a fixed annual support payment in the amount of $250,000 per year and to reimburse reasonable, documented travel expenses not exceeding $50,000 per year to support travel to meetings related to patent prosecutions. |
| • | NRx has assumed responsibility for the payment of ongoing patent prosecution costs and related costs required to perfect the Licensed Technology and related intellectual property rights. |
23
| • | Prior to the assignment of the Licensed Technology and Excluded Technology by Glytech to NRx (such date, the “Assignment Date”), NRx is required to pay or reimburse Glytech for the full costs of defending any patent rights included in the Licensed Technology and Excluded Technology. |
| • | Prior to the Assignment Date, NRx has an obligation to institute, prosecute and control any action or proceeding with respect to any suspected or actual infringement or misappropriation by a third party of any Licensed Technology and Excluded Technology at its own expense. After the Assignment Date, NRx will be the owner of the Licensed Technology and the Excluded Technology, and as such will have full discretion in the institution and prosecution of any infringement action involving the Licensed Technology and the Excluded Technology. |
| • | NRx has agreed to indemnify Glytech and certain related parties from and against any liability or expense (including attorneys’ fees) resulting from suits or claims by any third party arising out of (i) NRx’s, or its permitted sublicensee’s, sale or experimental use of products developed from any advice or assistance provided by Glytech hereunder; or (ii) the death of or injury to any person or any damage to property, arising from the development, manufacture, marketing, sale or use of any product developed from the Licensed Technology. NRx’s obligation to indemnify Glytech does not apply to any losses arising from the gross negligence or willful misconduct of Glytech or its related parties or any breach by Glytech of the Glytech DLA. |
Glytech Termination Rights
The term of the Glytech DLA continues for an indefinite period unless terminated by one or both parties in accordance with its terms. Glytech has an independent right to terminate the Glytech DLA in the event that (a) NRx is in material breach of the Glytech DLA, including material breaches of the obligations set forth above, and does not rectify such breach within thirty (30) days of notification (unless such breach is not capable of rectification within such thirty (30) day period and NRx acts diligently in a commercially reasonable manner to correct such breach) or (b) if NRx becomes insolvent or has proceedings in voluntary or involuntary bankruptcy instituted against it.
If Glytech terminates the Glytech DLA, then the Glytech License is withdrawn and NRx is required to transfer and assign all of its assets to Glytech, including without limitation any inventions, patent rights and knowhow developed by NRx from the Licensed Technology and all data and research, in whatever format, relating to the Licensed Technologies and the products.
NRx is currently in compliance with its obligations under the Glytech DLA.
Sarah Herzog Memorial Hospital License Agreement
The initial clinical trial of D-cycloserine was conducted by Drs. Uri Hersco-Levy and Daniel Javitt at the Sarah Herzog Memorial Hospital (SHMH) in Jerusalem and resulted in a patent owned by SHMH in which Heresco-Levy and Javitt share inventorship. NeuroRx entered into an Exclusive License Agreement with SHMH, dated April 16, 2019 (the “SHMH License Agreement”).
The License
The SHMH License Agreement grants NeuroRx an exclusive, worldwide, royalty bearing license to U.S. Patent No. 9,789,093, certain patent applications pending at that time as well as subsequently filed patent applications in the same priority families, and patents issuing therefrom, including corresponding foreign patents and patent applications (together, the “Licensed Patents”), to develop, manufacture, offer for sale and otherwise commercialize drug products for the treatment of depression and suicide associated with bipolar disorder in humans, including certain products containing (a) DCS (including metabolites and structural variants thereof) combined with an antidepressant agent or an antipsychotic agent (including but not limited to lurasidone), or (b) DCS (including metabolites and structural variants thereof) ((a) and (b) collectively the “Licensed Products”) for treatment of all types of bipolar, depressive and/or anxiety disorders and/or symptoms thereof. We have the right to grant sub-licenses, subject to the agreed sub-licensing procedure, but are liable to SHMH for any breaches of a sub-license by a sub-licensee.
NRx Obligations
24
We are required to make certain payments in order to maintain the license, including:
Milestone Payments
End of Phase I Clinical Trials of Licensed Product | $ | 100,000 | ||||||
End of Phase II Clinical Trials of Licensed Product | $ | 250,000 | ||||||
End of Phase III Clinical Trials of Licensed Product |
| $ | 250,000 | |||||
First Commercial Sale of Licensed Product in U.S. |
| $ | 500,000 | |||||
First Commercial Sale of Licensed Product in Europe |
| $ | 500,000 | |||||
Annual Revenues Reach $100,000,000 | $ | 750,000 | ||||||
The milestone payments due above may be reduced by 25% in certain circumstances, and by the application of certain sub-license fees.
Royalties
A royalty in an amount equal to: (a) 1% of revenues from the sale of any product incorporating a Licensed Product when at least one Licensed Patent remains in force, if such product is not covered by a Valid Claim (as defined below) in the country or region in which the sale occurs, or (b) 2.5% of revenues from the sale of any Licensed Product that is covered by at least one Valid Claim in the country or region in which such product is manufactured or sold. A “Valid Claim” means any issued claim in the Licensed Patents that remains in force and that has not been finally invalidated or held to be unenforceable. The royalty rates above may be doubled if we commence a legal challenge to the validity, enforceability or scope of any of the Licensed Patents during the term of the SHMH License Agreement and do not prevail in such proceeding.
Royalties shall also apply to any revenues generated by sub-licensees from sale of Licensed Products subject to a cap of 8.5% of the payments received by us from sub-licensees in connection with such sales.
Annual Maintenance Fee
A fixed amount of $100,000 was paid on April 16, 2021 and, thereafter, a fixed amount of $150,000 is due on the anniversary of such date during the term of the SHMH License Agreement.
Costs of Licensed Patents
We are required to reimburse SHMH for any costs incurred in filing and prosecuting the Licensed Patents during the term of the SHMH Agreement. We are also responsible for paying directly any ongoing costs associated with the maintenance of the Licensed Patents.
Other Obligations
The SHMH License Agreement imposes certain other obligations on us, including:
| • | The use of commercially reasonable efforts to develop, test, manufacture, obtain regulatory approval for and actively market at least one product using the Licensed Patents. |
| • | The indemnification of SHMH and certain of its affiliates against any claims, proceedings, and liabilities, including legal expenses, resulting from any third-party claims arising from (i) the development, manufacture, marketing, sale or use of Licensed Products or (ii) arising from any material breach of the SHMH License Agreement. The indemnification obligation does not apply to the extent of the gross negligence or misconduct of SHMH or its affiliates. |
| • | The maintenance at Company expense of clinical trial and general commercial liability insurance in amounts not less than $1 million per occurrence/aggregate of $3 million for death or personal injury and $1 million per occurrence/aggregate of $3 million for property damage, with SHMH named as an additional insured under such policies. |
25
| • | Record keeping and reporting requirements. |
Our exclusive rights under the Licensed Patents are at risk if we fail to fulfill our payment and other obligations under the SHMH License Agreement, including the obligations described above. We are currently in compliance with our obligations under the SHMH License Agreement.
SHMH Termination Rights
The term of the SHMH License Agreement continues until the expiration of the last-to-expire Licensed Patent or a final judgment of invalidity or unenforceability of the last Licensed Patent.
SHMH has the independent right to terminate the SHMH License Agreement in the event that NRx (a) is in material breach and does not rectify such breach within sixty (60) days of written notification of such breach or (b) becomes insolvent, or has proceedings in voluntary or involuntary bankruptcy instituted against and such proceeding is not set aside within sixty (60) days. If we make an application or claim that challenges the validity, enforceability or scope of any of the Licensed Patents, SHMH also has the right to terminate the SHMH License Agreement in respect of the Licensed Patents that are included in such proceeding.
Upon termination of the SHMH License Agreement, the license to use the Licensed Patents will terminate, and all rights included therein shall revert to SHMH.
As of the date hereof, we have not received any notice from SHMH alleging any material breach of the SHMH License Agreement by NRx.
NRx Patent Portfolio
| I. | Glytech-licensed Patents/Patent Applications |
Jurisdiction | Patent/Appl. No. | Status/Notes | |||||||
USA |
| 9,737,531 |
| Granted | |||||
USA | 9,486,453 | Granted | |||||||
USA |
| 10,660,887 |
| Granted | |||||
European Patent Convention | EP 2 872 139 | Granted; validated in France, Germany, Ireland, Italy, Netherlands, Poland, Portugal, Spain, Great Britain | |||||||
European Patent Convention |
| EP 3 263 108 |
| Granted; validated in France, Germany, Ireland, Italy, Netherlands, Poland, Portugal, Spain, Great Britain | |||||
Japan | JP 6416762 | Granted | |||||||
Australia |
| AU 2013288827 |
| Granted | |||||
Australia | AU 2018203371 | Granted | |||||||
China |
| CN 104507477 |
| Granted | |||||
China | CN 107875389 | Granted | |||||||
26
USA |
| 16/166,101 |
| Pending | |||||
Israel | IL 271371 | Pending | |||||||
USA |
| 16/812,382 |
| Pending | |||||
European Patent Convention | EP 18731195.6 | Pending | |||||||
Japan |
| JP 2019-568331 |
| Pending | |||||
Canada | CA 3,067,162 | Pending | |||||||
Australia |
| AU 2018284335 |
| Pending | |||||
Brazil | BR 11 2019 026449 3 | Pending | |||||||
China |
| CN 201880051813.X |
| Pending | |||||
Georgia | GE AP201815254 | Pending | |||||||
Mexico |
| MX/a/2019/015120 |
| Pending | |||||
South Korea | KR 10-2020-7000844 | Pending | |||||||
South Africa |
| ZA 2019/08616 |
| Granted | |||||
New Zealand | NZ 760542 | Pending | |||||||
Israel |
| IL 270916 |
| Pending | |||||
USA | 17/586,828 | Pending | |||||||
Japan |
| JP 2019-564867 |
| Pending | |||||
Canada | CA 3,064,846 | Pending | |||||||
Australia |
| AU 2018274767 |
| Pending | |||||
Brazil | BR 11 2019 024802-1 | Pending | |||||||
China |
| CN 201880048653.3 |
| Pending | |||||
Georgia | GE AP201815247 | Pending | |||||||
Mexico |
| MX/a/2019/014113 |
| Pending | |||||
South Korea | KR 10-2019-7038209 | Pending | |||||||
South Africa |
| ZA 2019/08617 |
| Granted | |||||
New Zealand | NZ 760544 | Pending | |||||||
| II. | SHMH-licensed Patents and Patent Applications |
27
Jurisdiction | Patent/Appl. No. | Status/Notes | |||||
USA |
| 9,789,093 |
| Granted | |||
Europe | EP 2 670 409 | Granted; validated in Switzerland, Germany, Spain, France, Great Britain, Ireland, Italy, Netherlands | |||||
USA |
| 17/502,606 |
| Pending | |||
USA | 11,013,721 | Granted | |||||
Canada |
| CA 2,826,180 |
| Granted | |||
Israel | IL 227611 | Granted | |||||
| III. | NeuroRx-owned Patents and Patent Applications |
Jurisdiction | Patent/Appl. No. | Status/Notes | ||||||
USA |
| 10,583,138 |
| Granted | ||||
28
Manufacturing Agreements
As part of our agreement with Relief Therapeutics we have transferred all manufacturing rights and know-how that we acquired for ZYESAMI (aviptadil) to Relief, including our collaborations with Nephron Pharmaceuticals and Alcami as contract manufacturers, and with the Polypeptide Group as a supplier of active pharmaceutical ingredient (“API”). The ZYESAMI manufacturing contract with Alcami does not affect our ability to contract with Alcami for other purposes.
The Company has established a manufacturing agreement with Alcami for the manufacturing of NRX-101. This enabled the technology transfer of manufacturing processes previously done in China to the U.S. In October of 2022 the Company submitted a Module 3 IND amendment to the FDA, allowing it to manufacture clinical supplies in the U.S.
Cardinal Health Distribution Agreement
We have entered into an Exclusive Distribution Agreement with Cardinal Health 105, Inc. (“Cardinal Health”), with an effective date of September 25, 2020 (the “CHDA”). Under the CHDA, we appointed Cardinal Health as the exclusive third-party logistics distribution agent, and as an authorized distributor, of certain NRx’s products (the “Products”) in the U.S. and its territories, possessions, and commonwealths. Although this contract was initially signed in connection with the distribution of ZYESAMI, this agreement remains in place, as it could enable our distribution for NRX-101.
The Services
Under the CHDA, Cardinal Health will provide services to us including, without limitation, storage, distribution, returns, customer support, financial support, EDI and system access support (the “CHDA Services”). The CHDA Services are to be provided by Cardinal Health as set forth in one of two operating model guidelines: the Traditional Third-Party Logistics (“3PL”) Operating Guidelines (“OPG”), or the Title Model Operating Guidelines (“TMOPG”). Both the OPG and the TMOPG are attached to and incorporated by reference into the CHDA. NRx and Cardinal Health have not yet decided which of these two operating model guidelines will govern the delivery of the CHDA Services; that decision will be made closer to approval by the FDA of our first commercial product.
The OPG:
| • | Identify written policies and procedures to be followed in delivering the CHDA Services; |
| • | Identify the deliverables from each Party required under the CHDA; |
| • | Define the roles and responsibilities of each Party and key personnel; |
| • | Define the reports and data required; and |
| • | Set the baseline for the OPG program for delivery of the CHDA Services, and manage future changes to the operating model. |
Under the OPG, Cardinal Health will accept the Products from us on consignment, with the Products being transported by us or its shipping agent to Cardinal Health’s secured access 3PL warehousing facilities. Cardinal Health has established standard operating procedures for managing all activities at its warehousing facilities, which are approved and controlled by Cardinal Health’s centralized distribution management system. All Cardinal Health warehouse personnel are trained under documented programs that are compliant with applicable federal and state laws and regulations and with cGMP. Our Products are warehoused by Cardinal Health under controlled temperature conditions, with any temperature excursions lasting more than one hour being reported within two business days from the discovery of the excursion. The Products are picked from inventory in Cardinal Health’s warehouse on a “First-to-Expire, First-Out” basis.
Pricing and conditions of sale are set by us. Cardinal Health publishes price lists for the Products to be sold to its customers. Cardinal Health sends invoices via email to customers on the day of shipment, or by mail on the morning following shipment, of the Products. Customers then remit payment to our bank lockbox via EFT, ACH or wire transfer,
29
and NRx’s bank then forwards information regarding payments to Cardinal Health which then reconciles and applies cash receipts to the accounts receivable.
Most of the logistical provisions in the TMOPG are identical to those of the OPG. The primary material difference between the TMOPG and the OPG is that under the TMOPG, title to and ownership of the Products pass from NRx to Cardinal Health upon purchase of the Products by Cardinal Health from NRx or its manufacturing agent. Cardinal Health handles all sales, shipment/distribution, customer service and AR activities in the same way as outlined for the OPG model, except that Cardinal Health maintains a bank lockbox for receipt of payments of invoices by customers, rather than that lockbox being maintained by NRx.
Pricing and Payment; Forecast and Price List
As compensation for the CHDA Services delivered by Cardinal Health, we are responsible for paying the fees set forth in the CHDA. The fees schedule is confidential to Cardinal Health and cannot be disclosed without permission from Cardinal Health. Fees are subject to adjustment not more than once per contract year (after the first contract year) by 3%, or if Cardinal Health can reasonably demonstrate a material increase in the cost of providing the CHDA Services.
Under the CHDA, we are responsible for providing a forecast of volume of the Products to be handled by Cardinal Health. Any variances from the forecast, and any adjustments that may therefore be needed to the forecast going forward, are handled through good-faith negotiation by the parties. We are also responsible for providing to Cardinal Health a Product price list, setting prices to be charged to customers for the Products sold by or distributed by Cardinal Health. Any change to be implemented in pricing for the Products must be communicated by us to Cardinal Health at least 72 hours prior to the effective date of such price change.
Term and Termination
The CHDA has an initial term of three (3) years following first shipment of an FDA-approved Product to a commercial customer (the “Initial Term”), and automatically renews for additional terms of one (1) year (each, a “Renewal Term”), unless the CHDA is earlier terminated during either the Initial Term or any Renewal Term by a written notice of termination given by either party to the other at least 90 days prior to the end of the Initial Term or any Renewal Term. The CHDA also can be immediately terminated by either party if: (1) the other party files for bankruptcy protection or enters into receivership or trusteeship, and if a bankruptcy or insolvency order is entered such order is not discharged within 30 days; or (2) the other party materially breaches any provision of the CHDA and such breach is not cured within 30 days of receiving notice of breach from the non-breaching party, except that Cardinal Health may terminate the CHDA if NRx fails to timely pay invoices from Cardinal Health within 15 days of having received written notice of non-payment from Cardinal Health. Following termination for any reason, each party’s rights and obligations that accrued prior to the date of termination shall survive the termination, and all Products warehoused at Cardinal Health’s 3PL facilities will be returned to NRx or its designee.
Government Regulation and Product Approval
Government authorities in the U.S. and in other countries, at the Federal, state and local level, extensively regulate, among other things, the research, development, testing, manufacture, packaging, storage, recordkeeping, labeling, advertising, promotion, distribution, marketing, import and export, pricing, and government contracting related to pharmaceutical products such as those we are developing. The processes for obtaining marketing approvals in the U.S. and in foreign countries, along with subsequent compliance with applicable statutes and regulations, require the expenditure of substantial time and financial resources.
U.S. Government Regulation
In the U.S., the FDA regulates drugs under the FFDCA and its implementing regulations. The process of obtaining marketing approvals and the subsequent compliance with appropriate Federal, state, local and foreign statutes and regulations requires the expenditure of substantial time and financial resources. Failure to comply with the applicable U.S. requirements at any time during the product development process, approval process or after approval, may subject an
30
applicant to a variety of administrative or judicial sanctions or other actions, such as the FDA’s delay in review of or refusal to approve a pending NDA, withdrawal of an approval, imposition of a clinical hold or study termination, issuance of Warning Letters or Untitled Letters, mandated modifications to promotional materials or issuance of corrective information, requests for product recalls, consent decrees, corporate integrity agreements, deferred prosecution agreements, product seizures or detentions, refusal to allow product import or export, total or partial suspension of or restriction of or imposition of other requirements relating to production or distribution, injunctions, fines, debarment from government contracts and refusal of future orders under existing contracts, exclusion from participation in federal and state healthcare programs, FDA debarment, restitution, disgorgement or civil or criminal penalties, including fines and imprisonment.
The process required by the FDA before a new drug may be marketed in the U.S. generally involves the following:
| • | completion of preclinical laboratory tests, animal studies and formulation studies in compliance with the FDA’s good laboratory practice regulations; |
| • | submission to the FDA of an IND application which must become effective before human clinical trials may begin; |
| • | approval by local or central IRBs who are charged with protecting safety of research subjects before each clinical trial may be initiated; |
| • | performance of human studies that meet the legal standard of “adequate and well-controlled clinical trials”, in accordance with cGCP and other regulations in order to establish the safety and efficacy of the proposed drug product for each indication; |
| • | submission to the FDA of an NDA; |
| • | satisfactory completion of an FDA advisory committee review, if applicable; |
| • | satisfactory completion of an FDA inspection of selected clinical trial sites to determine GCP compliance; |
| • | satisfactory completion of an FDA inspection of the manufacturing facility or facilities at which the product is produced to assess compliance with GMP regulations and to assure that the facilities, methods and controls are adequate to preserve the drug’s identity, strength, quality and purity; and |
| • | FDA review and approval of the NDA. |
Additionally, if a drug is considered a controlled substance, prior to the commencement of marketing, the DEA must also determine the controlled substance schedule, taking into account the recommendation of the FDA.
Preclinical Studies and IND Submission
Preclinical studies include laboratory evaluation of product chemistry, pharmacology, toxicity and formulation, as well as animal studies to assess potential safety and efficacy. An IND sponsor must submit the results of the preclinical tests, together with manufacturing information, analytical data and any available clinical data or literature, among other things, to the FDA as part of an IND. Some preclinical testing may continue even after the IND is submitted. Once the IND is submitted, the sponsor must wait 30 calendar days before initiating any clinical trials. During this time, among other things, the FDA has an opportunity to review the IND for safety to assure that research subjects will not be subjected to unreasonable risk. The FDA may raise concerns or questions related to one or more proposed clinical trials and place the clinical trial on a clinical hold. In such a case, the IND sponsor and the FDA must resolve any outstanding concerns before the clinical trial can begin. As a result, submission of an IND may not result in the FDA allowing clinical trials to commence.
Implications for NRX-100/101
We have filed INDs and the FDA has accepted INDs 134025 and 129194 for NRX-100 and NRX-101 respectively. The FDA has advised us that no further preclinical studies are needed for submission of an NDA for NRX-100. The FDA has advised us and we have agreed that a genotoxicity study and a non-clinical maternal/fetal study for potential fetal effects
31
are required prior to filing of an NDA for NRX-101. Furthermore, drugs that are potentially used chronic or chronic/intermittently do need to show preclinical carcinogenicity studies. Based on our latest FDA interactions we may be required to do so, even if our initial target indication is for 6 weeks. However, FDA indicated that they would review our request for an exemption, which we intend to submit.
Clinical Trials
Clinical trials involve the administration of the IND to human subjects under the supervision of qualified investigators in accordance with cGCP requirements, which include the requirement that all research subjects provide their informed consent in writing for their participation in any clinical trial, and review and approval by an Institutional Review Board (IRB). Clinical trials are conducted under protocols detailing, among other things, the objectives of the trial, the trial procedures, the parameters to be used in monitoring safety and the effectiveness criteria to be evaluated, and a statistical analysis plan. A protocol for each clinical trial and any subsequent protocol amendments must be submitted to the FDA as part of the IND. In addition, a central or local IRB at each institution participating in the clinical trial must review and approve the plan for any clinical trial before it commences at that institution, and the IRB must continue to oversee the clinical trial, including any changes, while it is being conducted. Information about certain clinical trials, including a description of the study and study results, must be submitted within specific timeframes to the NIH for public dissemination on their clinicaltrials.gov website.
Human clinical trials are typically conducted in three sequential Phases, which may overlap or be combined. In Phase 1, the drug is initially introduced into healthy human subjects or subjects with the target disease or condition and tested for safety, dosage tolerance, absorption, metabolism, distribution, excretion and, if possible, to gain an early indication of its effectiveness. In Phase II, the drug typically is administered through well-controlled studies to a limited subject population with the target disease or condition to identify possible adverse effects and safety risks, to preliminarily evaluate the efficacy of the product for specific targeted diseases and to determine dosage tolerance and optimal dosage. In Phase III, the drug is administered to an expanded subject population, generally at geographically dispersed clinical trial sites, in two adequate and well-controlled clinical trials to generate enough data to statistically evaluate the efficacy and safety of the product for approval, to establish the overall risk-benefit profile of the product and to provide adequate information for the labeling of the product. Furthermore, depending on the expected use of a drug (e.g., acute, intermittent, chronic), regulatory requirements may include a safety database that goes beyond the number of subjects in the efficacy studies.
The manufacture of investigational drugs for the conduct of human clinical trials is subject to cGMP requirements. Investigational drugs and active pharmaceutical ingredients imported into the U.S. are also subject to regulation by the FDA relating to their labeling and distribution. Further, the export of investigational drug products outside of the U.S. is subject to regulatory requirements of the receiving country as well as U.S. export requirements under the FFDCA.
Progress reports and other summary information detailing the results of the clinical trials must be submitted at least annually to the FDA and more frequently if certain unexpected Serious Adverse Events occur or other significant safety information is found. Phase I, Phase II and Phase III clinical trials may not be completed successfully within any specified period, or at all. Furthermore, the FDA or the sponsor may suspend or terminate a clinical trial at any time on various grounds, including a finding that the research subjects are being exposed to an unacceptable health risk or the trial is not being conducted in accordance with the applicable regulatory requirements or the protocol. Similarly, an IRB can suspend or terminate approval of a clinical trial at its institution if the clinical trial is not being conducted in accordance with the IRB’s requirements or if the drug has been associated with unexpected serious harm to subjects. Additionally, some clinical trials are overseen by an independent group of qualified experts organized by the clinical trial sponsor, known as a data safety monitoring board (DSMB) or data monitoring committee (DMC). This group regularly reviews accumulated data and advises the study sponsor regarding the continuing safety of trial subjects, potential trial subjects, and the continuing validity and scientific merit of the clinical trial. We may also suspend or terminate a clinical trial based on evolving business objectives and/or competitive climate.
32
Implications for NRX-100/101
In the case of NRX-100/101, the FDA has agreed with us in writing that the investigational product meets the standards for a 505.b.2 (commonly called drug-repurposing) pathway, whereby the extensive safety literature regarding the individual components of NRX-101 may be cited in lieu of repeating various preclinical and Phase I clinical studies.
Because of examples in recent years where sponsors have received Complete Response Letters based on lack of agreement with the FDA regarding the research path required for NDA submission, we worked collaboratively with the FDA for one year in order to negotiate a Special Protocol Agreement (“SPA”) that would govern the development of NRX-101 and would define the Phase III trial required for the target indication., should the clinical trial be successful. This SPA was issued to us in April 2018 and defines the single clinical trial required for submission of NRX-101 for treatment of bipolar depression with acute suicidal ideation or behavior. In addition to the defined requirements in the SPA, FDA may require additional clinical safety data, especially if the use of the drug could be intermittent or chronic/intermittent as deemed by the FDA. As mentioned before, we recently received written guidance from the FDA that the Company is evaluating.
Marketing Approval
Assuming successful completion of the required clinical testing, the results of the preclinical and clinical studies, together with detailed information relating to the product’s chemistry, manufacture, controls and proposed labeling, among other things, are submitted to the FDA as part of an NDA requesting approval to market the product for one or more indications. In most cases, the submission of an NDA is subject to a substantial application user fee. These user fees must be filed at the time of the first submission of the application, even if the application is being submitted on a rolling basis. A waiver from the application user fee may be sought by an applicant. One basis for a waiver of the application user fee is if the applicant employs fewer than 500 employees, including employees of affiliates, the applicant does not have a drug product that has been approved under a human drug application and introduced or delivered for introduction into interstate commerce, and the applicant, including its affiliates, is submitting its first human drug application. Under the Prescription Drug User Fee Act (“PDUFA”) guidelines that are currently in effect, the FDA has agreed to certain performance goals regarding the timing of its review of an application. The FDA aims to review 90% of all standard review applications within ten months of acceptance for filing and six months of acceptance for filing for priority review applications.
In addition, under the Pediatric Research Equity Act an NDA or supplement to an NDA for a new active ingredient, indication, dosage form, dosage regimen or route of administration must contain data that are adequate to assess the safety and effectiveness of the drug for the claimed indications in all relevant pediatric subpopulations, and to support dosing and administration for each pediatric subpopulation for which the product is safe and effective. The FDA may, on its own initiative or at the request of the applicant, grant deferrals for submission of some or all pediatric data until after approval of the product for use in adults, or full or partial waivers from the pediatric data requirements.
The FDA may also require submission of a Risk Evaluation and Mitigation Strategies (“REMS”) program either during the application process or after the approval of the drug to ensure the benefits of the drug outweigh the risks. The REMS plan could include medication guides, physician communication plans, assessment plans, and elements to assure safe use, such as restricted distribution methods, patient registries or other risk tracking and minimization tools.
The FDA conducts a preliminary review of all NDAs within the first 60 days after submission, before accepting them for filing, to determine whether they are sufficiently complete to permit substantive review. The FDA may request additional information rather than accept an NDA for filing. In this event, the application must be resubmitted with additional information. The resubmitted application is also subject to review before the FDA accepts it for filing. Once the submission is accepted for filing, the FDA begins an in-depth substantive review. The FDA reviews an NDA to determine, among other things, whether the drug is safe and effective and whether the facility in which it is manufactured, processed, packaged or held meets standards designed to assure the product’s continued safety, quality and purity.
Under the FFDCA, before approving a drug for which no active ingredient (including any ester or salt of active ingredients) has previously been approved by the FDA, the FDA must either refer that drug to an external advisory committee or provide in an action letter, a summary of the reasons why the FDA did not refer the drug to an advisory
33
committee. The external advisory committee review may also be required for other drugs because of certain other issues, including clinical trial design, safety and effectiveness, and public health questions. An advisory committee is a panel of independent experts, including clinicians and other scientific experts, that reviews, evaluates and provides a recommendation as to whether the application should be approved and under what conditions. The FDA is not bound by the recommendations of an advisory committee, but it considers such recommendations carefully when making decisions.
Before approving an NDA, the FDA will inspect the facility or facilities where the product is manufactured. The FDA will not approve an application unless it determines that the manufacturing processes and facilities are in compliance with cGMP requirements and adequate to assure consistent production of the product within required specifications by the manufacturer and all of its subcontractors and contract manufacturers. Additionally, before approving an NDA, the FDA will inspect one or more clinical trial sites to assure compliance with GCP regulations.
The testing and approval process for an NDA requires substantial time, effort and financial resources, and each may take several years to complete. Data obtained from preclinical and clinical testing are not always conclusive and may be susceptible to varying interpretations, which could delay, limit or prevent marketing approval. The FDA may not grant approval of an NDA on a timely basis, or at all.
After evaluating the NDA and all related information, including the advisory committee recommendation, if any, and inspection reports regarding the manufacturing facilities and clinical trial sites, the FDA may issue an approval letter, or, in some cases, a complete response letter. A complete response letter generally contains a statement of specific conditions that must be met in order to secure final approval of the NDA and may require additional clinical or preclinical testing, or other information, in order for FDA to reconsider the application. The FDA has a review goal of completing its review of 90% of resubmissions within two or six months after receipt, depending on the type of information included. Even with submission of this additional information, the FDA ultimately may decide that the application does not satisfy the regulatory criteria for approval. If and when those conditions have been met to the FDA’s satisfaction, the FDA may issue an approval letter. An approval letter authorizes commercial marketing of the drug with specific prescribing information for specific indications.
Even if the FDA approves a product, it may limit the approved indications for use of the product, require that contraindications, warnings or precautions be included in the product labeling, including a black boxed warning, require that post-approval studies, including Phase IV clinical trials, be conducted to further assess a drug’s safety after approval, require testing and surveillance programs to monitor the product after commercialization, or impose other conditions, including distribution restrictions or other risk management mechanisms under a REMS which can materially affect the potential market and profitability of the product. The FDA may prevent or limit further marketing of a product based on the results of post- marketing studies or surveillance programs. After approval, certain circumstances may require FDA notification, review, or approval, as well as further testing. These may include some types of changes to the approved product, such as adding new indications, manufacturing changes, and additional labeling claims, or new safety information.
Special FDA Expedited Review and Approval Programs
The FDA has various programs, including Fast Track designation, accelerated approval, priority review and Breakthrough Therapy (as defined below) designation, that are intended to expedite or simplify the process for the development and FDA review of drugs that are intended for the treatment of serious or life-threatening diseases or conditions, and demonstrate the potential to address unmet medical needs or present a significant improvement over existing therapy. The purpose of these programs is to provide important new drugs to patients earlier than under standard FDA review procedures.
To be eligible for a Fast Track designation, the FDA must determine, based on the request of a sponsor, that a product is intended to treat a serious or life-threatening disease or condition and demonstrates the potential to address an unmet medical need. The FDA will determine that a product will fill an unmet medical need if the product will provide a therapy where none exists or provide a therapy that may be potentially superior to existing therapy based on efficacy, safety, or public health factors. If Fast Track designation is obtained, drug sponsors may be eligible for more frequent development meetings and correspondence with the FDA. In addition, the FDA may initiate review of sections of an NDA before the application is complete. This “rolling review” is available if the applicant provides and the FDA approves a schedule for the remaining information.
34
In some cases, a Fast Track product may be eligible for accelerated approval or priority review.
The FDA may give a priority review designation to drugs that are intended to treat serious conditions and provide significant improvements in the safety or effectiveness of the treatment, diagnosis, or prevention of serious conditions. A priority review means that the goal for the FDA is to review an application in six months, rather than the standard review of ten months under current PDUFA guidelines. These six- and ten-month review periods are measured from the “filing” date rather than the receipt date for NDAs, which typically adds approximately two months to the timeline for review and decision from the date of submission. Products that are eligible for Fast Track designation may also be considered appropriate to receive a priority review.
In addition, products studied for their safety and effectiveness in treating serious or life-threatening illnesses or conditions and that fill an unmet medical need may be eligible for accelerated approval and may be approved on the basis of adequate and well-controlled clinical trials establishing that the drug product has an effect on a surrogate endpoint that is reasonably likely to predict clinical benefit, or on a clinical endpoint that can be measured earlier than irreversible morbidity or mortality, that is reasonably likely to predict an effect on irreversible morbidity or mortality or other clinical benefit, taking into account the severity, rarity or prevalence of the condition and the availability or lack of alternative treatments. As a condition of approval, the FDA may require a sponsor of a drug receiving accelerated approval to perform post-marketing studies to verify and describe the predicted effect on irreversible morbidity or mortality or other clinical endpoints, and the drug may be subject to accelerated withdrawal procedures.
Moreover, under the provisions of the new Food and Drug Administration Safety and Innovation Act enacted in 2012, a sponsor can request designation of a product candidate as a “Breakthrough Therapy.” A Breakthrough Therapy is defined as a drug that is intended, alone or in combination with one or more other drugs, to treat a serious or life-threatening disease or condition, and preliminary clinical evidence indicates that the drug may demonstrate substantial improvement over existing therapies on one or more clinically significant endpoints, such as substantial treatment effects observed early in clinical development. Drugs designated as Breakthrough Therapies are eligible for the Fast Track designation features as described above, intensive guidance on an efficient drug development program beginning as early as Phase I trials, and a commitment from the FDA to involve senior managers and experienced review staff in a proactive collaborative, cross-disciplinary review.
Even if a product qualifies for one or more of these programs, the FDA may later decide that the product no longer meets the conditions for qualification or decide that the time period for FDA review or approval will not be shortened.
Implications for NRX-101
Subsequent to the issuance of the SPA, in November 2018, the FDA also issued a Breakthrough Therapy designation to NRX-101. Breakthrough Therapy designation is awarded to drugs that have demonstrated preliminary evidence of efficacy for the treatment of a serious medical condition for which there is an unmet medical need.
Post-Approval Requirements
Drugs manufactured or distributed pursuant to FDA approvals are subject to pervasive and continuing regulation by the FDA, including, among other things, requirements relating to recordkeeping, manufacturing, periodic reporting, product sampling and distribution, advertising and promotion, and reporting of adverse experiences with the product and drug shortages. After approval, most changes to the approved product, such as adding new indications or other labeling claims are subject to prior FDA review and approval. There also are continuing, annual user fee requirements for any marketed products and the establishments at which such products are manufactured, as well as new application fees for supplemental applications with clinical data.
The FDA may impose a number of post-approval requirements as a condition of approval of an NDA. For example, the FDA may require post-marketing testing, including Phase IV clinical trials and surveillance to further assess and monitor the product’s safety and effectiveness after commercialization.
35
In addition, drug manufacturers and other entities involved in the manufacture and distribution of approved drugs are required to register their establishments with the FDA and state agencies and list drugs manufactured at their facilities with the FDA. These facilities are further subject to periodic announced and unannounced inspections by the FDA and these state agencies for compliance with cGMP and other regulatory requirements. Changes to the manufacturing process are strictly regulated and may require prior approval by the FDA or notification to the FDA before or after being implemented. FDA regulations also require investigation and correction of any deviations from cGMP and impose reporting and documentation requirements upon the sponsor and any third-party manufacturers that the sponsor may decide to use. Accordingly, manufacturers must continue to expend time, money and effort in the area of production and quality control to maintain cGMP compliance.
Once an approval is granted, the FDA may withdraw the approval if compliance with regulatory requirements and standards is not maintained or if problems occur after the product becomes available in the market.
Later discovery of previously unknown problems with a product, including adverse events of unanticipated severity or frequency, or with manufacturing processes, or failure to comply with regulatory requirements, may result in mandatory revisions to the approved labeling to add new safety information; imposition of post-market studies or clinical trials to assess new safety risks; or imposition of distribution or other restrictions under a REMS program. Other potential consequences include, among other things:
| • | restrictions on the marketing or manufacturing of the product, complete withdrawal of the product from the market or product recalls; |
| • | fines, Warning Letters or Untitled Letters, holds or termination of post-approval clinical trials or FDA debarment; |
| • | delay or refusal of the FDA to approve pending NDAs or supplements to approved NDAs, or suspension or revocation of product license approvals; |
| • | regulatory authority, including the FDA, issued safety alerts, Dear Healthcare Provider letters, press releases or other communications containing warnings about such products; |
| • | mandated modifications to promotional material or issuance of corrective information; |
| • | product seizure or detention, or refusal to permit the import or export of products; or |
| • | injunctions or the imposition of civil or criminal penalties, including imprisonment, disgorgement and restitution, as well as consent decrees, corporate integrity agreements, deferred prosecution agreements and exclusion from federal healthcare programs. |
The FDA strictly regulates marketing, labeling, advertising and promotion of products that are placed on the market. Although physicians in the practice of medicine may prescribe approved drugs for unapproved indications, pharmaceutical companies are prohibited from marketing or promoting their drug products for uses outside of the approved indications in the approved prescribing information. The FDA and other agencies actively enforce the laws and regulations prohibiting the promotion of off-label uses, and a company that is found to have improperly marketed or promoted off-label uses may be subject to significant liability, including criminal and civil penalties under the FFDCA and False Claims Act, exclusion from participation in federal healthcare programs, debarment from government contracts and refusal of future orders under existing contracts, and mandatory compliance programs under corporate integrity agreements or deferred prosecution agreements.
In addition, the distribution of prescription pharmaceutical products, including samples, is subject to the Prescription Drug Marketing Act (“PDMA”), which, among other things, regulates the distribution of drugs and drug samples at the federal level, and sets minimum standards for the registration and regulation of drug distributors by the states. Both the PDMA and state laws limit the distribution of prescription pharmaceutical product samples and impose requirements to ensure accountability in distribution.
Moreover, the recently enacted Drug Quality and Security Act, imposes new obligations on manufacturers of pharmaceutical products related to product tracking and tracing. Among the requirements of this new legislation,
36
manufacturers will be required to provide certain information regarding drug products to individuals and entities to which product ownership is transferred, label drug products with a product identifier, and keep certain records regarding drug products. The transfer of information to subsequent product owners by manufacturers will eventually be required to be done electronically. Manufacturers will also be required to verify that purchasers of the manufacturers’ products are appropriately licensed. Further, under this new legislation, manufactures will have drug product investigation, quarantine, disposition, and FDA and trading partner notification responsibilities related to counterfeit, diverted, stolen, and intentionally adulterated products such that they would result in serious adverse health consequences or death, as well as products that are the subject of fraudulent transactions or which are otherwise unfit for distribution such that they would be reasonably likely to result in serious health consequences or death.
Regulation under the Drug Enforcement Administration
We are required to evaluate the abuse potential of our product candidates. If any of our product candidates are considered controlled substances, we will need to comply with additional regulatory requirements. NRX-100 (ketamine) is a controlled substance with high abuse potential. Both components of NRX-101 are approved drugs (DCS and lurasidone) and neither is a controlled substance. We have completed abuse liability studies for DCS and identified no abuse potential.
Certain drug products may be regulated as “controlled substances” as defined in the Controlled Substances Act of 1970 and the DEA’s implementing regulations. The DEA regulates controlled substances as Schedule I, II, III, IV or V substances. Schedule I substances by definition have no established medicinal use, and may not be marketed or sold in the U.S. A pharmaceutical product may be listed as Schedule II, III, IV or V, with Schedule II substances considered to present the highest risk of abuse and Schedule V substances the lowest relative risk of abuse among such substances. The FDA provides a recommendation to the DEA as to whether a drug should be classified as a controlled substance and the appropriate level of control. If DEA scheduling is required, a drug product may not be marketed until the scheduling process is completed, which could delay the launch of the product.
Depending on the Schedule, drug products may be subject to registration, security, recordkeeping, reporting, storage, distribution, importation, exportation, inventory, quota and other requirements administered by the DEA, which are directly applicable to product applicants, contract manufacturers and to distributors, prescribers and dispensers of controlled substances. The DEA regulates the handling of controlled substances through a closed chain of distribution. This control extends to the equipment and raw materials used in their manufacture and packaging in order to prevent loss and diversion into illicit channels of commerce.
Annual registration is required for any facility that manufactures, distributes, dispenses, imports or exports any controlled substance. The registration is specific to the particular location, activity and controlled substance schedule. For example, separate registrations are needed for import and manufacturing, and each registration will specify which schedules of controlled substances are authorized. Similarly, separate registrations are also required for separate facilities.
The DEA typically inspects a facility to review its security measures prior to issuing a registration and on a periodic basis. Security requirements vary by controlled substance schedule, with the most stringent requirements applying to Schedule I and Schedule II substances. Records must be maintained for the handling of all controlled substances, and periodic reports may be required to made to the DEA for the distribution of certain controlled substances. Reports must also be made for thefts or significant losses of any controlled substance. To enforce these requirements, the DEA conducts periodic inspections of registered establishments that handle controlled substances. Failure to maintain compliance with applicable requirements, particularly as manifested in loss or diversion, can result in administrative, civil or criminal enforcement. The DEA may seek civil penalties, refuse to renew necessary registrations, or initiate administrative proceedings to revoke those registrations. In some circumstances, violations could result in criminal proceedings or consent decrees. Individual states also independently regulate controlled substances.
Federal and State Healthcare related, Fraud and Abuse and Data Privacy and Security Laws and Regulations
In addition to FDA restrictions on marketing of pharmaceutical products, federal and state fraud and abuse, and other laws regulations, and requirements restrict business practices in the biopharmaceutical industry. These laws include anti-kickback and false claims laws and regulations, state and federal transparency laws regarding payments or other items of
37
value provided to health care professionals, as well as data privacy and security laws and regulations and other requirements applicable to the healthcare industry, including pharmaceutical manufacturers. There are also laws, regulations, and requirements applicable to the award and performance of federal contracts and grants.
The Federal Anti-Kickback Statute prohibits, among other things, knowingly and willfully offering, paying, soliciting or receiving remuneration to induce or in return for purchasing, leasing, ordering, or arranging for or recommending the purchase, lease, or order of any item or service reimbursable, in whole or in part, under Medicare, Medicaid or other federal healthcare programs. The term “remuneration” has been broadly interpreted to include anything of value. The Anti-Kickback Statute has been interpreted to apply to arrangements between pharmaceutical manufacturers on one hand and prescribers, purchasers, formulary managers, and beneficiaries on the other. Although there are a number of statutory exceptions and regulatory safe harbors protecting some common activities from prosecution, the exceptions and safe harbors are narrowly drawn. Practices that involve remuneration that may be alleged to be intended to induce prescribing, purchases, or recommendations may be subject to scrutiny if they do not meet the requirements of a statutory or regulatory exception or safe harbor. Several courts have interpreted the statute’s intent requirement to mean that if any one purpose of an arrangement involving remuneration is to induce referrals of federal healthcare covered business, the statute has been violated.
The reach of the Anti-Kickback Statute was also broadened by the Affordable Care Act, which, among other things, amended the intent requirement of the Federal Anti-Kickback Statute and certain provisions of the criminal health care fraud statute (discussed below) such that a person or entity no longer needs to have actual knowledge of the statute or specific intent to violate it in order to have committed a violation. In addition, the Affordable Care Act provides that the government may assert that a claim for payment for items or services resulting from a violation of the Federal Anti-Kickback Statute constitutes a false or fraudulent claim for purposes of the civil False Claims Act. Penalties for violation of the Anti-Kickback Statute include criminal fines, imprisonment, civil penalties and damages, exclusion from participation in Federal healthcare programs and corporate integrity agreements or deferred prosecution agreements. Conviction or civil judgments are also grounds for debarment from government contracts.
The Federal civil False Claims Act prohibits any person from knowingly presenting, or causing to be presented, a false claim for payment to the U.S. Government or knowingly making, using, or causing to be made or used a false record or statement material to a false or fraudulent claim to the federal government, including payments under a federal grant. A claim includes “any request or demand” for money or property presented to the U.S. Government. The False Claims Act also applies to false submissions that cause the government to be paid less than the amount to which it is entitled, such as a rebate. Intent to deceive is not required to establish liability under the civil False Claims Act. Several pharmaceutical and other healthcare companies have been sued under these laws for allegedly providing free product to customers with the expectation that the customers would bill Federal programs for the product. Companies have also been sued for causing false claims to be submitted because of the companies’ marketing of products for unapproved, or off-label, uses. In addition, Federal health care programs require drug manufacturers to report drug pricing information, which is used to quantify discounts and establish reimbursement rates. Several pharmaceutical and other healthcare companies have been sued for reporting allegedly false pricing information, which caused the manufacturer to understate rebates owed or, when used to determine reimbursement rates, caused overpayment to providers. Violations of the civil False Claims Act may result in civil penalties and damages as well as exclusion from Federal healthcare programs and corporate integrity agreements or deferred prosecution agreements. The U.S. Government may further prosecute conduct constituting a false claim under the criminal False Claims Act. The criminal False Claims Act prohibits the making or presenting of a claim to the U.S. Government knowing such claim to be false, fictitious, or fraudulent and, unlike the civil False Claims Act, requires proof of intent to submit a false claim. Violations of the criminal False Claims Act can result in criminal fines and/or imprisonment, as well as exclusion from participation in Federal healthcare programs. Conviction or civil judgments and other conduct are also grounds for debarment from U.S. Government contracts and grants.
HIPAA also created Federal criminal statutes that prohibit, among other actions, knowingly and willfully executing, or attempting to execute, a scheme to defraud any healthcare benefit program, including private third-party payers, knowingly and willfully embezzling or stealing from a healthcare benefit program, willfully obstructing a criminal investigation of a healthcare offense, and knowingly and willfully falsifying, concealing or covering up a material fact or making any materially false, fictitious or fraudulent statement in connection with the delivery of or payment for healthcare benefits,
38
items or services. As discussed above, the Affordable Care Act amended the intent standard for certain of HIPAA’s healthcare fraud provisions such that a person or entity no longer needs to have actual knowledge of the statute or specific intent to violate it in order to have committed a violation. Violations of HIPAA’s fraud and abuse provisions may result in fines or imprisonment, as well as exclusion from participation in Federal healthcare programs, depending on the conduct in question. Also, many states have similar fraud and abuse statutes or regulations that apply to items and services reimbursed under Medicaid and other state programs, or, in several states, apply regardless of the payor.
The civil monetary penalties statute imposes penalties against any person or entity who, among other things, is determined to have presented or caused to be presented a claim to a Federal health program that the person knows or should know is for an item or service that was not provided as claimed or is false or fraudulent.
The Veterans Health Care Act requires manufacturers of covered drugs to offer them for sale on the Federal Supply Schedule, which requires compliance with applicable Federal procurement laws and regulations and subjects us to contractual remedies as well as administrative, civil and criminal sanctions.
In addition, there has been a recent trend of increased Federal and state regulation of payments made to physicians and other health care providers. The Affordable Care Act created new Federal requirements for reporting, by applicable manufacturers of covered drugs, payments and other transfers of value to physicians and teaching hospitals, and ownership and investment interests held by physicians and other healthcare providers and their immediate family members. Certain states also require implementation of commercial compliance programs and compliance with the pharmaceutical industry’s voluntary compliance guidelines and the applicable compliance guidance promulgated by the U.S. Government, or otherwise restrict payments or the provision of other items of value that may be made to healthcare providers and other potential referral sources; impose restrictions on marketing practices; and/or require drug manufacturers to track and report information related to payments, gifts and other items of value to physicians and other healthcare providers.
We may also be subject to data privacy and security regulation by both the U.S. Government and the states in which we conduct our business. HIPAA, as amended by HITECH and its implementing regulations, imposes specified requirements relating to the privacy, security and transmission of individually identifiable health information. Penalties for violating HIPAA include civil penalties, criminal penalties and imprisonment. Among other things, HITECH, through its implementing regulations, makes HIPAA’s privacy and security standards directly applicable to “business associates,” defined as a person or organization, other than a member of a covered entity’s workforce, that creates, receives, maintains or transmits protected health information on behalf of a covered entity for a function or activity regulated by HIPAA. HITECH also increased the civil and criminal penalties that may be imposed against covered entities, business associates and possibly other persons, and gave state attorneys general new authority to file civil actions for damages or injunctions in Federal courts to enforce the Federal HIPAA laws and seek attorneys’ fees and costs associated with pursuing Federal civil actions.
In addition, other Federal and state laws govern the privacy and security of health and other information in certain circumstances, many of which differ from each other in significant ways and may not have the same requirements, thus complicating compliance efforts.
To the extent that any of our products are sold in a foreign country, we may be subject to similar foreign laws and regulations, which may include, for instance, applicable post-marketing requirements, including safety surveillance, anti-fraud and abuse laws, and implementation of corporate compliance programs and reporting of payments or transfers of value to healthcare professionals.
Coverage and Reimbursement
The commercial success of our product candidates and our ability to commercialize any approved product candidates successfully will depend in part on the extent to which governmental authorities, private health insurers and other third-party payers provide coverage for and establish adequate reimbursement levels for our therapeutic product candidates. In the U.S., the European Union and other potentially significant markets for our product candidates, government authorities and third-party payers are increasingly imposing additional requirements and restrictions on coverage, attempting to limit reimbursement levels or regulate the price of drugs and other medical products and services, particularly for new and
39
innovative products and therapies, which often has resulted in average selling prices lower than they would otherwise be. For example, in the U.S., Federal and state governments reimburse covered prescription drugs at varying rates generally below average wholesale price. Federal programs also impose price controls through mandatory ceiling prices on purchases by federal agencies and federally funded hospitals and clinics and mandatory rebates on retail pharmacy prescriptions paid by Medicaid and Tricare. These restrictions and limitations influence the purchase of healthcare services and products. Legislative proposals to reform healthcare or reduce costs under government programs may result in lower reimbursement for our product candidates or exclusion of our product candidates from coverage. Moreover, the Medicare and Medicaid programs increasingly are used as models for how private payers and other governmental payers develop their coverage and reimbursement policies.
In addition, the increased emphasis on managed healthcare in the U.S. and on country and regional pricing and reimbursement controls in the European Union will put additional pressure on product pricing, reimbursement and utilization, which may adversely affect our future product sales and results of operations. These pressures can arise from rules and practices of managed care groups, competition within therapeutic classes, availability of generic equivalents, judicial decisions and governmental laws and regulations related to Medicare, Medicaid and healthcare reform, coverage and reimbursement policies and pricing in general. The cost containment measures that healthcare payers and providers are instituting and any healthcare reform implemented in the future could significantly reduce our revenues from the sale of any approved product candidates. We cannot provide any assurances that we will be able to obtain and maintain third-party coverage or adequate reimbursement for our product candidates in whole or in part.
Impact of Healthcare Reform on Coverage, Reimbursement, and Pricing
The Medicare Modernization Act imposed new requirements for the distribution and pricing of prescription drugs for Medicare beneficiaries. Under Part D, Medicare beneficiaries may enroll in prescription drug plans offered by private entities that provide coverage of outpatient prescription, pharmacy drugs pursuant to federal regulations. Part D plans include both standalone prescription drug benefit plans and prescription drug coverage as a supplement to Medicare Advantage plans. Unlike Medicare Part A and B, Part D coverage is not standardized. In general, Part D prescription drug plan sponsors have flexibility regarding coverage of Part D drugs, and each drug plan can develop its own drug formulary that identifies which drugs it will cover and at what tier or level. However, Part D prescription drug formularies must include drugs within each therapeutic category and class of covered Part D drugs, though not necessarily all the drugs in each category or class, with certain exceptions. Any formulary used by a Part D prescription drug plan must be developed and reviewed by a pharmacy and therapeutic committee. Government payment for some of the costs of prescription drugs may increase demand for any products for which we receive marketing approval. However, any negotiated prices for our future products covered by a Part D prescription drug plan will likely be discounted, thereby lowering the net price realized on our sales to pharmacies. Moreover, while the Medicare Modernization Act applies only to drug benefits for Medicare beneficiaries, private payers often follow Medicare coverage policy and payment limitations in setting their own payment rates. Any reduction in payment that results from Medicare Part D may result in a similar reduction in payments from non-governmental payers.
The American Recovery and Reinvestment Act of 2009 provides funding for the U.S. Government to compare the effectiveness of different treatments for the same illness. A plan for the research will be developed by the Department of Health and Human Services, the Agency for Healthcare Research and Quality and the NIH, and periodic reports on the status of the research and related expenditures will be made to Congress. Although the results of the comparative effectiveness studies are not intended to mandate coverage policies for public or private payers, it is not clear what effect, if any, the research will have on the sales of any product, if any such product or the condition that it is intended to treat is the subject of a study. It is also possible that comparative effectiveness research demonstrating benefits in a competitor’s product could adversely affect the sales of our product candidates. If third-party payers do not consider our product candidates to be cost-effective compared to other available therapies, they may not cover our product candidates, once approved, as a benefit under their plans or, if they do, the level of payment may not be sufficient to allow us to sell our products on a profitable basis.
The U.S. and some foreign jurisdictions are considering enacting or have enacted a number of additional legislative and regulatory proposals to change the healthcare system in ways that could affect our ability to sell our products profitably. Among policy makers and payers in the U.S. and elsewhere, there is significant interest in promoting changes in healthcare
40
systems with the stated goals of containing healthcare costs, improving quality and expanding access. In the U.S., the pharmaceutical industry has been a particular focus of these efforts and has been significantly affected by major legislative initiatives, including, most recently, the Affordable Care Act, which became law in March 2010 and substantially changes the way healthcare is financed by both governmental and private insurers. Among other cost containment measures, the Affordable Care Act establishes an annual, nondeductible fee on any entity that manufactures or imports specified branded prescription drugs and biologic agents; a new Medicare Part D coverage gap discount program; expansion of Medicaid benefits and a new formula that increases the rebates a manufacturer must pay under the Medicaid Drug Rebate Program; and expansion of the 340B drug discount program that mandates discounts to certain hospitals, community centers and other qualifying providers. In the future, there may continue to be additional proposals relating to the reform of the U.S. healthcare system, some of which could further limit the prices we are able to charge or the amounts of reimbursement available for our product candidates once they are approved.
The Foreign Corrupt Practices Act
The FCPA prohibits any U.S. individual or business from paying, offering, or authorizing payment or offering of anything of value, directly or indirectly, to any foreign official, political party or candidate for the purpose of influencing any act or decision of the foreign entity in order to assist the individual or business in obtaining or retaining business. The FCPA also obligates companies whose securities are listed in the U.S. to comply with accounting provisions requiring us to maintain books and records that accurately and fairly reflect all transactions of the corporation, including international subsidiaries, and to devise and maintain an adequate system of internal accounting controls for international operations. Activities that violate the FCPA, even if they occur wholly outside the U.S., can result in criminal and civil fines, imprisonment, disgorgement, oversight, and debarment from government contracts.
Exclusivity and Approval of Competing Products
Hatch-Waxman Patent Exclusivity
In seeking approval for a drug through an NDA, applicants are required to list with the FDA each patent with claims that cover the applicant’s product or a method of using the product. Upon approval of a drug, each of the patents listed in the application for the drug is then published in the FDA’s Approved Drug Products with Therapeutic Equivalence Evaluations, commonly known as the Orange Book. Drugs listed in the Orange Book can, in turn, be cited by potential competitors in support of approval of an abbreviated new drug application (“ANDA”) or 505(b)(2) NDA. Generally, an ANDA provides for marketing of a drug product that has the same active ingredients in the same strengths, dosage form and route of administration as the listed drug and has been shown to be bioequivalent through in vitro or in vivo testing or otherwise to the listed drug. ANDA applicants are not required to conduct or submit results of preclinical or clinical tests to prove the safety or effectiveness of their drug product, other than the requirement for bioequivalence testing. Drugs approved in this way are commonly referred to as “generic equivalents” to the listed drug, and can often be substituted by pharmacists under prescriptions written for the reference listed drug. 505(b)(2) NDAs generally are submitted for changes to a previously approved drug product, such as a new dosage form or indication.
The ANDA or 505(b)(2) NDA applicant is required to provide a certification to the FDA in the product application concerning any patents listed for the approved product in the FDA’s Orange Book, except for patents covering methods of use for which the applicant is not seeking approval. Specifically, the applicant must certify with respect to each patent that:
| • | the required patent information has not been filed; |
| • | the listed patent has expired; |
| • | the listed patent has not expired, but will expire on a particular date and approval is sought after patent expiration; or |
| • | the listed patent is invalid, unenforceable, or will not be infringed by the new product. |
Generally, the ANDA or 505(b)(2) NDA cannot be approved until all listed patents have expired, except when the ANDA or 505(b)(2) NDA applicant challenges a listed patent or if the listed patent is a patented method of use for which approval is not being sought. A certification that the proposed product will not infringe the already approved product’s listed
41
patents or that such patents are invalid or unenforceable is called a Paragraph IV certification. We may seek Paragraph IV Certification for our product candidates. If the applicant does not challenge the listed patents or does not indicate that it is not seeking approval of a patented method of use, the ANDA or 505(b)(2) NDA application will not be approved until all the listed patents claiming the referenced product have expired.
If the ANDA or 505(b)(2) NDA applicant has provided a Paragraph IV certification to the FDA, the applicant must also send notice of the Paragraph IV certification to the NDA and patent holders once the application has been accepted for filing by the FDA. The NDA and patent holders may then initiate a patent infringement lawsuit in response to the notice of the Paragraph IV certification. The filing of a patent infringement lawsuit within 45 days after the receipt of notice of the Paragraph IV certification automatically prevents the FDA from approving the ANDA or 505(b)(2) NDA until the earlier of 30 months, expiration of the patent, settlement of the lawsuit, a decision in the infringement case that is favorable to the ANDA applicant or other period determined by a court.
Hatch-Waxman Non-Patent Exclusivity
Market and data exclusivity provisions under the FFDCA also can delay the submission or the approval of certain applications for competing products. The FFDCA provides a five-year period of non- patent data exclusivity within the U.S. to the first applicant to gain approval of an NDA for a new chemical entity.
A drug is a new chemical entity if the FDA has not previously approved any other new drug containing the same active moiety, which is the molecule or ion responsible for the therapeutic activity of the drug substance. During the exclusivity period, the FDA may not accept for review an ANDA or a 505(b)(2) NDA submitted by another company that contains the previously approved active moiety. However, an ANDA or 505(b)(2) NDA may be submitted after four years if it contains a certification of patent invalidity or non- infringement.
The FFDCA also provides three years of marketing exclusivity for an NDA, 505(b)(2) NDA, or supplement to an existing NDA or 505(b)(2) NDA if new clinical investigations, other than bioavailability studies, that were conducted or sponsored by the applicant, are deemed by the FDA to be essential to the approval of the application or supplement. Three-year exclusivity may be awarded for changes to a previously approved drug product, such as new indications, dosages, strengths or dosage forms of an existing drug. This three-year exclusivity covers only the conditions of use associated with the new clinical investigations and, as a general matter, does not prohibit the FDA from approving ANDAs or 505(b)(2) NDAs for generic versions of the original, unmodified drug product. Five-year and three-year exclusivity will not delay the submission or approval of a full NDA; however, an applicant submitting a full NDA would be required to conduct or obtain a right of reference to all of the preclinical studies and adequate and well- controlled clinical trials necessary to demonstrate safety and effectiveness.
Pediatric Exclusivity
Pediatric exclusivity is another type of non-patent marketing exclusivity in the U.S. and, if granted, provides for the attachment of an additional six months of marketing protection to the term of any existing regulatory exclusivity, including the non-patent exclusivity period described above. This six-month exclusivity may be granted if an NDA sponsor submits pediatric data that fairly respond to a written request from the FDA for such data. The data do not need to show the product to be effective in the pediatric population studied; rather, if the clinical trial is deemed to fairly respond to the FDA’s request, the additional protection is granted. If reports of requested pediatric studies are submitted to and accepted by the FDA within the statutory time limits, whatever statutory or regulatory periods of exclusivity or Orange Book listed patent protection that cover the drug are extended by six months. This is not a patent term extension, but it effectively extends the regulatory period during which the FDA cannot approve an ANDA or 505(b)(2) application owing to regulatory exclusivity or listed patents.
Orphan Drug Designation and Exclusivity
The Orphan Drug Act provides incentives for the development of drugs intended to treat rare diseases or conditions, which generally are diseases or conditions affecting less than 200,000 individuals annually in the U.S., or affecting more
42
than 200,000 in the U.S. and for which there is no reasonable expectation that the cost of developing and making the drug available in the U.S. will be recovered from U.S. sales.
Additionally, sponsors must present a plausible hypothesis for clinical superiority to obtain orphan drug designation if there is a drug already approved by the FDA that is intended for the same indication and that is considered by the FDA to be the same drug as the already approved drug. This hypothesis must be demonstrated to obtain orphan drug exclusivity. Orphan drug designation entitles a party to financial incentives such as opportunities for grant funding towards clinical study costs, tax advantages, and user fee waivers. In addition, if a product receives FDA approval for the indication for which it has orphan drug designation, the product is generally entitled to orphan drug exclusivity, which means the FDA may not approve any other application to market the same drug for the same indication for a period of seven years, except in limited circumstances, such as a showing of clinical superiority over the product with orphan exclusivity.
Foreign Regulation
In order to market any product outside of the U.S., we would need to comply with numerous and varying regulatory requirements of other countries regarding safety and efficacy and governing, among other things, clinical trials, marketing authorization, commercial sales and distribution of our products. For example, in the European Union, we must obtain authorization of a clinical trial application in each member state in which we intend to conduct a clinical trial. Whether or not we obtain FDA approval for a product, we would need to obtain the necessary approvals by the comparable regulatory authorities of foreign countries before we can commence clinical trials or marketing of the product in those countries. The approval process varies from country to country and can involve additional product testing and additional administrative review periods. The time required to obtain approval in other countries might differ from and be longer than that required to obtain FDA approval. Regulatory approval in one country does not ensure regulatory approval in another, but a failure or delay in obtaining regulatory approval in one country may negatively impact the regulatory process in others.
European Union Drug Approval Process
To obtain marketing authorization of a drug in the European Union, we may submit MAAs either under the so-called centralized or national authorization procedures.
Centralized procedure
The centralized procedure provides for the grant of a single marketing authorization following a favorable opinion by the EMA that is valid in all European Union member states, as well as Iceland, Liechtenstein and Norway. The centralized procedure is compulsory for medicines produced by specified biotechnological processes, products designated as orphan medicinal products, and products with a new active substance indicated for the treatment of specified diseases, such as HIV/AIDS, cancer, diabetes, neurodegenerative disorders or autoimmune diseases and other immune dysfunctions. The centralized procedure is optional for products that represent a significant therapeutic, scientific or technical innovation, or whose authorization would be in the interest of public health. Under the centralized procedure the maximum timeframe for the evaluation of an MAA by the EMA is 210 days, excluding clock stops, when additional written or oral information is to be provided by the applicant in response to questions asked by the Committee of Medicinal Products for Human Use (the “CHMP”). Accelerated assessment might be granted by the CHMP in exceptional cases, when a medicinal product is expected to be of a major public health interest, particularly from the point of view of therapeutic innovation. The timeframe for the evaluation of an MAA under the accelerated assessment procedure is of 150 days, excluding stop-clocks.
National authorization procedures
There are also two other possible routes to authorize medicinal products in several European Union countries, which are available for investigational medicinal products that fall outside the scope of the centralized procedure:
| • | Decentralized procedure. Using the decentralized procedure, an applicant may apply for simultaneous authorization in more than one European Union country of medicinal products that have not yet been authorized in any European Union country and that do not fall within the mandatory scope of the centralized procedure. |
43
| • | Mutual recognition procedure. In the mutual recognition procedure, a medicine is first authorized in one European Union Member State, in accordance with the national procedures of that country. Following this, further marketing authorizations can be sought from other European Union countries in a procedure whereby the countries concerned agree to recognize the validity of the original, national marketing authorization. |
In the European Union, new products authorized for marketing (i.e., reference products) qualify for eight years of data exclusivity and an additional two years of market exclusivity upon marketing authorization. The data exclusivity period prevents generic applicants from relying on the preclinical and clinical trial data contained in the dossier of the reference product when applying for a generic marketing authorization in the European Union during a period of eight years from the data on which the reference product was first authorized in the European Union. The market exclusivity period prevents a successful generic applicant from commercializing its product in the European Union until ten years have elapsed from the initial authorization of the reference product in the European Union. The ten-year market exclusivity period can be extended to a maximum of eleven years if, during the first eight years of those ten years, the marketing authorization holder obtains an authorization for one or more new therapeutic indications which, during the scientific evaluation prior to their authorization, are held to bring a significant clinical benefit in comparison with existing therapies.
44
Item 1A. Risk Factors
We are an early-stage company with a history of losses and our business faces significant risks and uncertainties, which are summarized below and are more fully described in the following section. Our business, prospects, financial condition, and results of operations could be materially and adversely affected if one or more of these risks occurs. In addition, other events that we do not currently anticipate, or that we currently deem immaterial, may also affect our business, prospects, financial condition and results of operations. Accordingly, in evaluating our business, we encourage you to consider the following discussion of risk factors, in its entirety, in addition to other information contained in or incorporated by reference into this annual report and our other public filings with the SEC. The following summary of the Risk Factors is subject to the full description of the Risk Factors set forth in this Item 1A.
Risk Factors Summary
• | We have a limited operating history upon which to base an investment decision. We have not been profitable historically and may not achieve or maintain profitability in the future. |
• | We need to raise additional capital to operate our business. If we fail to obtain the capital necessary to fund our operations, we will be unable to continue as a going concern or complete our product development. |
• | NRX-101 is in clinical testing and we cannot predict with any certainty if or when we might submit an NDA for regulatory approval. |
• | We have not yet scaled manufacturing of our drug products to levels that are required for sustained sales. |
• | The Company has been, and may become involved in, disputes, claims, arbitration and litigation. |
• | If we fail to obtain or maintain FDA and other regulatory clearances for our products, or if such clearances are delayed, we will be unable to commercially distribute and market our products in the U.S. |
• | Our products will face significant competition in the markets for such products and future products may never achieve market acceptance. We are faced with rapid technological change and developments by competitors may render our products or technologies obsolete or non-competitive. |
• We are currently operating in a period of economic uncertainty and capital markets disruption, which has been significantly impacted by geopolitical instability due to the ongoing military conflict between Russia and Ukraine.
• | Our relationships with customers and payors will be subject to applicable anti-kickback, fraud and abuse, transparency, and other healthcare laws and regulations, which could expose us to criminal sanctions, civil penalties, contractual damages, reputational harm, and administrative burdens. |
• | Managing our growth as we expand operations may strain our resources. |
• | Failure to achieve and maintain effective internal controls over financial reporting in accordance with Section 404 of the Sarbanes-Oxley Act could impair our ability to produce timely and accurate financial statements or comply with applicable regulations and have a material adverse effect on our business. |
• | Even if a drug product is approved, the regulators may impose limitations on the use or marketing of such product. |
• | If we are unable to design, conduct and complete clinical trials successfully, our drug candidates will not be able to receive regulatory approval. We cannot predict whether regulatory agencies will determine that the data from our clinical trials of our product candidates supports marketing approval. |
• | There is no guarantee that regulators will grant NDA approval of our current or future product candidates. |
• | If an adverse event occurs during a clinical trial, the regulators or an internal review board may delay or terminate the trial. |
• | Discussions and guidance of clinical trials are not binding obligations on the part of regulatory authorities. The results of our current or future clinical trials may not support our product candidate claims or may result in the discovery of unexpected adverse side effects. |
45
• | Delays in the commencement or completion of pharmaceutical development, manufacturing or clinical efficacy and safety testing could result in increased costs to us and delay our ability to generate revenues. |
• | Even if our products are approved by regulatory authorities, if we or our suppliers fail to comply with ongoing FDA regulation or if we experience unanticipated problems with our products, these products could be subject to market restrictions or withdrawals. |
• | Conducting clinical trials of our drug candidates or commercial sales of a drug candidate may expose us to expensive product liability claims and we may not be able to maintain product liability insurance on reasonable terms or at all. |
• | If the Company pursues development of our NRX-100 drug candidate, the use of a controlled substance subjects us to DEA scrutiny and compliance, which may result in additional expense and clinical delays, and may generate controversy. In addition, the use of controlled substances may limit the availability of the active ingredients needed for NRX-100. |
• | Modifications to our products may require new NDA approvals and some of our other product candidates will require Risk Evaluation and Mitigation Strategies. |
• | Our business relies on certain licensing rights that can be terminated in certain circumstances. |
• | Our business depends upon securing and protecting critical intellectual property. If we are found to be infringing on patents or trade secrets owned by others, we may be forced to cease or alter our product development efforts, obtain a license to continue development or sale of our products, and/or pay damages. |
• | Breaches by our employees or other parties may allow our trade secrets to become known to our competitors. |
• | We may not receive royalty or milestone revenue relating to our product candidates under our collaboration and future license agreements for several years, or at all. |
• | We do not have direct control of third parties performing preclinical and clinical trials. If such third parties do not perform as contractually required or expected, we may not be able to obtain regulatory approval for or commercialize our products. |
• | We have no manufacturing capabilities and depend on other parties for manufacturing operations. These manufacturers may fail to satisfy our requirements and applicable regulatory requirements. |
• | Our issuance of additional shares of Common Stock or convertible securities could make it difficult for another company to acquire us, may dilute your ownership of us and could adversely affect our stock price. Future sales, or the perception of sales, of our Common Stock by us or our existing stockholders could cause the market price for our Common Stock to decline. |
• | We qualify as a “smaller reporting company” within the meaning of the Securities Act, which could make our securities less attractive to investors and may make it more difficult to evaluate our performance. |
• | Anti-takeover provisions in our governing documents and under Delaware law could make an acquisition of us more difficult, limit attempts by our stockholders to replace or remove our current management and limit the market price of our Common Stock. |
• | Certain of our stockholders have effective control of NRx, and their interests may conflict with NRx’s or yours in the future. We are no longer a “controlled company” under the corporate governance rules of Nasdaq. However, we continue to rely on certain exceptions from corporate governance standards. |
• | If we fail to meet the applicable continued listing requirements of NASDAQ Global Market, NASDAQ may delist our common stock, in which case the liquidity and market price of our common stock could decline. |
• We do not intend to pay dividends on our Common Stock for the foreseeable future.
46
Risks Related to an Early-Stage Company
We are an early-stage company with a history of losses. We have not been profitable historically and may not achieve or maintain profitability in the future.
We experienced net losses in each year since inception, including net losses of $93.1 million and $39.8 million for the years ended, December 31, 2021, and 2022, respectively. We believe we will continue to incur operating losses and negative cash flow in the near-term as we continue to invest significantly in our business, in particular across our research and development efforts, clinical trial programs and future sales and marketing efforts.
These investments may not result in revenue or growth in our business. In addition, as a newly- public company, we incur significant additional legal, accounting and other expenses that we did not incur as a private company. These increased expenditures may make it harder for us to achieve and maintain future profitability. Until we have a product candidate approved by the FDA, which could take several years, revenue growth will not be possible, and we are unlikely to achieve or maintain profitability. Further, there can be no assurance that the products under development by us will be approved for sales in the U.S. or elsewhere.
We expect a substantial portion of our revenue going forward to be generated from the sale and distribution of our product candidates, but until one of our product candidates is approved for sale, it is difficult for us to predict our future operating results. Even if we succeed in developing and commercializing one or more of our product candidates, we expect to incur substantial net losses and negative cash flows for the foreseeable future due in part to increasing research and development expenses, including clinical trials, and increasing expenses from leasing additional facilities and hiring additional personnel. As a result, we will need to generate significant revenues in order to achieve and maintain profitability. We may not be able to generate these revenues or achieve profitability in the future. Even if we do achieve profitability, we may not be able to sustain or increase profitability.
We may incur significant losses in the future for a number of reasons, and we may encounter unforeseen expenses, difficulties, complications and delays and other unknown events. As a result, our losses may be larger than anticipated, we may incur significant losses for the foreseeable future, and we may not achieve profitability when expected, or at all, and even if we do, we may not be able to maintain or increase profitability. Furthermore, if our future growth and operating performance fail to meet investor or analyst expectations, or if we have future negative cash flow or losses resulting from our investment in acquiring customers or expanding our operations, this could have a material adverse effect on our business, financial condition and results of operations.
Our operating results and financial condition may fluctuate from period to period.
If and when any of product candidates are successfully commercialized, we anticipate that our operating results and financial condition will fluctuate from quarter-to-quarter and year-to-year due to a number of factors, many of which will not be within our control. Both our business and the pharmaceutical industry are changing and evolving rapidly, and our operating results in any given year may not be useful in predicting our future operating results. If our operating results do not meet the guidance that we provide to the marketplace or the expectations of securities analysts or investors, the market price of our Common Stock will likely decline. Fluctuations in our future operating results and financial condition may be due to a number of factors, including:
| • | our ability to manufacture our products in sufficient quantities with chemical manufacturing controls (“CMC”) that meet governmental regulatory standards; |
| • | the degree of acceptance and differentiation of our products and services in the broader healthcare industry; |
| • | our ability to compete with competitors and new entrants into our markets; |
| • | the products and services that we are able to sell during any period; |
| • | the timing of our sales and distribution of our products to customers; |
| • | the geographic distribution of our sales; |
47
| • | changes in our pricing policies on those of our competitors, including our response to price competition; |
| • | changes in the amount that we spend to research and develop new products or technologies; |
| • | expenses and/or liabilities resulting from litigation; |
| • | delays between our expenditures to research and develop new or enhanced products or technologies, the necessary regulatory approvals and the generation of revenue from those products or technologies; |
| • | unforeseen liabilities or difficulties in integrating any businesses that we choose to acquire; |
| • | disruptions to our information technology systems or our third-party contract manufacturers; |
| • | general economic and industry conditions that affect customer demand; |
| • | the impact of the COVID-19 pandemic on our customers, suppliers, manufacturers and operations; |
| • | changes in accounting rules and tax laws; and |
| • | global geopolitical conditions. |
We have a limited operating history upon which to base an investment decision.
Our limited operating history may hinder your ability to evaluate our prospects due to a lack of historical financial data and our unproven potential to generate profits. You should evaluate the likelihood of financial and operational success in light of the risks, uncertainties, expenses and difficulties associated with an early-stage business, many of which may be beyond our control, including:
| • | our potential inability to continue to undertake preclinical studies, pharmaceutical development and clinical trials, |
| • | our potential inability to obtain regulatory approvals, and |
| • | our potential inability to manufacture, sell and market our products. |
Our operations have been limited to organizing and staffing our company, acquiring, developing and securing our proprietary technology and intellectual property and undertaking preclinical studies and early-stage clinical trials of our principal product candidates. These operations provide a limited basis for you to assess our ability to commercialize our product candidates. Further, the pro forma condensed combined financial information included in this registration statement may not be a good prediction of our future results of operations and financial condition.
We need to raise additional capital to operate our business. If we fail to obtain the capital necessary to fund our operations, we will be unable to continue or complete our product development and we may not be able to continue as a going concern.
We are a company focused on product development and have not generated any product revenues to date. Until, and if, we receive approval from the FDA and other regulatory authorities for our product candidates, we cannot sell our drugs and will not have product revenues. We had cash and cash equivalents of approximately $20.1 million as of December 31, 2022, and the Company raised an additional $2.9 million, before fees and other costs, through an offering in March 2023. However, we will need to continue to seek capital from time to time to continue the development and potential commercialization of our product candidates, including any expansion of our clinical programs to facilitate a larger safety database for the use of NRX-101 as a chronic, or chronic-intermittent, treatment as advised by FDA in our recent Type B meeting, and to acquire and develop other product candidates. Accordingly, we believe that we will need to raise substantial additional capital to fund our continuing operations and the development and potential commercialization of our product candidates during calendar year 2023. We may raise capital through future share offerings, the issuance of debt instruments and grant monies. Our actual capital requirements will depend on many factors. For instance, our business or operations may change in a manner that would consume available funds more rapidly than anticipated and substantial additional funding may be required to maintain operations, fund expansion, develop new or enhanced products, acquire complementary products, business or technologies or otherwise respond to competitive pressures and opportunities, such as a change in the regulatory environment or a change
48
in preferred depression treatment. If we experience unanticipated cash requirements, we may need to seek additional sources of financing, which may not be available on favorable terms, if at all.
We may not be able to secure funding when we need it or on favorable terms. If we cannot raise adequate funds to satisfy our capital requirements, we will have to delay, scale-back or eliminate our research and development activities, clinical studies or future operations and we may be unable to complete planned nonclinical studies and clinical trials or obtain approval of our product candidates from the FDA and other regulatory authorities. In addition, we could be forced to discontinue product development, reduce or forego sales and marketing efforts and attractive business opportunities, reduce overhead, or be unable to continue as a going concern. We may also be required to obtain funds through arrangements with collaborators, which arrangements may require us to relinquish rights to certain technologies or products that we otherwise would not consider relinquishing, including rights to future product candidates or certain major geographic markets. We may further have to license our technology to others. This could result in sharing revenues which we might otherwise retain for ourselves. Any of these actions may harm our business, financial condition and results of operations.
The amount of capital we may need depends on many factors, including the progress, timing and scope of our product development programs; the progress, timing and scope of our nonclinical studies and clinical trials; the time and cost necessary to obtain regulatory approvals; the time and cost necessary to further develop manufacturing processes and arrange for contract manufacturing; our ability to enter into and maintain collaborative, licensing and other commercial relationships; and our partners’ commitment of time and resources to the development and commercialization of our products.
We may be unable to access the capital markets and even if we can raise additional funding, we may be required to do so on terms that are dilutive.
The capital markets have been unpredictable in the recent past for unprofitable companies such as ours. In addition, it is generally difficult for companies to raise capital under current market conditions. The amount of capital that a company such as ours is able to raise often depends on variables that are beyond our control. As a result, we cannot assure you that we will be able to secure financing on terms attractive to us, or at all. If we are able to consummate a financing arrangement, the amount raised may not be sufficient to meet our future needs. If adequate funds are not available on acceptable terms, or at all, our business, results of operations, financial condition and our continued viability will be materially adversely affected.
We will have broad discretion in using the proceeds of shares sold to investors, and we may not spend the proceeds in an effective manner.
We are not limited in the use of proceeds of shares sold to investors. We may use such proceeds for working capital and general corporate purposes to support our growth, to pay dividends on our outstanding securities, or for acquisitions or other strategic investments. We have not allocated such funds to any particular purpose, and our management will have the discretion to allocate the proceeds as it determines. We may not apply the proceeds effectively.
49
Risks Related to Our Business and Industry
NRX-101 is still in Phase II/III of clinical testing.
NRX-101 is in Phase IIb/III of clinical testing with Breakthrough Therapy designation, a Biomarker Letter and a Special Protocol Agreement issued by the FDA on April 20, 2018. A Special Protocol Agreement is a mechanism by which the FDA indicates that the proposed clinical trial, if successful, will be adequate to support an application for drug approval. FDA approval requires that a drug candidate complete a Phase III study program, which tests the safety and efficacy of the drug candidate on a large sample of patients. We are conducting a new registrational study of NRX-101 for severe bipolar depression in patients with ASIB after initial stabilization with NRX-100 (ketamine). We are using newly-manufactured material that was manufactured using the expected commercial process. In addition, we have initiated a Phase II clinical study for bipolar depression with sub-acute suicidal ideation and behavior. This population is significantly larger than the Bipolar Depression population with ASIB, and does not require initial stabilization with NRX-100. On January 3, 2023, the Company announced that its first clinical trial site had been contracted for a Phase 3 clinical trial of NRX-101 for the treatment of Severe Bipolar Depression in patients with Acute Suicidal Ideation and Behavior, a potentially lethal condition that currently takes the lives of thousands of Americans each year. Because NRX-101 is a Breakthrough Therapy, we anticipate being able to file a New Drug Application (“NDA”) based upon a single, successful Phase III trial. While we cannot predict with any certainty if or when we might submit an NDA for regulatory approval of NRX-101, we aim to submit an NDA to the FDA on a rolling basis for the regulatory approval and commercialization of NRX-101 in the U.S. in 2023.
Our product candidates are newly-formulated and we have not yet scaled manufacturing to levels that will be required for sustained sales.
NRX-101 has been formulated under cGMP and long-term stability (i.e., five years) has been achieved for our solid dose formulation of NRX-101. Although the Company completed a Type C meeting in which FDA agreed to the Company's Chemical Manufacturing Control and stability program for drug manufacture, and production of NRx-101 has been transferred to a commercial scale cGMP manufacturing facility in South Carolina, we have yet to attempt large scale manufacturing.
The outcome of any current or future disputes, claims, arbitration and litigation could have a material adverse effect on our business, financial condition and results of operations.
We are currently involved in a dispute with GEM Yield Bahamas Limited and GEM Global Yield LLC SCS (collectively, “GEM”). On August 12, 2022, the Company received a demand for arbitration (the “Demand”) from GEM. The Demand claims that the Company’s subsidiary, NeuroRx, Inc. (“NeuroRx”), failed to satisfy its obligation to pay GEM a commitment fee in the amount of HK$ 15,000,000 (approximately US$[1,914,087] at current exchange rates) pursuant to a Share Subscription Facility Agreement, executed on October 18, 2019, by and among NeuroRx and GEM. NeuroRx expects to vigorously defend its position that payment of the commitment fee is neither due nor owing under the terms of the Agreement. In the event of an adverse ruling, there can be no assurance that we would not be required to pay damages in an amount that may have a material adverse effect on our business, financial condition or results of operations.
If we fail to obtain or maintain FDA and other regulatory clearances for our products, or if such clearances are delayed, we will be unable to commercially distribute and market our products.
Our products are subject to rigorous regulation by national regulators around in the world, and by the FDA in the U.S. The process of seeking regulatory clearance or approval to market a drug product is expensive and time consuming and, notwithstanding the effort and expense incurred, clearance or approval is never guaranteed. If we are not successful in obtaining timely clearance or approval of our products from the FDA, we may never be able to generate significant revenue in the U.S. and may be forced to focus on international markets where we currently do not have a presence or an established partnership, which will limit the revenue potential of our products.
50
In the U.S., the FDA permits commercial distribution of a new drug product only after the product has received approval of an NDA filed with the FDA, seeking permission to market the product in interstate commerce in the U.S. The NDA process is costly, lengthy and uncertain. Any NDA application filed by us will have to be supported by extensive data, including, but not limited to, technical, nonclinical, clinical trial, manufacturing and labelling data, to demonstrate to the FDA’s satisfaction the safety and efficacy of the product for its intended use.
Obtaining clearances or approvals from the FDA and from the regulatory agencies in other countries could result in unexpected and significant costs for us and consume management’s time and other resources. The FDA and other agencies could ask us to supplement our submissions, collect non-clinical data, conduct additional clinical trials or engage in other time-consuming actions, or they could simply deny our applications. In addition, even if we obtain an NDA approval or pre-market approvals in other countries, the approval could be revoked or other restrictions imposed if post-market data demonstrates safety issues or lack of effectiveness. We cannot predict with certainty how, or when, the FDA will act. If we are unable to obtain the necessary regulatory approvals, our financial condition and cash flow may be adversely affected, and our ability to grow domestically and internationally may be limited. Additionally, even if cleared or approved, our products may not be approved for the specific indications that are most necessary or desirable for successful commercialization or profitability.
Our revenue stream will depend upon third-party reimbursement.
Once our product candidates are cleared or approved by the regulatory authorities, the commercial success of our products in both domestic and international markets will be substantially dependent on whether third-party coverage and reimbursement is available for patients that use our products. However, the availability of insurance coverage and reimbursement for newly approved drugs is uncertain, and therefore, third-party coverage may be particularly difficult to obtain even if our products are approved by national regulatory authorities as safe and efficacious. Many patients using existing approved therapies are generally reimbursed all or part of the product cost by governmental and non-governmental insurance plans. Such payors are increasingly attempting to contain healthcare costs by limiting both coverage and the level of reimbursement of new drugs, and, as a result, they may not cover or provide adequate payment for these products. Submission of applications for reimbursement approval generally does not occur prior to the filing of an NDA for that product and may not be granted for as long as many months after NDA approval. In order to obtain reimbursement arrangements for these products, we or our commercialization partners may have to agree to a net sales price lower than the net sales price we might charge in other sales channels. The continuing efforts of government and third-party payors to contain or reduce the costs of healthcare may limit our revenue. Initial dependence on the commercial success of our products may make our revenues particularly susceptible to any cost containment or reduction efforts.
We may have conflicts with our partners that could delay or prevent the development or commercialization of our product candidates.
We are not aware of any material commercial conflicts that could delay or prevent development or commercialization. However, commercial conflicts such as the interpretation of contractual obligations, payments for services, development obligations or the ownership of intellectual property could arise in any joint development activity. If any conflicts arise with any of our partners, such partner may act in a manner that is adverse to our best interests. Any such disagreement could result in one or more of the following, each of which could delay or prevent the development or commercialization of our product candidates, and in turn prevent us from generating revenues: unwillingness on the part of a partner to pay us a share in profits that we believe are due to us under a collaboration; uncertainty regarding ownership of intellectual property rights arising from our collaborative activities, which could prevent us from entering into additional collaborations; unwillingness on the part of a partner to keep us informed regarding the progress of its development and commercialization activities or to permit public disclosure of the results of those activities; initiating of litigation or alternative dispute resolution options by either party to resolve the dispute; or attempts by either party to terminate the agreement.
51
Our products will face significant competition in the markets for such products, and if they are unable to compete successfully, our business will suffer.
Our product candidates face, and will continue to face, intense competition from large pharmaceutical companies, specialty pharmaceutical and biotechnology companies as well as academic and research institutions. We compete in an industry that is characterized by: (i) rapid technological change, (ii) evolving industry standards, (iii) emerging competition and (iv) new product introductions. Our competitors have existing products and technologies that will compete with our products and technologies and may develop and commercialize additional products and technologies that will compete with our products and technologies.
Because several competing companies and institutions have greater financial resources than us, they may be able to: (i) provide broader services and product lines, (ii) make greater investments in research and development, and (iii) carry on larger R&D initiatives. Our competitors also have greater development capabilities than we do and have substantially greater experience in undertaking non-clinical and clinical testing of products, obtaining regulatory approvals, and manufacturing and marketing pharmaceutical products. They also have greater name recognition and better access to customers than us. Our chief competitors in the psychiatry area include companies such as Johnson & Johnson, Pfizer, Eli Lilly, Sage Therapeutics, Axsome, and Relmada, among others.
We are faced with intense competition and rapid technological change, which may make it more difficult for us to achieve significant market penetration. If we cannot compete successfully for market share against other drug companies, we may not achieve sufficient product revenues and our business will suffer.
The market for our product candidates is characterized by intense competition and rapid technological advances. If our product candidates receive regulatory approval in any jurisdiction, they will compete with a number of existing and future drugs and therapies developed, manufactured and marketed by others. If our competitors’ existing products or new products are more effective than or considered superior to our future products, the commercial opportunity for our product candidates will be reduced or eliminated. Existing or future competing products may provide greater therapeutic convenience or clinical or other benefits for a specific indication than our products, or may offer comparable performance at a lower cost. We face competition from fully integrated pharmaceutical companies and smaller companies that are collaborating with larger pharmaceutical companies, academic institutions, government agencies and other public and private research organizations. If we are successful in penetrating the relevant markets for treatment with our product candidates, other companies may be attracted to the market. Many of our competitors have products already approved or in development. In addition, many of these competitors, either alone or together with their collaborative partners, are larger than we are and have substantially greater financial, technical, research, marketing, sales, distribution and other resources than we do. Our competitors may develop or market products that are more effective or commercially attractive than any that we are developing or marketing. Our competitors may obtain regulatory approvals, and introduce and commercialize products before we do. These developments could have a significant negative effect on our financial condition. Even if we are able to compete successfully, we may not be able to do so in a profitable manner.
Future products may never achieve market acceptance.
Future products that we may develop may never gain market acceptance among physicians, patients and the medical community. The degree of market acceptance of any of our products will depend on a number of factors, including the actual and perceived effectiveness and reliability of our products; the results of any long-term clinical trials relating to use of our products; the availability, relative cost and perceived advantages and disadvantages of alternative technologies; the degree to which treatments using our products are approved for reimbursement by public and private insurers; the strength of our marketing and distribution infrastructure; and the level of education and awareness among physicians and hospitals concerning our products. The failure of any of our products to significantly penetrate current or new markets would negatively impact our business, financial condition and results of operations.
52
To be commercially successful, physicians must be persuaded that using our products are effective alternatives to existing therapies and treatments.
We believe that doctors and other physicians will not widely adopt our products unless they determine, based on experience, clinical data, and published peer reviewed journal articles, that the use of our products provides an effective alternative to other therapies and treatments. Patient studies or clinical experience may indicate that treatment with our products does not provide patients with sufficient benefits and/or improvement in quality of life. We believe that recommendations and support for the use of our products from medical societies and / or influential physicians will be essential for widespread market acceptance. Our products are still in the development stage and it is premature to attempt to gain support from physicians at this time. We can provide no assurance that such support will ever be obtained. If our products do not receive such support from these physicians and from long-term data, physicians may not use or continue to use, and hospitals may not purchase or continue to purchase, our products.
We may incur substantial liabilities and may be required to limit commercialization of our products in response to product liability lawsuits.
The testing and marketing of medical products entails an inherent risk of product liability. We may be held liable if serious adverse reactions from the use of our product candidates occur. If we cannot successfully defend ourselves against product liability claims, we may incur substantial liabilities or be required to limit commercialization of our product candidates. Our inability to obtain sufficient product liability insurance at an acceptable cost to protect against potential product liability claims could prevent or inhibit the commercialization of pharmaceutical products we develop, alone or with corporate collaborators. We currently carry clinical trials liability insurance, but we do not currently carry product liability insurance.
While we plan to obtain product liability insurance as we near commercialization, we, or any corporate collaborators, may not be able to obtain insurance at a reasonable cost, if at all. Even if our agreements with any future corporate collaborators entitle us to indemnification against losses, such indemnification may not be available or adequate if any claim arises.
We may not be able to obtain Hatch-Waxman Act marketing exclusivity or equivalent regulatory data exclusivity protection in other jurisdictions for our products.
Should we not obtain or fail to maintain patent protection on our products, we intend to rely, in part, on Hatch-Waxman exclusivity for the commercialization of our products in the U.S. The Hatch- Waxman Act provides marketing exclusivity to the first applicant to gain approval of an NDA under specific provisions of the Federal Food, Drug, and Cosmetic Act (“FFDCA”) for a product using an active ingredient that the FDA has not previously approved (i.e., five years) or for a new dosage form, route or indication (i.e., three years). This market exclusivity will not prevent the FDA from approving a competitor’s NDA if the competitor’s NDA is based on studies it has performed and not on our studies. However, there can be no assurance that we will obtain Hatch-Waxman exclusivity for our products or that such exclusivity, if obtained, will protect us from direct competition.
Similarly, in the European Union, new products authorized for marketing (i.e., reference products) qualify for eight years of data exclusivity and an additional two years of market exclusivity upon marketing authorization, which, if obtained, would prevent generic applicants from relying on our preclinical and clinical trial data. However, there can be no assurance that European authorities will grant data exclusivity for our products. Even if European data exclusivity is granted for our products, that may not protect us from direct competition. A competitor with a generic version of our products may be able to obtain approval of their product during our product’s period of data exclusivity by submitting a marketing authorization application (“MAA”) with a less than full package of nonclinical and clinical data.
53
In the future, we may undertake international operations, which would subject us to risks inherent with operations outside of the U.S.
Although we do not have any foreign manufacturing or distribution operations at this time, we may seek to obtain market clearances in foreign markets that we deem could generate significant opportunities. However, even with the cooperation of a commercialization partner, conducting drug development in foreign countries involves inherent risks, including, but not limited to: difficulties in staffing, funding and managing foreign operations; unexpected changes in regulatory requirements; export restrictions; tariffs and other trade barriers; difficulties in protecting, acquiring, enforcing and litigating intellectual property rights; fluctuations in currency exchange rates; and potentially adverse tax consequences.
We would need to obtain approvals from the appropriate regulatory, pricing and reimbursement authorities to market any of our proposed products internationally, and we may be unable to obtain foreign regulatory approvals. Pursuing foreign regulatory approvals would be time-consuming and expensive. The regulations can vary among countries and foreign regulatory authorities may require different or additional clinical trials than the trials we conducted to obtain FDA approval for our product candidates. In addition, adverse clinical trial results in such countries, such as death or injury due to side effects, could jeopardize not only regulatory approval, but if approval is granted, may also lead to marketing restrictions. Our product candidates may also face foreign regulatory requirements applicable to controlled substances.
If we were to experience any of the difficulties listed above, or any other difficulties, any international development activities and our overall financial condition may suffer and cause us to reduce or discontinue our international development and registration efforts.
International commercialization of our product candidates requires successful collaborations.
We plan to commercialize some of our products internationally through collaborative relationships with foreign partners. We have limited foreign regulatory, clinical and commercial resources. Future partners are critical to our international success. However, we may not be able to enter into collaboration agreements with appropriate partners for important foreign markets on acceptable terms, or at all. Future collaborations with foreign partners may not be effective or profitable for us.
Our business activities could face further disruption due to the COVID-19 pandemic.
We are continuing to monitor the latest developments regarding the COVID-19 pandemic on our business, operations and financial condition and results, and have made certain assumptions regarding the pandemic for purposes of our operational planning and financial projections, including assumptions regarding the duration and severity of the pandemic and the global macroeconomic impact of the pandemic. Despite careful tracking and planning, however, we are unable to accurately predict the extent of the impact of the pandemic on our business, operations and financial condition and results due to the uncertainty of future developments. If there is a resurgence of the COVID-19 pandemic, the research and development of our products will be delayed and we may be unable to perform fully on our contracts, which will likely result in increases in costs and reduction in revenue. These cost increases may not be fully recoverable or adequately covered by insurance. The long-term effects of the COVID-19 pandemic to the global economy and to us continue to be difficult to assess or predict and may include a decline in the market prices of our products, risks to employee health and safety, risks for the deployment of our products and services and reduced sales in geographic locations impacted. Any prolonged restrictive measures put in place to control a resurgence of the COVID-19 pandemic or other adverse public health developments in any of our targeted markets may have a material and adverse effect on our business operations and results of operations.
For additional information on how the COVID-19 pandemic has already impacted our business, operations and financial condition and results, see our historical consolidated financial statements, presented elsewhere in this annual report.
54
Global economic, political and social conditions, armed conflicts and uncertainties in the market that we serve may adversely impact our business.
Our performance depends on the financial health and strength of our customers, which in turn is dependent on the economic conditions of the markets in which we and our customers operate. The recent declines in the global economy, difficulties in the financial services sector and credit markets, continuing geopolitical uncertainties and other macroeconomic factors all affect the spending behavior of potential customers. The economic uncertainty in Europe, the U.S., India, China and other countries may cause end-users to further delay or reduce technology purchases.
We also face risks from financial difficulties or other uncertainties experienced by our suppliers, distributors or other third parties on which we rely. If third parties are unable to supply us with required materials or components or otherwise assist us in operating our business, our business could be harmed.
For example, the possibility of trade disputes and tariffs between countries with whom we are engaged may impact the cost of raw materials, finished products or components used in our products and our ability to sell our products in various markets. Other changes in U.S. social, political, regulatory and economic conditions or in laws and policies governing foreign trade, manufacturing, development and investment could also adversely affect our business.
Our business, financial condition, and results of operations may be materially adversely affected by the negative impact on the global economy and capital markets resulting from new international conflicts or any other geopolitical tensions.
U.S. and global markets generally experience volatility and disruption as a result of geopolitical tensions and military conflicts, including significant volatility in commodity prices, credit and capital markets, as well as supply chain disruptions.
Additionally, international sanctions and other penalties can disrupt payment systems and imports/exports and lead to instability and lack of liquidity in capital markets, potentially making it more difficult for us to obtain additional funds. Any such disruptions may also magnify the impact of other risks described in this annual report.
We may not be successful in hiring and retaining key employees and contractors.
Our future operations and successes depend in large part upon the continued service of key members of our senior management team whom we are highly dependent upon to manage our business, including our Chief Executive Officer. If he terminates his relationship with us, such a departure could have a material adverse effect on our business.
Our future success also depends on our ability to identify, attract, hire or engage, retain and motivate other well-qualified managerial, technical, clinical and regulatory personnel. We will need to hire additional qualified personnel with expertise in nonclinical pharmacology and toxicology, pharmaceutical development, clinical research, regulatory affairs, manufacturing, sales and marketing. We compete for qualified individuals with numerous biopharmaceutical companies, universities and other research institutions. Competition for such individuals, particularly in the U.S., is intense, and we may not be able to hire sufficient personnel to support our efforts. There can be no assurance that these professionals will be available in the market, or that we will be able to retain existing professionals or to meet or to continue to meet their compensation requirements. Furthermore, the cost base in relation to such compensation, which may include equity compensation, may increase significantly, which could have a material adverse effect on us. Failure to establish and maintain an effective management team and work force could adversely affect our ability to operate, grow and manage our business.
Our employees may engage in misconduct or other improper activities, including noncompliance with regulatory standards and requirements.
We are exposed to the risk of employee fraud or other misconduct. Misconduct by employees could include intentional failures to:
| • | comply with FDA regulations or similar regulations of comparable foreign regulatory authorities; provide accurate |
55
| information to the FDA or comparable foreign regulatory authorities; |
| • | comply with federal and state healthcare fraud and abuse laws and regulations and similar laws and regulations established and enforced by comparable foreign regulatory authorities; |
| • | report financial information or data accurately; or |
| • | disclose unauthorized activities to us. |
In particular, sales, marketing and business arrangements in the healthcare industry are subject to extensive laws and regulations intended to prevent fraud, kickbacks, self-dealing and other abusive practices. These laws and regulations may restrict or prohibit a wide range of pricing, discounting, marketing and promotion, sales commission, customer incentive programs and other business arrangements. Employee misconduct could also involve the improper use of information obtained in the course of clinical trials, which could result in regulatory sanctions and serious harm to our reputation. We have adopted a Business Code of Conduct and Anti-Corruption Policy, but it is not always possible to identify and deter employee misconduct, and the precautions we take to detect and prevent this activity may not be effective in controlling unknown or unmanaged risks or losses or in protecting us from governmental investigations or other actions or lawsuits stemming from a failure to be in compliance with such laws or regulations. If any such actions are instituted against us, and we are not successful in defending ourselves or asserting our rights, those actions could have a significant impact on our business and results of operations, including the imposition of significant fines or other sanctions.
Our relationships with customers and payors will be subject to applicable anti-kickback, fraud and abuse, transparency, and other healthcare laws and regulations, which could expose use to criminal sanctions, civil penalties, contractual damages, reputational harm, administrative burdens.
Healthcare providers, physicians and payors play a primary role in the recommendation and prescription of any product candidates for which we may obtain marketing approval. Our arrangements with payors and customers may expose us to broadly applicable fraud and abuse and other healthcare laws and regulations that may constrain the business or financial arrangements and relationships through which we market, sell and distribute any product candidates for which we may obtain marketing approval. Restrictions under applicable federal, state and foreign healthcare laws and regulations may affect our ability to operate, including:
| • | the Federal Anti-Kickback Statute, which prohibits, among other things, knowingly and willfully soliciting, offering, receiving or providing remuneration, directly or indirectly, in cash or in kind, to induce or reward either the referral of an individual for, or the purchase, order or recommendation of, any good or service, for which payment may be made under Federal and state healthcare programs such as Medicare and Medicaid; |
| • | the Foreign Corrupt Practices Act (“FCPA”), which prohibits, among other things, any U.S. individual or business from paying, offering, or authorizing payment or offering of anything of value, directly or indirectly, to any foreign official, political party or candidate for the purpose of influencing any act or decision of the foreign entity in order to assist the individual or business in obtaining or retaining business; |
| • | the Office of Foreign Assets Control, which prohibits, among other things, transactions or dealings with specified countries, their governments, and in certain circumstances, their nationals, and with individuals and entities that are specially designated, including narcotics traffickers and terrorists or terrorist organization; |
| • | the Committee on Foreign Investment in the U.S., which has regulatory oversight over the sources and amounts of investment we may accept from non-US investors; |
| • | the federal False Claims Act, which imposes criminal and civil penalties, including through civil whistleblower or qui tam actions, against individuals or entities for knowingly presenting, or causing to be presented, to the federal government, claims for payment that are false or fraudulent or making a false statement to avoid, decrease or conceal an obligation to pay money to the federal government; |
| • | state and foreign anti-kickback and false claims laws, which may apply to sales or marketing arrangements and claims involving healthcare items or services reimbursed by non-governmental payors, including private insurers; |
| • | the federal Health Insurance Portability and Accountability Act of 1996 (“HIPAA”), as amended by the Health |
56
| Information Technology for Economic and Clinical Health Act of 2009 (“HITECH”), which imposes criminal and civil liability for executing a scheme to defraud any healthcare benefit program or making false statements relating to healthcare matters; |
| • | HIPAA and its implementing regulations, which also imposes obligations on certain covered entity healthcare providers, health plans, and healthcare clearinghouses as well as their business associates that perform certain services involving the use or disclosure of individually identifiable health information, including mandatory contractual terms, with respect to safeguarding the privacy, security and transmission of individually identifiable health information; |
| • | laws which require pharmaceutical companies to comply with the pharmaceutical industry’s voluntary compliance guidelines and the relevant compliance guidance promulgated by the federal government or otherwise restricting payments that may be made to healthcare providers; and |
| • | federal laws requiring drug manufacturers to report information related to payments and other transfers of value made to physicians and other healthcare providers, as well as ownership or investment interests held by physicians and their immediate family members, including under the federal open payments program, as well as other state and foreign laws regulating marketing activities. |
Managing our growth as we expand operations may strain our resources and we may not successfully manage our growth.
We expect to need to grow rapidly in order to support additional, larger, and potentially international, pivotal clinical trials of our drug candidates, which will place a significant strain on our financial, managerial and operational resources. In order to achieve and manage growth effectively, we must continue to improve and expand our operational and financial management capabilities. Moreover, we will need to increase staffing and to train, motivate and manage our employees. All of these activities will increase our expenses and may require us to raise additional capital sooner than expected. If we grow significantly, such growth will place a significant strain on our management and on our administrative, operational and financial resources. To manage this growth, we must expand our facilities, augment our operational, financial and management systems, internal controls and infrastructure and hire and train additional qualified personnel. Our future success is heavily dependent upon growth and acceptance of our future products. If we are unable to scale our business appropriately or otherwise adapt to anticipated growth and new product introduction, our business and financial condition will be harmed.
We may expand our business through the acquisition of rights to new drug candidates that could disrupt our business, harm our financial condition and may also dilute current stockholders’ ownership interests in our company.
Our business strategy includes expanding our products and capabilities, and we may seek acquisitions of drug candidates or technologies to do so. Acquisitions involve numerous risks, including substantial cash expenditures; potentially dilutive issuances of equity securities; incurrence of debt and contingent liabilities, some of which may be difficult or impossible to identify at the time of acquisition; difficulties in assimilating the acquired technologies or the operations of the acquired companies; diverting our management’s attention away from other business concerns; risks of entering markets in which we have limited or no direct experience; and the potential loss of our key employees or key employees of the acquired companies.
We cannot assure you that any acquisition will result in short-term or long-term benefits to us. We may incorrectly judge the value or worth of an acquired product, company or business. Any such transaction could also result in impairment of goodwill and other intangibles, write-offs and other related expenses. In addition, our future success would depend in part on our ability to manage the rapid growth associated with some of these acquisitions. We cannot assure you that we will be able to make the combination of our business with that of acquired products, businesses or companies work or be successful. Furthermore, the development or expansion of our business or any acquired products, business or companies may require a substantial capital investment by us. We may not have these necessary funds or they might not be available to us on acceptable terms or at all. We may also seek to raise funds by selling shares of our preferred or Common Stock, which could dilute each current stockholder’s ownership interest in NRx.
57
Developments by competitors may render our products or technologies obsolete or non-competitive.
Alternative technologies and products are being developed to treat depression and some may target suicidal bipolar depression and post-traumatic stress disorder (“PTSD”). Many of the organizations competing with us have substantially greater capital resources, larger research and development staffs and facilities, greater experience in drug development and in obtaining regulatory approvals and greater manufacturing and marketing capabilities than we do. Our competitors may market less expensive or more effective drugs that would compete with our drug candidates or reach market with competing drugs before we are able to reach market with our drug candidates. These organizations also compete with us to attract qualified personnel and partners for acquisitions, joint ventures or other collaborations.
Business interruptions could limit our ability to operate our business.
Our operations as well as those of our collaborators on which we depend are vulnerable to damage or interruption from computer viruses, human error, natural disasters, electrical and telecommunication failures, international acts of terror and similar events. We have not established a formal disaster recovery plan and our back-up operations and our business interruption insurance may not be adequate to compensate us for losses we may suffer. A significant business interruption could result in losses or damages incurred by us and require us to cease or curtail our operations.
Cyber security attacks, internal system or service failures may adversely impact our business and operations.
Any system or service disruptions, including those caused by projects to improve our information technology systems, if not anticipated and appropriately mitigated, could disrupt our business and impair our ability to effectively provide products and related services to our customers and could have a material adverse effect on our business. We could also be subject to systems failures, including network, software or hardware failures, whether caused by us, third-party service providers, intruders or hackers, computer viruses, natural disasters, power shortages or terrorist attacks.
Cyber security threats are evolving and include, but are not limited to, malicious software, phishing and other unauthorized attempts to gain access to sensitive, confidential or otherwise protected information related to us or our products, customers or suppliers, or other acts that could lead to disruptions in our business. The COVID-19 pandemic has forced many of our employees to shift to work-from-home arrangements, which increases our vulnerability to email phishing, social engineering or “hacking” through our remote networks, and similar cyber-attacks aimed at employees working remotely. Because the techniques used by cyber-attackers to access or sabotage networks change frequently and may not be recognized until launched against a target, we may be unable to anticipate these tactics. Any such failures to prevent or mitigate cyber-attacks could cause loss of data and interruptions or delays in our business, cause us to incur remediation costs or subject us to claims and damage our reputation.
In addition, the failure or disruption of our communications or utilities could cause us to interrupt or suspend our operations or otherwise adversely affect our business. Although we utilize various procedures and controls to monitor and mitigate the risk of these threats and training our employees to recognize attacks, there can be no assurance that these procedures and controls will be sufficient. Our property and business interruption insurance may be inadequate to compensate us for all losses that may occur as a result of any system or operational failure or disruption which would adversely affect our business, results of operations and financial condition. Moreover, expenditures incurred in implementing cyber security and other procedures and controls could adversely affect our results of operations and financial condition.
Failure to achieve and maintain effective internal controls over financial reporting in accordance with Section 404 of the Sarbanes-Oxley Act could impair our ability to produce timely and accurate financial statements or comply with applicable regulations and have a material adverse effect on our business.
Our management has significant requirements for enhanced financial reporting and internal controls as a public company. The process of designing and implementing effective internal controls is a continuous effort that will require us to anticipate and react to changes in our business and the economic and regulatory environments and to expend significant resources to maintain a system of internal controls that is adequate to satisfy our reporting obligations as a public company.
58
If we are unable to establish and maintain appropriate internal financial reporting controls and procedures, in accordance with Section 404 of the Sarbanes-Oxley Act, it could impact our operating results, result in material misstatements in our consolidated financial statements and cause us to fail to meet our reporting obligations on a timely basis. Testing and maintaining internal controls may divert management’s attention from other matters that are important to our business. Our independent registered public accounting firm may be required to attest to the effectiveness of our internal control over financial reporting on an annual basis in the future.
Matters impacting our internal controls may cause us to be unable to report our financial information on a timely basis and thereby subject us to adverse regulatory consequences, including sanctions by the SEC or violations of applicable stock exchange listing rules, which may result in a breach of the covenants under existing or future financing arrangements. There also could be a negative reaction in the financial markets due to a loss of investor confidence in us and the reliability of our financial statements. Confidence in the reliability of our financial statements also could suffer if we or our independent registered public accounting firm continue to report a material weakness in our internal controls over financial reporting. This could materially adversely affect us and lead to a decline in the market price of our Common Stock.
Risks Related to Clinical and Regulatory Matters
If we fail to obtain the necessary regulatory approvals, or if such approvals are limited, we will not be allowed to commercialize our drug candidates, and we will not generate product revenues.
Satisfaction of all regulatory requirements for commercialization of a drug candidate typically takes many years, is dependent upon the type, complexity and novelty of the product candidate, and requires the expenditure of substantial resources for research and development. Our research and clinical approaches may not lead to drugs that regulators consider safe for humans and effective for indicated uses we are studying. Regulators may require additional studies, in which case we and any product collaborators would have to expend additional time and resources and would likely delay the date of potentially receiving regulatory approval. The approval process may also be delayed by changes in government regulation, future legislation or administrative action or changes in regulatory policy that occur prior to or during our regulatory review.
Delays in obtaining regulatory approvals would:
| • | delay commercialization of, and product revenues from, our product candidates; and |
| • | diminish the competitive advantages that we may have otherwise enjoyed, which would have an adverse effect on our operating results and financial condition. |
Even if we comply with all regulatory requirements, our product candidates may never obtain regulatory approval. If we fail to obtain regulatory approval for any of our product candidates we will have fewer commercial products, if any, and corresponding lower product revenues, if any.
Even if a drug product is approved, the regulators may impose limitations on the use or marketing of such product.
Even if our product candidates receive regulatory approval from regulators, they may limit the approved indications for use of the product, require that contraindications, warnings or precautions be included in the product labeling, including a black boxed warning. Regulators may also require us or our collaborators to commit to perform lengthy Phase IV post-approval clinical efficacy or safety studies, require testing and surveillance programs to monitor the product after commercialization, or impose other conditions, including distribution restrictions or other risk management mechanisms that could materially affect the potential market and profitability of the product. Our expending of additional resources on such trials or programs would have an adverse effect on our operating results and financial condition.
After approval, certain circumstances may require additional regulatory notification, review, or approval, as well as further testing. These may include some types of changes to the approved product, such as adding new indications, manufacturing changes, and additional labeling claims, or new safety information.
59
After approval, later discovery of previously unknown problems with a product will have adverse consequences for us.
Later discovery of previously unknown problems with a product, including adverse events of unanticipated severity or frequency, or with manufacturing processes, or failure to comply with regulatory requirements, may result in mandatory revisions to the approved labeling to add new safety information; imposition of post-market studies or clinical trials to assess new safety risks; or imposition of distribution or other restrictions under a REMS program. Other potential consequences include, among other things:
| • | restrictions on the marketing or manufacturing of the product, complete withdrawal of the product from the market or product recalls; |
| • | fines, Warning Letters or Untitled Letters, holds or termination of post-approval clinical trials or FDA debarment; |
| • | delay or refusal of regulators to approve pending NDAs or supplements to approved NDAs, or suspension or revocation of product license approvals; |
| • | regulatory authority, including the FDA, issued safety alerts, Dear Healthcare Provider letters, press releases or other communications containing warnings about such products; |
| • | mandated modifications to promotional material or issuance of corrective information; |
| • | product seizure or detention, or refusal to permit the import or export of products; and |
| • | injunctions or the imposition of civil or criminal penalties, including imprisonment, disgorgement and restitution, as well as consent decrees, corporate integrity agreements, deferred prosecution agreements and exclusion from federal healthcare programs. |
If we are unable to design, conduct and complete clinical trials successfully, our drug candidates will not be able to receive regulatory approval.
In order to obtain regulatory approval for any of our drug candidates, we must submit an NDA or request for EUA that demonstrates with substantive evidence that the drug candidate is both safe and effective in humans for its intended use. This demonstration requires significant research and animal tests, which are referred to as preclinical studies, as well as human tests, which are referred to as clinical trials.
Results from Phase I clinical programs may not support moving a drug candidate to Phase II or Phase III clinical trials. Phase III clinical trials may not demonstrate the safety or efficacy of our drug candidates. Success in preclinical studies and early clinical trials does not ensure that later clinical trials will be successful. Results of later clinical trials may not replicate the results of prior clinical trials and preclinical studies.
Even if the results of Phase III clinical trials are positive, we may have to commit substantial time and additional resources to conducting further preclinical studies and clinical trials before obtaining FDA approval for any of our drug candidates.
Clinical trials are very expensive and difficult to design and implement, in part because they are subject to rigorous requirements. The clinical trial process also consumes a significant amount of time. Furthermore, if participating patients in clinical trials suffer drug-related adverse reactions during the course of such clinical trials, or if we or the FDA believe that participating patients are being exposed to unacceptable health risks, such clinical trials will have to be suspended or terminated. Failure can occur at any stage of the clinical trials, and we could encounter problems that cause abandonment or repetition of clinical trials. The success in clinical trials depends on reaching statistically significant changes in patients’ symptoms based on clinician-rated scales. Due in part to a lack of consensus on standardized processes for assessing clinical outcomes, these scores may or may not be reliable, useful or acceptable to regulatory agencies.
We do not know whether any of our planned clinical trials will result in marketable drugs. In addition, completion of clinical trials can be delayed by numerous factors, including:
60
| • | delays in identifying and agreeing on acceptable terms with prospective clinical trial sites; |
| • | slower than expected rates of patient recruitment and enrollment; |
| • | unanticipated patient dropout rates; and |
| • | increases in time required to complete monitoring of patients during or after participation in a clinical trial. |
Any of these delays could significantly impact the timing, approval and commercialization of our drug candidates and could significantly increase our overall costs of drug development.
Even if clinical trials are completed as planned, their results may not support expectations or intended marketing claims. The clinical trials process may fail to demonstrate that our drug candidates are safe and effective for indicated uses. Such failure would cause us to abandon a drug candidate and could delay development of other drug candidates.
We cannot predict whether regulatory agencies will determine that the data from our clinical trials of our product candidates supports marketing approval.
The FDA’s and other regulatory agencies’ decision to approve our drug candidates will depend on our ability to demonstrate with substantial clinical evidence through well-controlled clinical trials, that the product candidates are effective, as measured statistically by comparing the overall improvement in actively- treated patients against improvement in the control group (usually a placebo control). However, there is a possibility that our data may fail to show a statistically significant difference from the placebo-control or the active control. Alternatively, there is a possibility that our data may be statistically significant, but that the actual clinical benefit of the product candidates may not be considered to be clinically significant, clinically relevant or clinically meaningful. Consequently, we believe that regulators may consider additional data, such as a “responder” analysis, secondary efficacy endpoints and safety when evaluating whether our product candidates can be approved. We cannot predict whether the regulatory agencies will find that our clinical trial results provide compelling “responder” or other secondary endpoint data. Even if we believe that the data from our trials will support marketing approval in the U.S. or in Europe, we cannot predict whether the agencies will agree with our analysis and approve our applications.
There is no guarantee that regulatory authorities will grant NDA approval of our current or future product candidates and failure to obtain necessary clearances or approvals for our current and future product candidates would adversely affect our ability to grow our business.
We initiated a Phase IIb/III clinical research program of NRX-101 during the second half of 2017 under an FDA Investigational New Drug (“IND”) application that was granted Fast Track designation by the FDA in August 2017 and was granted the Breakthrough Therapy designation by the FDA in November 2018. In April 2018, the FDA granted a Special Protocol Agreement. We successfully completed a Phase II clinical trial of NRX-101 in patients with severe bipolar depression and acute suicidal ideation following stabilization with a single dose of ketamine and saw a statistically significant reduction in depression (P=0.04) and suicidal ideation (P=0.02) compared to lurasidone alone over 42 days of treatment. If this statistically-significant advantage is replicated in the current Phase III clinical trial, under the terms agreed to with the FDA in our Special Protocol Agreement, we aim to submit a NDA to the FDA [on a rolling basis] for the regulatory approval and commercialization of NRX-101 in the U.S. in 2023.
We cannot assure investors that the FDA or any other regulator will approve or clear NRX-101 or other product candidates for the indications that are necessary or desirable for successful commercialization. Indeed, the FDA may refuse our requests for NDA market approval of new products, new intended uses or indications to existing or future products. Failure to receive approval for our new products would have an adverse effect on our ability to expand our business.
With respect to clinical trials, discussions and guidance are not binding obligations on the part of regulatory authorities.
Regulatory authorities may revise previous guidance or decide to ignore previous guidance at any time during the course of our clinical activities or after the completion of our clinical trials. Even with successful clinical safety and efficacy data, including such data from a clinical trial conducted pursuant to a special protocol agreement, we may be required to conduct additional, expensive clinical trials to obtain regulatory approval.
61
The results of our current or future clinical trials may not support our product candidate claims or may result in the discovery of unexpected adverse side effects.
Even if our clinical trials are completed as planned, we cannot be certain that their results will support our drug candidates’ claims or that the regulatory authorities will agree with our conclusions regarding them. Success in pre-clinical studies and early clinical trials does not ensure that later clinical trials will be successful, and we cannot be sure that the later trials will replicate the results of prior trials and pre-clinical studies. In particular, our clinical trials performed until now involve a relatively small patient population. Because of the small sample size, their results may not be indicative of future results. It is also possible that patients enrolled in clinical trials will experience adverse side effects that are not currently part of the product candidate’s profile. Accordingly, the clinical trial process may fail to demonstrate that our drug candidates are safe and effective for the proposed indicated uses. If the FDA concludes that the clinical trials for any of our products for which we might seek clearance have failed to demonstrate safety and effectiveness, we would not receive regulatory clearance to market that product in the applicable countries for the indications sought. In addition, such an outcome could cause us to abandon the product candidate and might delay development of others. Any delay or termination of our clinical trials will delay the filing of any product submissions with regulatory authorities and, ultimately, our ability to commercialize our product candidates and generate revenues.
Delays in the commencement or completion of pharmaceutical development, manufacturing or clinical efficacy and safety testing could result in increased costs to us and delay our ability to generate revenues.
We do not know whether our pharmaceutical development, manufacturing or clinical efficacy and safety testing will begin on time or be completed on schedule, if at all. For example, we may encounter delays during the manufacture of pilot scale batches including delays with our contract development or manufacturing organization, sourcing satisfactory quantities of active pharmaceutical ingredient, narcotic import and export permits, sourcing of excipients, contract disputes with our third-party vendors and manufacturers, or failure of the product to meet specification.
The commencement and completion of clinical trials can be disrupted for a variety of reasons, including difficulties in:
| • | finding suitable clinical sites; |
| • | recruiting and enrolling patients to participate in a clinical trial; |
| • | obtaining regulatory approval to commence a clinical trial; |
| • | reaching agreement on acceptable terms with prospective clinical research organizations and trial sites; |
| • | manufacturing sufficient quantities of a product candidate; |
| • | investigator fraud, including data fabrication by clinical trial personnel; |
| • | diversion of controlled substances by clinical trial personnel; and |
| • | a clinical trial may also be suspended or terminated by us or by regulatory authorities due to a number of factors, including: |
| • | failure to conduct the clinical trial in accordance with regulatory requirements or in accordance with our clinical protocols; |
| • | inspection of the clinical trial operations or trial site by regulatory authorities resulting in the imposition of a clinical hold; |
| • | unforeseen safety issues; or |
| • | inadequate patient enrollment or lack of adequate funding to continue the clinical trial. |
In addition, changes in regulatory requirements and guidance may occur and we may need to amend clinical trial protocols to reflect these changes, which could impact the cost, timing or successful completion of a clinical trial. If we experience delays in the commencement or completion of our clinical trials, the commercial prospects for our product
62
candidates will be harmed, and our ability to generate product revenues will be delayed. Many of the factors that cause, or lead to, a delay in the commencement or completion of clinical trials may also lead to the denial of regulatory approval of a product candidate.
We may require the enrollment of large numbers of patients, and suitable patients may be difficult to identify and recruit.
Patient enrollment in clinical trials and completion of patient participation and follow-up depends on many factors, including the size of the patient population; the nature of the trial protocol; the attractiveness of, or the discomforts and risks associated with, the treatments received by enrolled subjects; the availability of appropriate clinical trial investigators; support staff; the number of ongoing clinical trials in the same indication that compete for the same patients; and proximity of patients to clinical sites and ability to comply with the eligibility and exclusion criteria for participation in the clinical trial and patient compliance. For example, patients may be discouraged from enrolling in our clinical trials if the trial protocol requires them to undergo extensive post-treatment procedures or follow-up to assess the safety and effectiveness of our products or if they determine that the treatments received under the trial protocols are not attractive or involve unacceptable risks or discomforts. Patients may also not participate in our clinical trials if they choose to participate in contemporaneous clinical trials of competitive products. Pandemic or pandemic-like conditions may limit the ability of patients to participate in studies.
Development of sufficient and appropriate clinical protocols to demonstrate safety and efficacy are required and we may not adequately develop such protocols to support clearance and approval.
Regulators may require us to submit data on a greater number of patients than we originally anticipated and/or for a longer follow-up period or change the data collection requirements or data analysis applicable to our clinical trials. They may also require additional data on certain categories of patients, should it emerge during the conduct of our clinical trials that certain categories of patients are likely to be affected in different and/or additional manner than most of the patients. In addition to regulatory authority requirements, our clinical trial requires the approval of the institutional review board (“IRB”) at each site selected for participation in our clinical trial.
Additional delays to the completion of clinical studies may result from modifications being made to the protocol during the clinical trial, if such modifications are warranted and/or required by the occurrences in the given trial.
We may choose to make modifications to a clinical trial protocol during the clinical trial if such modifications are warranted and/or required by the occurrences in the trial. Each of such modifications has to be submitted to a regulatory authority. This could result in the delay or halt of a clinical trial while the modification is evaluated. In addition, depending on the magnitude and nature of the changes made, the regulatory authority could take the position that the data generated by the clinical trial cannot be pooled because the same protocol was not used throughout the trial. This might require the enrollment of additional subjects, which could result in the extension of the clinical trial and the FDA delaying clearance or approval of a product.
There can be no assurance that the data generated using modified protocols will be acceptable to regulators.
There can be no assurance that the data generated using modified protocols will be acceptable to the regulators or that if future modifications during the trial are necessary, any such modifications will be acceptable to regulators. If the regulators believe that prior approval is required for a particular modification, they can delay or halt a clinical trial while they evaluate additional information regarding the change.
If an adverse event occurs during a clinical trial, the regulators or an IRB may delay (clinical hold) or terminate the trial, which could adversely affect our business and prospects.
Serious injury or death resulting from a failure of one of our drug candidates during current or future clinical trials could result in the regulators delaying our clinical trials or denying or delaying clearance or approval of a product. Even though an adverse event may not be the result of the failure of our drug candidate, the regulators or an IRB could delay or
63
halt a clinical trial for an indefinite period of time while an adverse event is reviewed, and likely would do so in the event of multiple such events.
Any delay or termination of our current or future clinical trials as a result of the risks summarized above, including delays in obtaining or maintaining required approvals from IRBs, delays in patient enrollment, the failure of patients to continue to participate in a clinical trial, and delays or termination of clinical trials as a result of protocol modifications or adverse events during the trials, may cause an increase in costs and delays in the filing of any product submissions with the FDA, delay the approval and commercialization of our products or result in the failure of the clinical trial, which could adversely affect our business, operating results and prospects. Lengthy delays in the completion of clinical trials of our products would adversely affect our business and prospects and could cause us to cease operations.
Developments by competitors may establish standards of care that affect our ability to conduct our clinical trials as planned.
Changes in standards related to clinical trial design could affect our ability to design and conduct clinical trials as planned. For example, regulatory authorities may not allow us to compare our drug candidates to placebo in a particular clinical indication where approved products are available. In that case, both the cost and the amount of time required to conduct a clinical trial could increase.
Even if our products are approved by regulatory authorities, if we or our suppliers fail to comply with ongoing FDA regulation or if we experience unanticipated problems with our products, these products could be subject to restrictions or withdrawal from the market.
Any product for which we obtain clearance or approval, and the manufacturing processes, reporting requirements, post-approval clinical data and promotional activities for such product, will be subject to continued regulatory review, oversight and periodic inspections by the FDA. In particular, we and our suppliers are required to comply with the FDA’s Quality System Regulations (“QSR”), and International Standards Organization (“ISO”), regulations for the manufacture of our products and other regulations which cover the methods and documentation of the design, testing, production, control, quality assurance, labeling, packaging, storage and shipping of any product for which we obtain clearance or approval.
Regulatory bodies, such as the FDA, enforce these regulations through periodic inspections. The failure by us or one of our suppliers to comply with applicable statutes and regulations administered by the FDA and other regulatory bodies, or the failure to timely and adequately respond to any adverse inspectional observations or product safety issues could result in, among other things, enforcement actions by the FDA.
If any of these actions were to occur it would harm our reputation and cause our product sales and profitability to suffer and may prevent us from generating revenue. Furthermore, our key component suppliers may not currently be or may not continue to be in compliance with all applicable regulatory requirements which could result in our failure to produce our products on a timely basis and in the required quantities, if at all.
Even if regulatory clearance or approval of a product is granted, such clearance or approval may be subject to limitations on the intended uses for which the product may be marketed and reduce the potential to successfully commercialize the product and generate revenue from the product. If the FDA determines that the product promotional materials, labeling, training or other marketing or educational activities constitute promotion of an unapproved use, it could request that we or our commercialization partners cease or modify our training or promotional materials or subject us to regulatory enforcement actions. It is also possible that other federal, state or foreign enforcement authorities might take action if they consider such training or other promotional materials to constitute promotion of an unapproved use, which could result in significant fines or penalties under other statutory authorities, such as laws prohibiting false claims for reimbursement.
In addition, we may be required to conduct costly post-market testing and surveillance to monitor the safety or effectiveness of our products, and we must comply with adverse event and pharmacovigilance reporting requirements, including the reporting of adverse events which occur in connection with, and whether or not directly related to, our products. Later discovery of previously unknown problems with our products, including unanticipated adverse events or adverse
64
events of unanticipated severity or frequency, manufacturing problems, or failure to comply with regulatory requirements, may result in changes to labeling, restrictions on such products or manufacturing processes, withdrawal of the products from the market, voluntary or mandatory recalls, a requirement to recall, replace or refund the cost of any product we manufacture or distribute, fines, suspension of regulatory approvals, product seizures, injunctions or the imposition of civil or criminal penalties which would adversely affect our business, operating results and prospects.
Future government regulation may affect the commercialization of our product candidate.
We cannot predict the likelihood, nature or extent of adverse government regulation that may arise from future legislation or administrative action, either in the U.S. or abroad. If we are not able to maintain regulatory compliance, we may be subject to fines, suspension or withdrawal of regulatory approvals, product recalls, seizure of products, operating restrictions and criminal prosecution. Any of these events could prevent us from marketing our drugs and our business could suffer. If time and resources devoted are limited or there is a failure to fund the continued development of our drug candidates or there is otherwise a failure to perform as we expect to do, we may not achieve clinical and regulatory milestones and regulatory submissions and related product introductions may be delayed or prevented, and revenues that we would receive from these activities will be less than expected.
Conducting clinical trials of our drug candidates or commercial sales of a drug candidate may expose us to expensive product liability claims and we may not be able to maintain product liability insurance on reasonable terms or at all.
The risk of product liability is inherent in the testing of pharmaceutical products. If we cannot successfully defend ourselves against product liability claims, we may incur substantial liabilities or be required to limit or terminate testing of one or more of our drug candidates. Our inability to obtain sufficient product liability insurance at an acceptable cost to protect against product liability claims could prevent or inhibit the commercialization of our drug candidates. We currently carry clinical trial insurance but do not carry product liability insurance. If we successfully commercialize one or more of our drug candidates, we may face product liability claims, regardless of FDA approval for commercial manufacturing and sale. We may not be able to obtain such insurance at a reasonable cost, if at all. Even if our agreements with any current or future corporate collaborators entitle us to indemnification against product liability losses, such indemnification may not be available or adequate should any claim arise.
The use of a controlled substance in our NRX-100 drug candidate subjects us to DEA scrutiny and compliance, which may result in additional expense and clinical delays.
The U.S. Drug Enforcement Administration (“DEA”) regulates chemical compounds as Schedule I, II, III, IV or V substances, with Schedule I substances considered to present the highest risk of substance abuse and Schedule V substances the lowest risk. One of the ingredients in NRX-100 is ketamine, a Schedule III controlled substance with high abuse potential. Consequently, the manufacture, research, shipment, storage, sale and use of this drug candidate is subject to a high degree of oversight and regulation. None of our other drugs currently under development, including NRX-101, include a scheduled chemical compound.
DEA oversight and regulation can have the following impact on our efforts to develop new drug candidates:
| • | interference with, or limits on, the supply of the drugs used in clinical trials for our product candidates, and, in the future, the ability to produce and distribute our products in the volume needed to meet commercial demand; |
| • | the FDA provides recommendations to DEA as to whether a drug should be scheduled as a controlled substance and the appropriate level of control; if DEA scheduling is required, a drug product may not be marketed until the scheduling process is completed, which could delay the launch of the product; |
| • | depending on the Schedule, drug products may be subject to registration, security, recordkeeping, reporting, storage, distribution, importation, exportation, inventory, quota and other requirements administered by the DEA, which are directly applicable to product applicants, contract manufacturers, distributors, prescribers and dispensers of controlled substances; and |
| • | the DEA regulates the handling of controlled substances through a closed chain of distribution. This control extends to the equipment and raw materials used in their manufacture and packaging in order to prevent loss and |
65
| diversion into illicit channels of commerce, which limits our ability to increase the availability of any controlled substances needed for clinical trials or commercial manufacturing. |
Annual registration is required for any facility that manufactures, distributes, dispenses, imports or exports any controlled substance. The registration is specific to the particular location, activity and controlled substance schedule. For example, separate registrations are needed for import and manufacturing, and each registration will specify which schedules of controlled substances are authorized. Similarly, separate registrations are also required for separate facilities.
There are substantial penalties for failing to comply with DEA regulations.
The DEA typically inspects a facility to review its security measures prior to issuing a registration and on a periodic basis. Security requirements vary by controlled substance schedule, with the most stringent requirements applying to Schedule I and Schedule II substances. However, records must be maintained for the handling of all controlled substances, and periodic reports may be required to be made to the DEA for the distribution of certain controlled substances. Reports must also be made for thefts or significant losses of any controlled substance. To enforce these requirements, the DEA conducts periodic inspections of registered establishments that handle controlled substances. Failure to maintain compliance with applicable requirements, particularly as manifested in loss or diversion, can result in administrative, civil or criminal enforcement. The DEA may seek civil penalties, refuse to renew necessary registrations, or initiate administrative proceedings to revoke those registrations. In some circumstances, violations could result in criminal proceedings or consent decrees. Individual states also independently regulate controlled substances.
There are limitations on the availability of controlled substances used in NRX-100 that may limit the availability of the active ingredients for this drug product.
The DEA limits the availability and production of all scheduled substances, including ketamine, through a quota system. The DEA requires substantial evidence and documentation of expected legitimate medical and scientific needs before assigning quotas to manufacturers. In future years, we may need greater amounts of controlled substances to sustain our Phase IIb/III development program for NRX-101 after stabilization with NRX-100, and we will need significantly greater amounts to implement our commercialization plans if the FDA approves our proposed formulations. Any delay or refusal by the DEA in establishing the procurement quota or a reduction in our quota for scheduled controlled substances or a failure to increase it over time as we anticipate could delay or stop the clinical development or commercial sale of some of our products or product candidates. This could have a material adverse effect on our business, results of operations, financial condition and prospects.
We may not be able to demonstrate the reduced risk we believe is applicable.
Schedule III drugs have lower abuse potential than Schedule I and II drugs. However, despite the foregoing reduced risk of abuse from Schedule III drugs, when compared to Schedule II drugs, there is no assurance that such reduced risk can be demonstrated in well controlled non-clinical and/or clinical studies in models of physical dependence, psychic dependence, addiction or precipitated withdrawal, or in studies of addiction or abuse liability in addicts, ex-addicts or recreational drug users. In the event that a reduced risk of abuse from Schedule III drugs, when compared to Schedule II drugs, is demonstrated in well controlled non- clinical and/or clinical studies, there is no assurance that the FDA will agree to incorporation of such favorable language in the products prescribing information.
The use of controlled substances in our product candidates may generate controversy.
Products containing controlled substances may generate public controversy. Opponents of these products may seek restrictions on marketing and withdrawal of any regulatory approvals. In addition, these opponents may seek to generate negative publicity and media stories in an effort to persuade the medical community to reject these products. Political pressures and adverse publicity could lead to additional regulatory hurdles, delays in, increased expenses for, and limit or restrict the introduction and marketing of, our product candidates.
66
We may need to focus our future efforts in new therapeutic areas where we have little or no experience.
Although our primary strategic interests are in the areas of depression therapies, NRX-101 has potential benefits in other therapeutic areas. If our drug development efforts in bipolar depression fails, or if the competitive landscape or investment climate for antidepressant drug development therapies is less attractive, we may need to change our strategic focus to include development of our product candidates, or of newly acquired product candidates, for therapeutic areas other than depression. We have very limited drug development experience in other therapeutic areas and we may be unsuccessful in making this change to a company with a focus in areas other than depression or a company with a focus in multiple therapeutic areas including depression.
Some of our products for clinical trials may be manufactured outside the U.S.
Currently, our new clinical trial supplies for NRX-101 are being manufactured in the U.S., though some supplies are sourced from outside the U.S. Switching or adding manufacturing capability outside the U.S. can involve substantial cost and require extensive management time and focus, additional regulatory filings and compliance with import/ export regulations. In addition, there is a natural transition period when a new manufacturing facility commences work. As a result, delays may occur, which can materially impact our ability to meet our desired timelines, thereby increasing our costs and reducing our ability to generate revenue.
Modifications to our products may require new NDA approvals.
Once a particular company product receives FDA approval or clearance, expanded uses or uses in new indications of our products may require additional human clinical trials and new regulatory approvals or clearances, including additional IND and NDA submissions and premarket approvals before we can begin clinical development, and/or prior to marketing and sales. If the FDA requires new clearances or approvals for a particular use or indication, we may be required to conduct additional clinical studies, which would require additional expenditures and negatively impact our operating results. If the products are already being used for these new indications, we may also be subject to significant enforcement actions.
Conducting clinical trials and obtaining clearances and approvals can be a time-consuming process, and delays in obtaining required future clearances or approvals could adversely affect our ability to introduce new or enhanced products in a timely manner, which in turn would harm our future growth.
Some of our other product candidates will require Risk Evaluation and Mitigation Strategies.
The FDA Amendments Act of 2007 implemented safety-related changes to product labeling and requires the adoption of REMS. Some of our product candidates, including the controlled substance-based products and potentially others, will require REMS. The REMS may include requirements for special labeling or medication guides for patients, special communication plans to health care professionals and restrictions on distribution and use.
We cannot predict the specific REMS to be required as part of the FDA’s approval of any of our products. Depending on the extent of the REMS requirements, our costs to commercialize our products may increase significantly. Furthermore, controlled substances risks that are not adequately addressed through proposed REMS for our product candidates may also prevent or delay their approval for commercialization.
We are reliant on third party manufacturers to produce controlled substances that conform to our specifications and the FDA’s strict regulatory requirements.
The facilities of any of our future manufacturers of controlled substances must be approved by the FDA after we submit our NDA and before approval. We are dependent on the continued adherence of third-party manufacturers to cGMP manufacturing. If our manufacturers cannot successfully produce material that conforms to our specifications and the FDA’s strict regulatory requirements, they will not be able to secure FDA approval for their manufacturing facilities. If the FDA does not approve these facilities for the commercial manufacture, we will need to find alternative suppliers, which would
67
result in significant delays in obtaining FDA approvals. These challenges may have a material adverse impact on our business, results of operations, financial condition and prospects.
Risks Related to Intellectual Property
Our business relies on certain licensing rights that can be terminated in certain circumstances.
Our ability to continue to develop our product candidates is dependent on the use of certain intellectual property that is licensed to us, or in the process of being licensed to us, by third parties. These licenses are granted, or being granted, pursuant to agreements setting forth certain terms and condition for maintaining such licenses. In the event that the terms and conditions are not met, the licenses are at risk of being revoked and the granting process may be terminated. The primary license agreements include the Development and License Agreement, as amended, between Glytech LLC (“Glytech”) and NeuroRx (the “Glytech DLA”) and the Exclusive License Agreement, dated as of April 16, 2019, by and between NeuroRx and Sarah Herzog Memorial Hospital Ezrat Nashim.
We may require additional licensing rights in the future, which may not be attainable.
Our ability to fully develop the full commercial potential of our product candidates may require us to acquire additional licensing rights from third parties in the future. There are no assurances that such rights will be available in the market when required, or that an agreement could be reached to license such rights from a third party on terms acceptable to us.
We may not succeed at in-licensing drug candidates or technologies to expand our product pipeline.
We may not be able to successfully in-license (i.e., licensing of patent technology or know-how developed by a third party in lieu of developing the technology ourselves) drug candidates or technologies to expand our product pipeline. The number of such candidates and technologies is limited. Competition among large pharmaceutical companies and biopharmaceutical companies for promising drug candidates and technologies is intense because such companies generally desire to expand their product pipelines through in- licensing. If we are unable to carry out such in-licensing and expand our product pipeline, our potential future revenues may suffer.
Our business depends upon securing and protecting critical intellectual property.
Our commercial success will depend in part on our obtaining and maintaining patent, trade secret, copyright and trademark protection of our technologies in the U.S. and other jurisdictions as well as successfully enforcing this intellectual property and defending this intellectual property against third-party challenges. We will only be able to protect our technologies from unauthorized use by third parties to the extent that valid and enforceable intellectual property protection, such as patents or trade secrets, cover them. In particular, we place considerable emphasis on obtaining patent and trade secret protection for significant new technologies, products and processes. Furthermore, the degree of future protection of our proprietary rights is uncertain because legal means afford only limited protection and may not adequately protect our rights or permit us to gain or keep our competitive advantage. Moreover, the degree of future protection of our proprietary rights is uncertain for products that are currently in the early stages of development because we cannot predict which of these products will ultimately reach the commercial market or whether the commercial versions of these products will incorporate proprietary technologies.
Our patent position is highly uncertain and involves complex legal and factual questions.
Our patent position is highly uncertain and involves complex legal and factual questions. Accordingly, we cannot predict the breadth of claims that may be allowed or enforced in our patents or in third-party patents. For example, we or our licensors might not have been the first to make the inventions covered by each of our pending patent applications and issued patents; we or our licensors might not have been the first to file patent applications for these inventions; others may independently develop similar or alternative technologies or duplicate any of our technologies; it is possible that none of our pending patent applications or the pending patent applications of our licensors will result in issued patents; our issued patents and issued patents of our licensors may not provide a basis for commercially viable technologies, or may not provide us with any
68
competitive advantages, or may be challenged and invalidated by third parties; and, we may not develop additional proprietary technologies that are patentable.
As a result, the validity of our owned and licensed patents may be challenged and we may not be able to obtain and enforce patents and to maintain trade secret protection for the full commercial extent of our technology. The extent to which we are unable to do so could materially harm our business.
We or our licensors have applied for and will continue to apply for patents for certain products. Such applications may not result in the issuance of any patents, and any patents now held or that may be issued may not provide us with adequate protection from competition. Furthermore, it is possible that patents issued or licensed to us may be challenged successfully. In that event, if we have a preferred competitive position because of such patents, any preferred position held by us would be lost. If we are unable to secure or to continue to maintain a preferred position, we could become subject to competition from the sale of generic products. Failure to receive, inability to protect, or expiration of our patents would adversely affect our business and operations.
Patents issued or licensed to us may be infringed by the products or processes of others. The cost of enforcing our patent rights against infringers, if such enforcement is required, could be significant, and we do not currently have the financial resources to fund such litigation. Further, such litigation can go on for years and the time demands could interfere with our normal operations and may absorb significant management time. There has been substantial litigation and other proceedings regarding patent and other intellectual property rights in the pharmaceutical industry. We may become a party to patent litigation and other proceedings. The cost to us of any patent litigation, even if resolved in our favor, could be substantial. Some of our competitors may be able to sustain the costs of such litigation more effectively than we can because of their substantially greater financial resources.
Unpatented trade secrets, improvements, confidential know-how and continuing technological innovation are important to our scientific and commercial success. Although we attempt to and will continue to attempt to protect our proprietary information through reliance on trade secret laws and the use of confidentiality agreements with our corporate partners, collaborators, employees and consultants and other appropriate means, these measures may not effectively prevent disclosure of our proprietary information, and, in any event, others may develop independently, or obtain access to, the same or similar information.
If we are found to be infringing on patents or trade secrets owned by others, we may be forced to cease or alter our product development efforts, obtain a license to continue the development or sale of our products, and/or pay damages.
Our manufacturing processes and potential products may violate proprietary rights of patents that have been or may be granted to competitors, universities or others, or the trade secrets of those persons and entities. As the pharmaceutical industry expands and more patents are issued, the risk increases that our processes and potential products may give rise to claims that they infringe the patents or trade secrets of others. These other persons could bring legal actions against us claiming damages and seeking to enjoin clinical testing, manufacturing and marketing of the affected product or process. If any of these actions are successful, in addition to any potential liability for damages, we could be required to obtain a license in order to continue to conduct clinical tests, manufacture or market the affected product or use the affected process. Required licenses may not be available on acceptable terms, if at all, and the results of litigation are uncertain. If we become involved in litigation or other proceedings, it could consume a substantial portion of our financial resources and the efforts of our personnel.
Our ability to protect and enforce our patents does not guaranty that we will secure the right to commercialize our patents.
A patent is a limited exclusionary right conferred upon an inventor, and his successors in title, in return for the making and disclosing of a new and non-obvious invention. This exclusionary right is of limited duration but, while in force, allows the patent holder to prevent others from making and/or using his invention. While a patent gives the holder this right to exclude others, it is not an authorization to commercialize the invention, where other permissions may be required for permissible commercialization to occur. For example, a drug cannot be marketed without the appropriate authorization from
69
the FDA, regardless of the existence of a patent covering the product. Further, the invention, even if patented itself, may not be able to be successfully commercialized if it infringes the valid patent rights of another party.
We rely on confidentiality agreements to protect our trade secrets. If these agreements are breached by our employees or other parties, our trade secrets may become known to our competitors.
We rely on trade secrets that we seek to protect through confidentiality agreements with our employees and other parties. If these agreements are breached, our competitors may obtain and use our trade secrets to gain a competitive advantage over us. We may not have any remedies against our competitors and any remedies that may be available to us may not be adequate to protect our business or compensate us for the damaging disclosure. In addition, we may have to expend resources to protect our interests from possible infringement by others.
If we are unable to obtain the statutory patent extension related to the review time in the U.S., we may need to rely on the 3-year Hatch-Waxman Act marketing exclusivity, the six-month pediatric exclusivity, any approved Orphan Drug exclusivities, potential future formulation patents and up to ten years of data exclusivity in Europe. See “Risks Related to Clinical and Regulatory Matters — We may not be able to obtain Hatch-Waxman Act marketing exclusivity or equivalent regulatory data exclusivity protection in other jurisdictions for our products.”
We may not receive royalty or milestone revenue relating to our product candidates under our collaboration and future license agreements for several years, or at all.
We expect that our future collaboration agreements and future license agreements relating to our product candidates will provide for payments on achievement of development or commercialization milestones and for royalties on product sales. However, because none of our drug candidates has been approved for commercial sale, many of our drug candidates are at early stages of development and drug development entails a high risk of failure, we may never realize much of the milestone revenue provided for in our future collaboration and future license agreements and we do not expect to receive any royalty revenue for several years, if at all. Similarly, drugs we select to commercialize ourselves, or partner for later stage co-development and commercialization, may not generate revenue for several years, or at all.
Risks Related to Our Reliance on Third Parties
We do not have direct control of third parties performing preclinical and clinical trials.
We may depend on independent investigators and collaborators, such as universities and medical institutions, to conduct our preclinical and clinical trials under agreements with us. These investigators and collaborators are not our employees, and we cannot control the amount or timing of resources that they devote to our programs. They may not assign as great a priority to our programs or pursue them as diligently as we would if we were undertaking such activities ourselves. If these investigators or collaborators fail to devote sufficient time and resources to our drug development programs, or if their performance is substandard, the approval of our regulatory submissions and our introductions of new drugs will be delayed or prevented.
Our potential collaborators may also have relationships with other commercial entities, some of which may compete with us. If outside collaborators assist our competitors to our detriment, the approval of our regulatory submissions will be delayed and the sales from our products, if any are commercialized, will be less than expected.
If the third parties on which we rely to conduct our clinical trials and to assist us with pre-clinical development do not perform as contractually required or expected, we may not be able to obtain regulatory approval for or commercialize our products.
We do not have the ability to independently conduct all the pre-clinical and clinical trials for our products and we must rely on third parties, such as contract research organizations, medical institutions, clinical investigators and contract laboratories to conduct such trials. If these third parties do not successfully carry out their contractual duties or regulatory obligations or meet expected deadlines, if these third parties need to be replaced, or if the quality or accuracy of the data they obtain is compromised due to the failure to adhere to our clinical protocols or regulatory requirements or for other reasons, our pre-clinical development activities or clinical trials may be extended, delayed, suspended or terminated, and
70
we may not be able to obtain regulatory approval for, or successfully commercialize, our products on a timely basis, if at all, and our business, operating results and prospects may be adversely affected. Furthermore, our third-party clinical trial investigators may be delayed in conducting our clinical trials for reasons outside of their control.
We have no manufacturing capabilities and depend on other parties for our manufacturing operations. If these manufacturers fail to meet our requirements and strict regulatory requirements, our product development and commercialization efforts may be materially harmed.
We currently depend on contract manufacturers. We plan to enter into long-term commercial supply agreements for our product candidates. If any manufacturer is unable to produce required quantities on a timely basis or at all, our operations would be delayed and our business harmed. Our reliance on contract manufacturers exposes us to additional risks, including:
| • | failure of our future manufacturers to comply with strictly-enforced regulatory requirements; |
| • | failure to manufacture to our specifications, or to deliver sufficient quantities in a timely manner; |
| • | the possibility that we may terminate a contract manufacturer and need to engage a replacement; |
| • | the possibility that our future manufacturers may not be able to manufacture our product candidates and products without infringing the intellectual property rights of others; |
| • | the possibility that our future manufacturers may not have adequate intellectual property rights to provide for exclusivity and prevent competition; and |
| • | insufficiency of intellectual property rights to any improvements in the manufacturing processes or new manufacturing processes for our products. |
Any of these factors could result in significant delay or suspension of our clinical trials, regulatory submissions, receipt of required approvals or commercialization of our products and harm our business. If we are not able to secure favorable arrangements with such third parties, our business and financial condition could be harmed.
We must enter into agreements with, and depend upon, one or more partners to assist us in commercializing our product candidates.
Our ability to commercialize depends upon our continued ability to purchase raw materials from suppliers, our ability to arrange manufacture at contract manufacturers, our ability to deploy commercial sales force via third party partnerships, and our ability to manage shipping and logistics. Any collaboration agreement we enter into may contain unfavorable terms, for example, with respect to product candidates covered, control over decisions and responsibilities, termination rights, payment, and other significant terms.
Our ability to receive any significant revenue from our product candidates covered by the collaboration agreement will be dependent on the efforts of our collaboration partner and may result in lower levels of income to us than if we marketed our product candidates entirely on our own. The collaboration partner may not fulfill its obligations or commercialize our product candidates as quickly as we would like. Even if the collaboration partner performs well, there is no assurance that our proposed products will achieve acceptance by patients, health care providers and insurance companies.
We could also become involved in disputes with our partner, which could lead to delays in or termination of our commercialization programs and time-consuming and expensive litigation or arbitration. If a collaboration partner terminates or breaches its agreement with us, or otherwise fails to complete its obligations in a timely manner, the chances of successfully developing or commercializing our product candidates would be materially and adversely affected.
Additionally, depending upon the collaboration partner that we choose, other companies that might otherwise be interested in developing products with us could be less inclined to do so because of our relationship with the collaboration partner. If our ability to work with present or future strategic partners or collaborators is adversely affected as a result of our collaboration agreement, our business prospects may be limited, and our financial condition may be adversely affected.
71
Upon commercialization of our products, we may be dependent on third parties to market, distribute and sell our products. If we are not successful in contracting with third parties for these services on favorable terms, or at all, our product revenues could be disappointing.
We have no experience selling, marketing or distributing products and no internal capability to do so. In order to commercialize our products, if any are approved by the FDA, we will either have to develop such capabilities internally or collaborate with third parties who can perform these services for us. If we decide to commercialize any of our drugs ourselves, we may not be able to hire the necessary experienced personnel and build sales, marketing and distribution operations which are capable of successfully launching new drugs and generating sufficient product revenues. In addition, establishing such operations will take time and involve significant expense.
If we decide to enter into new co-promotion or other licensing arrangements with third parties, we may be unable to locate acceptable collaborators because the number of potential collaborators is limited and because of competition from others for similar alliances with potential collaborators. Even if we are able to identify one or more acceptable new collaborators, we may not be able to enter into any collaborative arrangements on favorable terms, or at all.
In addition, any revenues we receive would depend upon our collaborators’ efforts which may not be adequate due to lack of attention or resource commitments, management turnover, change of strategic focus, business combinations or other factors outside of our control. Depending upon the terms of our collaboration, the remedies we have against an under-performing collaborator may be limited. If we were to terminate the relationship, it may be difficult or impossible to find a replacement collaborator on acceptable terms, or at all.
Risks Related to Ownership of Our Common Stock
Our issuance of additional shares of Common Stock or convertible securities could make it difficult for another company to acquire us, may dilute your ownership of us and could adversely affect our stock price.
From time to time in the future, we may issue additional shares of our Common Stock or securities convertible into Common Stock pursuant to a variety of transactions, including acquisitions. The issuance by us of additional shares of our Common Stock or securities convertible into our Common Stock would dilute your ownership of us and the sale of a significant amount of such shares in the public market could adversely affect prevailing market prices of our Common Stock.
In the future, we expect to obtain financing or to further increase our capital resources by issuing additional shares of our capital stock or offering debt or other equity securities, including senior or subordinated notes, debt securities convertible into equity, or shares of preferred stock. Issuing additional shares of our capital stock, other equity securities, or securities convertible into equity may dilute the economic and voting rights of our existing stockholders, reduce the market price of our Common Stock, or both.
Debt securities convertible into equity could be subject to adjustments in the conversion ratio pursuant to which certain events may increase the number of equity securities issuable upon conversion. Preferred stock, if issued, could have a preference with respect to liquidating distributions or a preference with respect to dividend payments that could limit our ability to pay dividends to the holders of our Common Stock. Our decision to issue securities in any future offering will depend on market conditions and other factors beyond our control, which may adversely affect the amount, timing or nature of our future offerings. As a result, holders of our common stock bear the risk that our future offerings may reduce the market price of our Common Stock and dilute their percentage ownership. See the “Description of Capital Stock” section of this annual report.
Future sales, or the perception of future sales, of our Common Stock by us or our existing stockholders in the public market could cause the market price for our Common Stock to decline.
The sale of substantial amounts of shares of our Common Stock in the public market, or the perception that such sales could occur, could harm the prevailing market price of shares of our Common Stock. These sales, or the possibility that
72
these sales may occur, also might make it more difficult for us to sell equity securities in the future at a time and at a price that we deem appropriate.
In addition, the shares of Common Stock reserved for future issuance under the NRx 2021 Omnibus Incentive Plan (the “Incentive Plan”) are eligible for sale in the public market once those shares are issued, subject to provisions relating to various vesting agreements, lock-up agreements and, in some cases, limitations on volume and manner of sale applicable to affiliates under Rule 144 of the Exchange Act, as applicable. The original number of shares reserved for future issuance under the Incentive Plan was 5,373,394. In addition, the Incentive Plan includes an evergreen feature that will allow our Board, in its sole discretion, to reserve additional shares of Common Stock for future issuance under the Incentive Plan each calendar year, beginning January 1, 2022 and ending on and including January 1, 2031, equal to the lesser of (A) 1% of the shares of Common Stock outstanding on the final day of the immediately preceding calendar year or (B) a smaller number of shares determined by the Board.
Accordingly, our stockholders and the holders of insider shares may sell large amounts of Common Stock or warrants in the open market or in privately negotiated transactions when permitted, which could have the effect of increasing the volatility in the trading price of the Common Stock or the warrants or putting significant downward pressure on the price of the Common Stock or the warrants.
Further, sales of Common Stock or warrants upon expiration of any applicable lockup periods could encourage short sales of our Common Stock or warrants by market participants. Generally, short selling means selling a security, contract or commodity not owned by the seller. The seller is committed to eventually purchase the financial instrument previously sold. Short sales are used to capitalize on an expected decline in the security’s price. Short sales of our Common Stock or warrants could have a tendency to depress the price of our Common Stock or warrants, respectively, which could increase the potential for short sales.
We cannot predict the size of future issuances of our Common Stock or warrants or the effect, if any, that future issuances and sales of shares of our Common Stock or warrants will have on the market price of our Common Stock or warrants. Sales of substantial amounts of Common Stock, or the perception that such sales could occur, may adversely affect prevailing market prices of our Common Stock or warrants.
We qualify as a “smaller reporting company” within the meaning of the Securities Act, and if we take advantage of certain exemptions from disclosure requirements available to smaller reporting companies, it could make our securities less attractive to investors and may make it more difficult to compare our performance to the performance of other public companies.
We qualify as a “smaller reporting company” as defined in Item 10(f)(1) of Regulation S-K. Smaller reporting companies may take advantage of certain reduced disclosure obligations, including, among other things, providing only two (2) years of audited financial statements. We will remain a smaller reporting company until the last day of the fiscal year in which (i) the market value of our Common Stock held by non-affiliates exceeds $250 million as of the end of that year’s second fiscal quarter, or (ii) our annual revenues exceeded $100 million during such completed fiscal year and the market value of our Common Stock held by non-affiliates exceeds $700 million as of the end of that year’s second fiscal quarter. To the extent we take advantage of such reduced disclosure obligations, it may also make comparison of our financial statements with other public companies difficult or impossible.
Anti-takeover provisions in our governing documents and under Delaware law could make an acquisition of us more difficult, limit attempts by our stockholders to replace or remove our current management and limit the market price of our Common Stock.
The Charter, the Bylaws and DGCL contain provisions that could have the effect of rendering more difficult, delaying, or preventing an acquisition deemed undesirable by our Board. Among other things, the Charter and/or the Bylaws include the following provisions:
73
| • | a staggered board, which means that our Board is classified into three classes of directors with staggered three-year terms and directors are only able to be removed from office for cause; |
| • | limitations on convening special stockholder meetings, which could make it difficult for our stockholders to adopt desired governance changes; |
| • | a prohibition on stockholder action by written consent, which means that our stockholders will only be able to take action at a meeting of stockholders; |
| • | a forum selection clause, which means certain litigation against us can only be brought in Delaware; |
| • | the authorization of undesignated preferred stock, the terms of which may be established and shares of which may be issued without further action by our stockholders; and |
| • | advance notice procedures, which apply for stockholders to nominate candidates for election as directors or to bring matters before an annual meeting of stockholders. |
These provisions, alone or together, could delay or prevent hostile takeovers and changes in control or changes in our management. We have elected in the Charter not to be subject to Section 203 of the DGCL, which prevents interested stockholders, such as certain stockholders holding more than 15% of our outstanding Common Stock, from engaging in certain business combinations unless (i) prior to the time such stockholder became an interested stockholder, the Board approved the transaction that resulted in such stockholder becoming an interested stockholder, (ii) upon consummation of the transaction that resulted in such stockholder becoming an interested stockholder, the interested stockholder owned at least 85% of the Common Stock, or (iii) following board approval, such business combination receives the approval of the holders of at least two-thirds of our outstanding Common Stock not held by such interested stockholder at an annual or special meeting of stockholders. However, the Charter contains provisions that have the same effect as Section 203 of the DGCL, except they provide that Jonathan Javitt and Daniel Javitt and their respective affiliates will not be deemed to be “interested stockholders” regardless of the percentage of Common Stock owned by them and, accordingly, will not be subject to such restrictions.
Any provision of the Charter, the Bylaws or DGCL that has the effect of delaying, preventing or deterring a change in control could limit the opportunity for our stockholders to receive a premium for their shares of our Common Stock and could also affect the price that some investors are willing to pay for our Common Stock.
The Charter and the Bylaws provide that the Court of Chancery of the State of Delaware will be the sole and exclusive forum for substantially all disputes between us and our stockholders, which could limit our stockholders’ ability to obtain a favorable judicial forum for disputes with us or our directors, officers, or employees.
The Charter and the Bylaws provide that, unless we consent in writing to the selection of an alternative forum, the (a) Court of Chancery of the State of Delaware (the “Chancery Court”) (or, in the event that the Chancery Court does not have jurisdiction, the federal district court for the District of Delaware or other state courts of the State of Delaware) shall, to the fullest extent permitted by law, be the sole and exclusive forum for: (i) any derivative action, suit or proceeding brought on our behalf; (ii) any action, suit or proceeding asserting a claim of breach of fiduciary duty owed by any of our directors, officers, or stockholders to us or to our stockholders; (iii) any action, suit or proceeding asserting a claim arising pursuant to the DGCL, the Charter or the Bylaws; or (iv) any action, suit or proceeding asserting a claim governed by the internal affairs doctrine; and (b) subject to the foregoing, the federal district courts of the U.S. shall be the exclusive forum for the resolution of any complaint asserting a cause of action arising under the Securities Act. Notwithstanding the foregoing, such forum selection provisions shall not apply to suits brought to enforce any liability or duty created by the Exchange Act or any other claim for which the federal courts of the U.S. have exclusive jurisdiction. The choice of forum provision may limit a stockholder’s ability to bring a claim in a judicial forum that it finds favorable for disputes with us or our directors, officers, or other employees, which may discourage such lawsuits against us and our directors, officers, and other employees. Alternatively, if a court were to find the choice of forum provision contained in the Charter to be inapplicable or unenforceable in an action, we may incur additional costs associated with resolving such action in other jurisdictions, which could harm our business, results of operations, and financial condition.
Additionally, Section 22 of the Securities Act creates concurrent jurisdiction for federal and state courts over all suits brought to enforce any duty or liability created by the Securities Act or the rules and regulations thereunder. As noted above,
74
the Charter and the Bylaws will provide that the federal district courts of the U.S. shall have jurisdiction over any action arising under the Securities Act.
Accordingly, there is uncertainty as to whether a court would enforce such provision. Our stockholders will not be deemed to have waived our compliance with the federal securities laws and the rules and regulations thereunder.
Certain of our stockholders have effective control of NRx, and their interests may conflict with NRx’s or yours in the future.
Jonathan Javitt and Daniel Javitt beneficially own approximately 20.2% and 13.4% of the outstanding shares of Common Stock, respectively. For so long as Jonathan Javitt and Daniel Javitt continue to own a significant percentage of Common Stock, Jonathan Javitt and Daniel Javitt will still be able to significantly influence the composition of our Board and the approval of actions requiring stockholder approval. Accordingly, for such period of time, Jonathan Javitt and Daniel Javitt will have significant influence with respect to our management, business plans and policies. In particular, for so long as Jonathan Javitt and Daniel Javitt continue to own a significant percentage of Common Stock, Jonathan Javitt and Daniel Javitt will be able to influence the composition of our Board and could preclude any unsolicited acquisition of NRx. The concentration of ownership could deprive you of an opportunity to receive a premium for your shares of Common Stock as part of a sale of NRx and ultimately might affect the market price of Common Stock. So long as Jonathan Javitt and Daniel Javitt continue to own a significant amount of our combined voting power, even if such amount is less than 50%, Jonathan Javitt and Daniel Javitt will continue to be able to strongly influence or effectively control our decisions.
Notwithstanding Jonathan Javitt’s and Daniel Javitt’s substantial influence over NRx, we may from time to time enter into transactions with Jonathan Javitt and Daniel Javitt and their respective affiliates, or enter into transactions in which Jonathan Javitt and Daniel Javitt or their respective affiliates otherwise have a direct or indirect material interest. We have adopted a formal written policy for the review and approval of transactions with related persons. A description of the policy we adopted with respect to the approval or ratification of transactions in which related persons, such as Jonathan Javitt and Daniel Javitt and their respective affiliates, have a direct or indirect material interest is included in this annual report. For more information, see “Certain Relationships and Related Party Transactions” section of this annual report.
Our Charter will not prevent Jonathan Javitt and Daniel Javitt and their respective affiliates from engaging in business activities which compete with us or otherwise conflict with our interests.
Although Jonathan Javitt and Daniel Javitt are precluded from engaging, directly or indirectly, in the same business activities or similar business activities or lines of business in which our Company operates based on Jonathan Javitt’s prior employment contract and current consulting contract with us and the Glytech DLA, respectively, our Charter provides that none of Jonathan Javitt and Daniel Javitt or their respective affiliates will have any duty to refrain from engaging, directly or indirectly, in the same business activities or similar business activities or lines of business in which NRx operates. Jonathan Javitt and Daniel Javitt also may pursue corporate opportunities that may be complementary to our business and, as a result, those corporate opportunities may not be available to us.
We are no longer a “controlled company” under the corporate governance rules of Nasdaq. However, we continue to rely on an exception in the listing requirements to allow a non-independent director to sit on the Nominating and Governance Committee.
Previously, Jonathan Javitt and Daniel Javitt controlled the votes of the majority of our Common Stock. As a result, we were a “controlled company” for purposes of the Nasdaq corporate governance rules and were exempt from certain governance requirements otherwise required by Nasdaq, including requirements that we have a nominating and corporate governance committee that is composed entirely of independent directors with a written charter addressing the committee’s purpose and responsibilities.
We are no longer a “controlled company” under the corporate governance rules of Nasdaq. Under the Nasdaq listing requirements, a company that ceases to be a “controlled company” must comply with the independent board committee
75
requirements as they relate to the nominating and corporate governance. However, we continue to rely on Rule 5605(e)(3), which permits that one director, who is not an independent director and is not currently an executive officer or employee of the Company, may be appointed to the nominating and governance committee if the board, under exceptional and limited circumstances, determines that such individual's membership on the committee is required by the best interests of the Company and its Shareholders. Jonathan Javitt, who is not an independent director, continues to serve on the Company’s nominating and corporate governance committee because the Board has determined that his unique experience and qualifications as a scientist and a co-founder of the Company are beneficial to the Company. Until we are fully subject to the listing requirements, however, our stockholders will not have the same protections afforded to stockholders of companies that are subject to all of the corporate governance requirements of Nasdaq.
General Risk Factors
Our Common Stock price may be volatile or may decline regardless of our operating performance. You may lose some or all of your investment.
The trading price of our Common Stock is likely to be volatile. The stock market recently has experienced extreme volatility. This volatility often has been unrelated or disproportionate to the operating performance of particular companies. You may not be able to resell your shares at an attractive price due to a number of factors such as those listed in “— Risks Related to Our Business and Industry” and the following:
| • | the impact of a resurgence of the COVID-19 pandemic on our financial condition and the results of operations; |
| • | our operating and financial performance and prospects; |
| • | our quarterly or annual earnings or those of other companies in our industry compared to market expectations; |
| • | conditions that impact demand for our products; |
| • | future announcements concerning our business, our product users’ businesses or our competitors’ businesses; |
| • | the public’s reaction to our press releases, other public announcements and filings with the SEC; |
| • | the size of our public float; |
| • | coverage by or changes in financial estimates by securities analysts or failure to meet their expectations; |
| • | market and industry perception of our success, or lack thereof, in pursuing our growth strategy; |
| • | strategic actions by us or our competitors, such as acquisitions or restructurings; |
| • | changes in laws or regulations which adversely affect our industry or us; |
| • | changes in accounting standards, policies, guidance, interpretations or principles; |
| • | changes in senior management or key personnel; |
| • | issuances, exchanges or sales, or expected issuances, exchanges or sales of our capital stock; |
| • | changes in our dividend policy; |
| • | adverse resolution of new or pending litigation against us; and |
| • | changes in general market, economic and political conditions in the U.S. and global economies or financial markets, including those resulting from natural disasters, terrorist attacks, acts of war and responses to such events. |
These broad market and industry factors may materially reduce the market price of our Common Stock, regardless of our operating performance. In addition, price volatility may be greater if the public float and trading volume of our Common Stock is low. As a result, you may suffer a loss on your investment.
Securities litigation could have a substantial cost and divert resources and the attention of executive management from our business regardless of the outcome of such litigation.
76
If securities analysts do not publish research or reports about us, or if they issue unfavorable commentary about us or our industry or downgrade our Common Stock, the price of our Common Stock could decline.
The trading market for our Common Stock will depend in part on the research and reports that third-party securities analysts publish about us and the industries in which we operate. We may be unable, or slow, to attract and maintain research coverage and if one or more analysts cease coverage of us, the price and trading volume of our securities would likely be negatively impacted. If any of the analysts that may cover us change their recommendation regarding our securities adversely, or provide more favorable relative recommendations about our competitors, the price of our securities would likely decline. If any analyst that may cover us ceases covering us or fails to regularly publish reports on us, we could lose visibility in the financial markets, which could cause the price or trading volume of our securities to decline. Moreover, if one or more of the analysts who cover us downgrades our Common Stock, or if our reporting results do not meet their expectations, the market price of our Common Stock could decline.
The obligations associated with being a public company will involve significant expenses and will require significant resources and management attention, which may divert from our business operations.
As a public company, we are subject to the reporting requirements of the Exchange Act and the Sarbanes- Oxley Act. The Exchange Act requires that we file annual, quarterly and current reports with respect to our business and financial condition. The Sarbanes-Oxley Act requires, among other things, that we establish and maintain effective internal control over financial reporting. As a result, we will incur significant legal, accounting and other expenses that we did not previously incur. Our entire management team and many of our other employees will need to devote substantial time to compliance and may not effectively or efficiently manage our transition into a public company.
In addition, the need to establish the corporate infrastructure demanded of a public company may also divert management’s attention from implementing our business strategy, which could prevent us from improving our business, results of operations and financial condition. We have made, and will continue to make, changes to our internal control over financial reporting, including IT controls, and procedures for financial reporting and accounting systems to meet our reporting obligations as a public company. However, the measures we take may not be sufficient to satisfy our obligations as a public company. If we do not continue to develop and implement the right processes and tools to manage our changing enterprise and maintain our culture, our ability to compete successfully and achieve our business objectives could be impaired, which could negatively impact our business, financial condition and results of operations. In addition, we cannot predict or estimate the amount of additional costs we may incur to comply with these requirements. We anticipate that these costs will materially increase our general and administrative expenses.
These rules and regulations result in our incurring legal and financial compliance costs and will make some activities more time-consuming and costly. For example, we expect these rules and regulations to make it more difficult and more expensive for us to obtain director and officer liability insurance, and we may be required to accept reduced policy limits and coverage or incur substantially higher costs to obtain the same or similar coverage. As a result, it may be more difficult for us to attract and retain qualified people to serve on our Board, our Board committees or as executive officers.
As a public reporting company, we are subject to rules and regulations established from time to time by the SEC regarding our internal control over financial reporting. If we fail to establish and maintain effective internal control over financial reporting and disclosure controls and procedures, we may not be able to accurately report our financial results or report them in a timely manner.
As a public reporting company, we are subject to the rules and regulations established from time to time by the SEC and Nasdaq. These rules and regulations require, among other things that we establish and periodically evaluate procedures with respect to our internal control over financial reporting. Reporting obligations as a public company are likely to place a considerable strain on our financial and management systems, processes and controls, as well as on our personnel.
77
In addition, as a public company, we are required to document and test our internal control over financial reporting pursuant to Section 404 of the Sarbanes-Oxley Act so that our management can certify as to the effectiveness of our internal control over financial reporting. For additional information related to the risks and uncertainties of our compliance with the Sarbanes-Oxley Act, see “Risk Related to an Early-Stage Company — Failure to achieve and maintain effective internal controls over financial reporting in accordance with Section 404 of the Sarbanes-Oxley Act could impair our ability to produce timely and accurate financial statements or comply with applicable regulations and have a material adverse effect on our business.”
If we fail to meet the applicable continued listing requirements of NASDAQ Global Market, NASDAQ may delist our common stock, in which case the liquidity and market price of our common stock could decline.
Our common stock is currently listed on the NASDAQ Global Market. In order to maintain that listing, we must satisfy certain continued listing requirements. including the requirement that our Common Stock maintain an average minimum bid price of $1.00. Since March 1, 2023, the closing sale price of our Common Stock as reported on Nasdaq has been less than $1.00. In the past, we have received a deficiency letter from Nasdaq for failing to maintain a minimum bid price of $1.00, but we have since regained compliance. If we are deficient in maintaining the necessary listing requirements, our common stock may be delisted. If our stock is delisted, an active trading market for our common stock may not be sustained and the market price of our common stock could decline.
Market price of our Common Stock may be volatile, which could subject us to securities class action litigation and result in substantial losses for our stockholders.
The market price of shares of our Common Stock could be subject to wide fluctuations in response to many risk factors listed in this section and the documents incorporated by reference in this prospectus supplement and the accompanying prospectus as well as other factors others beyond our control. Furthermore, the stock markets have experienced extreme price and volume fluctuations that have affected and continue to affect the market prices of equity securities of many companies. These fluctuations often have been unrelated or disproportionate to the operating performance of those companies. These broad market and industry fluctuations as well as general economic, political and market conditions, such as recessions, interest rate changes or international currency fluctuations, may negatively impact the market price of shares of our Common Stock. In addition, such fluctuations could subject us to securities class action litigation, which could result in substantial costs and divert our management’s attention from other business concerns, which could potentially harm our business. As a result of this volatility, our stockholders may not be able to sell their shares of our Common Stock at or above the price at which they purchased their shares of our Common Stock.
We do not intend to pay dividends on our Common Stock for the foreseeable future.
We currently intend to retain all available funds and any future earnings to fund the development and growth of our business. As a result, we do not anticipate declaring or paying any cash dividends on our Common Stock in the foreseeable future. Any decision to declare and pay dividends in the future will be made at the discretion of our Board and will depend on, among other things, our business prospects, results of operations, financial condition, cash requirements and availability, legal requirements, certain restrictions related to our indebtedness, industry trends and other factors that our Board may deem relevant. Any such decision will also be subject to compliance with contractual restrictions and covenants in the agreements governing our current and future indebtedness. In addition, we may incur additional indebtedness, the terms of which may further restrict or prevent us from paying dividends on our Common Stock. As a result, you may have to sell some or all of your Common Stock after price appreciation in order to generate cash flow from your investment, which you may not be able to do. Our inability or decision not to pay dividends, particularly when others in our industry have elected to do so, could also adversely affect the market price of our Common Stock.
78
Item 1B. Unresolved Staff Comments
None.
Item 2. Properties
Our principal executive office is located at 1201 Orange Street, Suite 600 Wilmington, DE 19801.
Item 3. Legal Proceedings.
On August 12, 2022, the Company received a demand for arbitration (the “Demand”) from GEM Yield Bahamas Limited and GEM Global Yield LLC SCS (collectively, “GEM”). The Demand claims that the Company’s subsidiary, NeuroRx, Inc. (“NeuroRx"), failed to satisfy its obligation to pay GEM a commitment fee in the amount of HK$ 15,000,000 (approximately US$1,914,087 at current exchange rates) pursuant to a Share Subscription Facility Agreement, executed on October 18, 2019, by and among NeuroRx and GEM (the “Agreement”). NeuroRx expects to vigorously defend its position that payment of the commitment fee is neither due nor owing under the terms of the Agreement.
On November 12, 2022, NRx Pharmaceuticals, Inc. (“NRx” or the “Company”) entered into a Settlement Agreement and Asset Purchase Agreement (“APA”) with Relief Therapeutics Holding AG and Relief Therapeutics International (the “Relief Parties”) to settle the outstanding lawsuit with respect to the Binding Collaboration Agreement dated September 18, 2020 between the Company and the Relief Parties (the “Collaboration Agreement”). The closing under the APA occurred on December 17, 2022 and the parties dismissed their respective claims against each other.
On March 27, 2023, the Company received a copy of a Charge of Discrimination (“Charge”) reportedly filed with the Equal Employment Opportunities Commission and the Texas Workforce Commission Civil Rights Division by Carrier Carretta, the Company’s former Vice President of Clinical Development and Medical Affairs. The Charge includes claims for unlawful discrimination and harassment because of sex, unlawfully retaliated for opposing unlawful discrimination and breach of her employment contract.
The Company intends to work towards a resolution through Ms. Carretta’s attorney, but if a settlement cannot be reached, the Company intends to vigorously defend itself against the claims made by Ms. Carretta. At this time, it is too early to determine the probability of an adverse outcome with respect to such claims or make any reasonable estimate of the quantum of any adverse outcome.
In addition to the matters described above, we may become involved in various legal actions incidental to our business. As of the date of this annual report, we are not involved in any other legal proceedings that we believe could have a material adverse effect on our financial position or results of operations, but regardless of the outcome, litigation can have an adverse impact on the Company because of defense and settlement costs, and diversion of management resources.
Item 4. Mine Safety Disclosures
Not applicable.
79
PART II
Item 5. Market for Registrant’s Common Equity, Related Stockholder Matters and Issuer Purchases of Equity Securities
Principal Market or Markets
Our shares of common stock are currently quoted on the Nasdaq Capital Market under the symbol “NRXP.” Our common stock commenced trading on the Nasdaq Capital Market on May 25, 2021. Prior to such date, our shares of common stock were traded on the Nasdaq Capital Market under the symbol “BRPA.”
Approximate Number of Holders of Common Stock
As of December 31, 2022 there were approximately 54 record holders of the Company’s common stock. The actual number of stockholders is greater than the number of record holders because stockholders who are beneficial owners but whose shares are held in street name by brokers or other nominees are not counted as separate record holders.
Dividends
Holders of our common stock are entitled to receive such dividends as may be declared by our Board. No dividends have been declared or paid with respect to our common stock and no dividends are anticipated to be paid in the foreseeable future. Any future decisions as to the payment of dividends will be at the discretion of our Board, subject to applicable law.
Recent Sales by the Company of Unregistered Securities
On March 8, 2023, NRx Pharmaceuticals entered into a securities purchase agreement (the “Securities Purchase Agreement”) with accredited investors (the “Investors”), providing for the issuance and sale of 3,866,666 shares of the Company’s common stock (“Common Stock”) and warrants to purchase up to 3,866,666 shares of Common Stock (the “Investor Warrants”) in a registered direct offering priced at-the-market under Nasdaq rules for a purchase price of $0.75 per share (the “Offering”). The Investors have agreed not to transfer the Common Stock for six months following the date hereof. The Investor Warrants will have an exercise price of $0.75 per share, will be initially exercisable beginning six months following the date of issuance (the “Initial Exercise Date”) and will expire 5 years from the Initial Exercise Date. The aggregate gross proceeds to the Company from the Offering are expected to be approximately $2.9 million. The closing of the sale of these securities occurred on March 9, 2023.
Repurchases of Securities
None.
Use of Proceeds
The Company intends to use the net proceeds from the March 9, 2023 offering detailed above for working capital and general corporate purposes.
80
Item 6. [Reserved]
Item 7. Management’s Discussion and Analysis of Financial Condition and Results of Operations
You should read the following discussion and analysis of NRx Pharmaceuticals’ financial condition and plan of operations together with NRx Pharmaceuticals' consolidated financial statements and the related notes appearing elsewhere herein. In addition to historical information, this discussion and analysis contains forward looking statements that involve risks, uncertainties and assumptions. NRx Pharmaceuticals’ actual results may differ materially from those discussed below. Factors that could cause or contribute to such differences include, but are not limited to, those identified below, and those discussed in the section entitled “Risk Factors” included elsewhere herein.
Overview
On May 24, 2021, Big Rock Partners Acquisition Group (“BRPA”), a special purpose acquisition company, consummated the Agreement and Plan of Merger (as amended, the “Merger Agreement”) with NeuroRx, Inc., a Delaware corporation (“NeuroRx”), and Big Rock Merger Corp., a Delaware corporation and wholly owned, direct subsidiary of BRPA (“Merger Sub”). Pursuant to the Merger Agreement, on May 24, 2021 (the “Closing Date”), which has been accounted for as a reverse recapitalization, Merger Sub was merged with and into NeuroRx, with NeuroRx surviving the merger (the “Merger” and, together with the other transactions contemplated by the Merger Agreement, the “Business Combination”). On the Closing Date, BRPA changed its name to NRX Pharmaceuticals, Inc. (“NRx Pharmaceuticals” or the “Company”).
NRx Pharmaceuticals is a clinical stage pharmaceutical company that is developing, through its wholly owned operating subsidiary, NeuroRx, NRX-100 and NRX-101, the first oral therapeutic for the treatment of Bipolar Depression in patients with Acute Suicidal Ideation and Behavior (ASIB) and Sub-Acute Suicidal Ideation and Behavior (“SSIB”). NRX-100 and NRX-101 were developed based upon 30 years of basic science and clinical expertise contributed by Dr. Daniel Javitt, MD, PhD, related to the role of the brain’s N-methyl-D-aspartate (“NMDA”) receptor in regulating human thought processes in general and in regulating depression and suicidality. The NRX-100 and NRX-101 investigational therapy begins with a single dose of ketamine (NRX-100), a Food & Drug Administration (“FDA”) approved anesthetic, followed by approximately six weeks of daily oral NRX-101. NRX-101 is being developed as a rapid-onset and sustained treatment for bipolar depression with ASIB and SSIB. NRX-101 combines d-Cycloserine, a NMDA receptor modulator, and lurasidone, a 5-HT2a receptor antagonist.
NRX-101 has been awarded Fast Track designation, Breakthrough Therapy designation, a Biomarker Letter of Support, and a Special Protocol Agreement by the FDA. Peer-reviewed and published results from Phase II clinical studies demonstrate a significant decline and stabilization in symptoms of depression and suicidality following administration of DCS in combination with antidepressants. Findings from one of these studies found that bipolar patients who were already receiving a 5-HT2a antagonist demonstrated more than a 50% reduction in symptoms of depression and a 75% reduction in suicidal ideation when ketamine and DCS were added to their treatment regimen. Side effects for patients in a Phase 2a combination study of DCS and 5HT2a included mild sedation, headaches and hypomania. Breakthrough Therapy designation was awarded based on data from the STABIL-B study (NCT02974010) that demonstrated a statistically significant advantage of NRX-101 vs. lurasidone (the active ingredient used in the market leading branded bipolar depression agent) in maintaining remission from depression and suicidality following a single stabilizing dose of ketamine.
In March 2022, NRx Pharmaceuticals announced a primary focus on its psychiatry franchise and the late-stage development of NRX-101 for the treatment of bipolar depression in patients with suicidality. NRX-101 is a fixed dose combination of D-cycloserine, an NMDA antagonist, and lurasidone, a 5-HT2A atypical antipsychotic and antidepressant, for the maintenance of remission from severe bipolar depression following initial stabilization with ketamine. The previously undiscovered synergy between these two drug classes in the treatment of CNS disorders, combined with the efficacy of D-cycloserine in the treatment of depression and PTSD, is the subject of 47 issued patents and more than 43 pending patents owned by or licensed to NRx Pharmaceuticals.
81
NRX-101 in Severe Bipolar Depression in Patients with Acute Suicidal Ideation and Behavior (ASIB) After Initial Stabilization with ketamine
| ● | In 2017, NRX-101 received an investigational new drug (IND) clearance by the U.S. Food and Drug Administration (FDA) and a Phase 2b/3 clinical trial commenced for bipolar depression with ASIB. Later that year, the FDA granted NRX-101 a Fast Track designation for the same indication. |
| ● | In 2018, the FDA provided a Letter of Support to the Company encouraging the development of Glutamine+Glutamate (Glx) as a pharmacodynamic biomarker for depression. The letter referenced published and unpublished data demonstrating a significant association between clinical symptoms of depression and levels of brain Glx. |
| ● | In the STABIL-B Phase 2 trial, the Phase 2 portion of the Phase 2b/3 trial, patients with bipolar depression and ASIB received either NRX-101 or lurasidone after an intravenous infusion of NRX-100 (ketamine). The proof-of-concept data presented at the American Congress of Neuropsychopharmacology in 2018 demonstrated with statistical significance that NRX-101 treated patients experienced lower depression scores and did not relapse. |
| ● | Based on STABIL-B findings, the FDA granted NRX-101 Breakthrough Therapy Designation and a Special Protocol Agreement (“SPA”) for bipolar depression in patients with ASIB, which affects ~150K-180K patients per year in the U.S. The Breakthrough Therapy Designation allows for an expedited rolling submission of a new drug application (“NDA”) for investigational drugs that have demonstrated substantial improvement over existing approved therapies, and the SPA allows for a single registrational trial of NRX-101 in severe bipolar depression in patients with ASIB after stabilization with ketamine, using a protocol similar to the STABIL-B trial with a patient population of less than 100. |
| ● | NRx Pharmaceuticals announced that it has transferred Phase 3 commercial drug manufacturing processes to the U.S. and released Phase 3 drug manufactured via the expected commercial-stage processes. NRx Pharmaceuticals has submitted its manufacturing file to the FDA. This investigational drug manufactured according to these new processes will be used in the upcoming Phase 3 trial. |
| ● | We are initiating a new registrational study of NRX-101 for the treatment of severe bipolar depression with ASIB, a potentially lethal condition that currently takes the lives of thousands of Americans each year, after initial stabilization with NRX-100 (described below). We intend to use newly manufactured material that was manufactured using the expected commercial process. On January 3, 2023, the Company announced that its first clinical trial sites had been contracted for this study, but patient recruiting has not begun. |
| ● | On February 14, 2023, the Company announced its receipt of the written minutes of a Type B meeting held with the FDA on January 11, 2023, to outline the clinical & preclinical requirements for registration of NRX-101. Overall, the FDA suggested expanding the safety data base of NRX-101 to allow for chronic/intermittent use of NRX-101, as well as a broadening of the addressable population of the indication (under the SPA or otherwise) to patients with severe bipolar depression and recent acute suicidality regardless of how the initial stabilization was accomplished could represent a more straightforward development program. This broader indication would enable the Company to potentially demonstrate the use of NRX-101 to maintain stabilization from suicidality in patients stabilized either with ketamine (NRX-100) or with other standard of care therapeutic approaches. FDA encouraged the Company to request a Breakthrough Therapy Planning Meeting for NRX-101, which we intent to do in the next few months. |
NRX-101 Indication – Bipolar Depression in Patients with Sub-acute Suicidal Ideation and Behavior (SSIB)
| ● | A Phase 2 double-blind study completed in 2018 demonstrated the ability of NRX-101 to improve depression and suicidality over 6 weeks when taken twice daily over lurasidone alone after an initial stabilization with ketamine. |
82
| The current study involving patients with bipolar depression and sub-acute suicidality (not requiring hospitalization) does not include the use of ketamine; all patients are being treated in an outpatient setting. |
Consolidated NRX-101 Program in Suicidal Treatment-Resistant Bipolar Depression
Based on the comments and guidance from the FDA in its recent Type B meeting regarding the registrational Acute Suicidality trial and a potentially broader indication, as well as the guidance it received from the DSMB regarding the ongoing Phase IIb/3 clinical study of NRX-101 for the treatment of severe bipolar depression in patients with SSIB, the Company is evaluating changes to its registrational program for NRX-101 and will seek to consolidate patients originally expected to enroll in the ASIB study into the currently enrolling Phase IIb/3 trial. This would potentially allow registration of NRX-101 for Suicidal Treatment-Resistant Bipolar Depression, regardless of the mechanism of stabilization. With the FDA’s guidance to enroll patients for the acute (SPA) study in the outpatient setting only after stabilization, the design of this trial has effectively converged with the currently enrolling phase IIb/3 trial; patients within both groups are deemed to have treatment resistant bipolar depression with suicidality. This broader indication may also offer significant advantages in commercialization, while negating the need for a separate NDA for ketamine in Suicidal stabilization.
| ● | The US population of patients with Suicidal Treatment Resistant Bipolar Depression is estimated to be between 700,000 and 1,000,000 people. |
| ● | We expect top-line data from this trial in the first quarter of 2024. |
NRX-101 Indication – Post Traumatic Stress Disorder
| ● | NRx plans to commence a Phase 2 clinical trial of NRX-101 in PTSD in the second half of 2023. |
| ● | Depression in PTSD may be driven by pathways that are similar to those that drive depression in other conditions (NMDA and 5-HT2A). Additionally, approximately 10% of patients with PTSD may experience suicidality, especially those with severe PTSD. |
| ● | In a preclinical PTSD study, D-cycloserine, a component of NRX-101, demonstrated the ability to extinguish recurring images of traumatic events, also known as fear memory, in a validated WKY model of PTSD. |
Since inception, NRx Pharmaceuticals has incurred significant operating losses. For the years ended December 31, 2022 and 2021, NRx Pharmaceuticals’ net loss was $39.8 million and $93.1 million, respectively. As of December 31, 2022, NRx Pharmaceuticals had an accumulated deficit of $223.0 million.
Components of Results of Operations
Operating expenses
Research and development expenses
NRx Pharmaceuticals’ research and development expenses consist primarily of costs associated with NRx Pharmaceuticals’ clinical trials, salaries, payroll taxes, employee benefits, and equity-based compensation charges for those individuals involved in ongoing research and development efforts. Research and development costs are expensed as incurred. Advance payments for goods and services that will be used in future research and development activities are expensed when the activity has been performed or when the goods have been received.
General and administrative expenses
General and administrative expenses consist primarily of salaries, stock-based compensation, consultant fees, and professional fees for legal and accounting services.
83
Settlement Expense
Settlement expense consists primarily of settlement expenses related to the GEM Warrant. See Note 8 “Commitments and Contingencies – Share Subscription Facility Agreement – GEM” of the notes to the Company’s consolidated financial statements included elsewhere in this report for further information.
Reimbursement of expenses from Relief Therapeutics
Reimbursement of expenses from Relief Therapeutics consisted of reimbursable expenses as part of the Collaboration Agreement. See Note 8 “Commitments and Contingencies – Relief Therapeutics Collaboration Agreement” of the notes to the Company’s consolidated financial statements included elsewhere in this report for further information.
Results of operations for the years ended December 31, 2022 and 2021
The following table sets forth NRx Pharmaceuticals’ selected statements of operations data for the following periods (in thousands):
Years Ended December 31, | Change | ||||||||
| 2022 |
| 2021 |
| Dollars | ||||
Operating expenses: |
|
|
| ||||||
Research and development | $ | 17,027 | $ | 20,257 | $ | (3,230) | |||
General and administrative |
| 27,308 |
| 74,944 | (47,636) | ||||
Settlement expense |
| — |
| 21,366 | (21,366) | ||||
Reimbursement of expenses from Relief Therapeutics |
| — |
| (771) | 771 | ||||
Total operating expenses |
| 44,335 |
| 115,796 | (71,461) | ||||
Loss from operations | $ | (44,335) | $ | (115,796) | $ | 71,461 | |||
Other (income) expenses: |
|
|
|
|
|
| |||
Gain on extinguishment of debt | $ | — | $ | (121) | $ | 121 | |||
Interest income | (249) | — | (249) | ||||||
Interest expense |
| — |
| 18 | (18) | ||||
Change in fair value of convertible note payable | 505 |
| — | 505 | |||||
Change in fair value of warrant liabilities | (255) | (1,692) | 1,437 | ||||||
Change in fair value of Earnout Cash liability | (4,582) | (20,938) | 16,356 | ||||||
Total other (income) expenses |
| (4,581) |
| (22,733) | 18,152 | ||||
Loss before tax |
| (39,754) |
| (93,063) | 53,309 | ||||
Net loss | $ | (39,754) | $ | (93,063) | $ | 53,309 | |||
Operating expenses
Research and development expenses
For the year ended December 31, 2022, NRx Pharmaceuticals recorded $17.0 million of research and development expenses compared to $20.3 million for the year ended December 31, 2021. The decrease of $3.2 million is related primarily to a decrease of $2.5 million in clinical trials and development expenses related to ZYESAMI, $0.7 million in stock-based compensation expense, $0.8 million related to fees paid to regulatory and process development consultants, partially offset by an increase of $0.5 in other regulatory and process development costs and $0.3 million in shipping, freight, and delivery costs. The $17.0 million and $20.3 million of research and development expenses for the years ended December 31, 2022 and 2021, respectively, include $0.6 million and $1.3 million, respectively, of non-cash stock-based compensation.
84
General and administrative expenses
For the year ended December 31, 2022, NRx Pharmaceuticals recorded $27.3 million of general and administrative expenses compared to $74.9 million for the year ended December 31, 2021. The decrease of $47.6 million was primarily, related to a decrease of $53.3 million in consultant fees, of which $41.0 million related to the fair value of common stock issued in accordance to the Shareholder Agreement described in footnote 9 of the Company’s 2022 Audited Financial Statements under “VaccineCo Agreement and Issuance of Shares” and $4.8 million related to the fair value of the 200,000 shares of Common Stock issued pursuant to the BCMA as further describe in footnote 9 of the Company’s 2022 Audited Financial Statements under “Common Stock,” and $3.5 million in stock-based compensation expense, partially offset by an increase of $3.7 million in insurance expenses, $3.4 million in legal, professional and accounting fees, $1.5 million in employee expenses, and $0.6 million in other general and administrative expenses. The $27.3 million and $74.9 million of general and administrative expenses for the years ended December 31, 2022 and 2021, respectively, include $3.0 million and $60.3 million, respectively, of non-cash stock-based compensation.
Settlement expense
For the year ended December 31, 2022, NRx Pharmaceuticals recorded no settlement expense compared to $21.4 million of settlement expense for the year ended December 31, 2021 related to the GEM Warrant reflecting the incremental value of the warrant from the date of issuance through the date of exercise. Settlement expense is a non-cash expense related to the GEM Warrant.
Reimbursement of expenses from Relief Therapeutics
For the year ended December 31, 2022, NRx Pharmaceuticals received no reimbursement of expenses from Relief Therapeutics compared to $0.8 million of reimbursement of expenses from Relief Therapeutics for the year ended December 31, 2021.
Other (income) expenses
Gain on extinguishment of debt
For the year ended December 31, 2022, NRx Pharmaceuticals recorded no gain on extinguishment of debt compared to $0.1 million for the year ended December 31, 2021 which was related to the decrease of $0.1 million related to the forgiveness of the PPP Loan which resulted in a gain on extinguishment for the outstanding principal and accrued and unpaid interest.
Interest income
For the year ended December 31, 2022, NRx Pharmaceuticals recorded $0.2 million of interest income.
Change in fair value of convertible note payable
For the year ended December 31, 2022, NRx Pharmaceuticals recorded $0.5 million related to the change in fair value of the convertible note payable which is accounted for under the fair value option.
Change in fair value of warrant liabilities
For the year ended December 31, 2022, NRx Pharmaceuticals recorded a gain of $0.3 million related to the change in fair value of the warrant liabilities compared to a gain of $1.7 million for the year ended December 31, 2021. The decrease of $1.4 million related to the decrease in the fair value of certain Substitute Warrants and the Placement Warrants assumed pursuant to the Merger Agreement.
85
Change in fair value of Earnout Cash liability
For the year ended December 31, 2022, NRx Pharmaceuticals recorded a gain of $4.6 million related to the change in fair value of the Earnout Cash liability compared to a gain of $20.9 million for the year ended December 31, 2021. The gains are a result of the decrease in the fair value of the Earnout Cash liability pursuant to the Merger Agreement. The gains primarily resulted from not achieving the Earnout Cash milestones by December 31, 2022 due to changes to the anticipated re-start date of the NRX-101 Phase III clinical trial, slower enrollment in the NIH’s ZYESAMI clinical trial, and the FDA’s November decision not to approve EUA for ZYESAMI.
Liquidity and Capital Resources
NRx Pharmaceuticals has generated no revenues, has incurred operating losses since inception, and expects to continue to incur significant operating losses for the foreseeable future and may never become profitable. Until such time as NRx Pharmaceuticals is able to establish a revenue stream from the sale of its therapeutic products, NRx Pharmaceuticals is dependent upon obtaining necessary equity and/or debt financing to continue operations. NRx Pharmaceuticals cannot make any assurances that sales of NRX-101 will commence in the near term or that additional financings will be available to it and, if available, on acceptable terms or at all. This could negatively impact NRx Pharmaceuticals' business and operations and could also lead to the reduction of NRx Pharmaceuticals' operations.
On November 4, 2022, the Company issued an 9% redeemable promissory note (the “Note”) to Streeterville Capital, LLC, a Utah limited liability company, for an aggregate principal amount of $11.0 million. The Company intends to use the proceeds from such issuance for general corporate purposes. The Note matures 18 months from the date of issuance subject to certain acceleration provisions. The Note carries an original issue discount of $1.0 million which was deducted from the principal balance of the Note. The net proceeds from the issuance of the Note was $10.0 million after transaction costs including the original issue discount, legal and other fees are included.
The Company has the option to prepay the Note during the term by paying an amount equal to 110% of the principal, interest, and fees owed as of the prepayment date. The noteholder has the right to redeem up to $1.0 million of the outstanding balance of the Note per month starting six months after the issuance date. Payments may be made by the Company at its option in: (i) in cash with a 10% premium for the amount redeemed, (ii) by paying the redemption amount in the form of shares of Common Stock with the number of redemption shares being equal to the portion of the applicable redemption amount divided by the Redemption Conversion Price (as defined below), or (iii) a combination of cash and shares of common stock. The “Redemption Conversion Price” on any given redemption date equals 85% multiplied by the average of the two lowest daily volume weighted average prices per share of the common stock during the ten trading days immediately preceding the date that the noteholder delivers notice electing to redeem a portion of the Note. Beginning May 1, 2023, in the event (a) the daily dollar trading volume of the common stock of the Company on any given trading day is at least fifty percent (50%) greater than the lower of (i) the median daily dollar trading volume over the previous ten (10) trading days or (ii) the daily dollar trading volume on the trading day immediately preceding the date of measurement or (b) if the closing trade price on any given trading day is at least thirty percent (30%) greater than the Nasdaq Minimum Price, then lender will be entitled to redeem over the following ten (10) trading days an amount of indebtedness then outstanding under the Note equal to twice (2x) the monthly redemption amount of $1.0 million solely by payment by stock, if permitted under the agreement, subject to maximum percentage (9.99%) and other ownership limitations. As of the date hereof, the Company did not meet the conditions to repay the Note by the delivery of shares of common stock.
The Company evaluated whether there are any conditions and events, considered in the aggregate, that raise substantial doubt about its ability to continue as a going concern within one year beyond the date of filing of this Annual Report on Form 10-K. We have typically funded our operating costs, acquisition activities, working capital requirements and capital expenditures with proceeds from the issuances of our common stock and other financing arrangements. If the Company is not able to make the required payments for the above Note in common stock and must use its cash for these payments, the Company believes that it does not have sufficient funds to support operations (which are subject to change) through the next year from the date the condensed consolidated financial statements are issued. The Company plans to address this matter by pursuing additional financing opportunities in 2023 to strengthen its balance sheet similar to the successful transaction completed in March 2023. In addition, as we execute our business plan over the next 12 months, we intend to carefully monitor the impact of our continuing operations on our working capital needs and cash balances relative to the availability of cost-effective debt and equity financing.
86
The Company’s ongoing clinical activities continue to generate losses and net cash outflows from operations. The Company may raise substantial additional funds, and if it does so, it may do so through one or more of the following: issuance of additional debt or equity and/or the completion of a licensing or other commercial transaction for one of the Company’s product candidates. The Company cannot make any assurances that additional financing will be available to it and, if available, on acceptable terms or at all. This could negatively impact the Company’s business and operations and could also lead to a reduction in the Company’s operations.
Private Placement
On February 2, 2022, the Company completed a private placement and issued 7,824,727 shares of common stock and Preferred Investment Options to purchase up to an aggregate of 7,824,727 shares of common stock. The Preferred Investment Options have an exercise price of $3.07 per share and may be exercised any time on or after August 2, 2022.
The form of the Preferred Investment Option is a warrant. The measurement of fair value was determined utilizing a Black-Scholes model considering all relevant assumptions current at February 2, 2022, the date of issuance (i.e., share price of $2.94, exercise price of $3.07, term of five years beginning August 2, 2022, volatility of 82.8%, risk-free rate of 1.60%, and expected dividend rate of 0%). The grant date fair value of these Preferred Investment Options was estimated to be $15.5 million on February 2, 2022 and is reflected within additional paid-in capital as of December 31, 2022.
In addition, on February 2, 2022, the Company issued fully vested Preferred Investment Options to the placement agent with an exercise price of $3.99. As these Preferred Investment Options were issued for services provided in facilitating the private placement, the Company recorded the fair value of such Preferred Investment Options as a cost of capital on the issuance date. The measurement of fair value was determined utilizing a Black-Scholes model considering all relevant assumptions current at February 2, 2022, the date of issuance (i.e., share price of $2.94, exercise price of $3.99, term of five years beginning August 2, 2022, volatility of 82.8%, risk-free rate of 1.60%, and expected dividend rate of 0%).
The following table presents selected financial information and statistics for each of the periods shown below:
December 31, | ||||||
| 2022 |
| 2021 | |||
Balance Sheet Data: | ||||||
Cash | $ | 20,054 | $ | 27,605 | ||
Total assets | 25,816 | 32,729 | ||||
Earnout cash liability | — | 4,582 | ||||
Convertible note payable | 10,525 | — | ||||
Total liabilities | 18,407 | 11,923 | ||||
Total stockholders' equity | 7,409 | 20,806 | ||||
Statement of Cash Flow Data: | ||||||
Net cash used in operating activities | (39,755) | (37,703) | ||||
Net cash used in investing activities |
| (10) |
| (7) | ||
Net cash provided by financing activities | 32,214 | 63,456 | ||||
Net (decrease) increase in cash | $ | (7,551) | $ | 25,746 | ||
Operating activities
During the year ended December 31, 2022, operating activities used $39.8 million of cash, primarily resulting from a net loss of $39.8 million, increased by (a) net non-cash gains of $0.7 million, including $4.6 million for the change in fair value of earnout cash liability, (ii) $0.3 million for the change in fair value of warrant liabilities, partially offset by (i) $3.6 million of stock-based compensation expense, (ii) $0.5 million for the change in fair value of convertible promissory note, and (b) changes in operating assets and liabilities of $0.7 million.
During the year ended December 31, 2021, operating activities used $37.7 million of cash, primarily resulting from a net loss of $93.1 million, reduced by (a) non-cash charges of $60.3 million, including (i) $53.8 million of non-cash consulting
87
fees paid in common stock, (ii) $21.4 million of non-cash settlement expense related to the GEM Warrant, (iii) $7.8 million of stock-based compensation expense, (iv) $20.9 million of change in fair value of Earnout Cash liability, partially offset by (i) gains from the change in fair value of warrant liability of $1.7 million, and (ii) $0.1 million in extinguishment of debt related to the PPP loan, and (b) changes in operating assets and liabilities of $4.9 million, including increases of $4.8 million and less than $0.1 million in prepaid expenses and other assets and accounts payable, respectively, partially offset by decreases of $0.9 million and $0.8 million in accrued expenses and other liabilities and accounts receivable, respectively.
Financing activities
During the year ended December 31, 2022, financing activities provided $32.2 million of cash resulting from $22.7 million in proceeds from issuance of common stock and warrants issued in private placement, net of issuance costs, $10.0 million in proceeds from convertible notes payable, net of discount and issuance costs, partially offset by $0.5 million of repayment of Relief Therapeutics loan notes payable.
During the year ended December 31, 2021, financing activities provided $63.5 million of cash, primarily resulting from $27.4 million from the issuance of shares of our common stock and warrants in private placement, $16.7 million proceeds from issuance of common stock for exercise of the GEM Warrants, $11.1 million for the effect of the Merger, PIPE financing, net of transaction costs, $9.6 million from proceeds from issuance of shares of NRx Pharmaceuticals’ common stock, partially offset by $1.1 million from repayment of notes payable assumed in the Merger, and a $0.2 million repayment of a note payable plus accrued and unpaid interest with a vendor.
Contractual Obligations and Commitments
See Note 7, Debt and Note 8, Commitments and Contingencies, of the notes to NRx Pharmaceuticals’ consolidated financial statements as of and for the year ended December 31, 2022 included elsewhere in this report for further discussion of NRx Pharmaceuticals' commitments and contingencies.
Milestone Payments
Pursuant to the legal settlement with Sarah Herzog Memorial Hospital Ezrat Nashim (“SHMH”) in September 2018, which included the license of intellectual property rights from SHMH, an ongoing royalty of 1% to 2.5% of NRX-101 gross sales is due to SHMH, together with milestone payments of $0.3 million, upon completion of phase 3 trials and commercial sale of NRX-101. The milestone payments for developmental and commercial milestones range from $0.1 million to $0.8 million. Annual maintenance fees are up to $0.2 million.
Off-Balance Sheet Arrangements
NRx Pharmaceuticals is not party to any off-balance sheet transactions. NRx Pharmaceuticals has no guarantees or obligations other than those which arise out of normal business operations.
Critical Accounting Policies and Significant Judgments and Estimates
NRx Pharmaceuticals' management’s discussion and analysis of its financial condition and results of operations is based on its financial statements, which have been prepared in accordance with GAAP. The preparation of these financial statements requires NRx Pharmaceuticals to make estimates, judgments and assumptions that affect the reported amounts of assets and liabilities, disclosure of contingent assets and liabilities as of the date of the balance sheet and the reported amounts of expenses during the reporting period. In accordance with GAAP, NRx Pharmaceuticals evaluates its estimates and judgments on an ongoing basis. The most significant estimates relate to the Earnout Cash Liability, stock-based compensation, the convertible note payable and the valuation of warrants. NRx Pharmaceuticals bases its estimates and assumptions on current facts, historical experiences, and various other factors that NRx Pharmaceuticals believes are reasonable under the circumstances, the results of which form the basis for making judgments about the carrying value of assets and liabilities that are not readily apparent from other sources. Actual results may differ from these estimates under different assumptions or conditions.
NRx Pharmaceuticals defines its critical accounting policies as those accounting principles that require it to make subjective estimates and judgments about matters that are uncertain and are likely to have a material impact on its financial condition
88
and results of operations, as well as the specific manner in which NRx Pharmaceuticals applies those principles. While its significant accounting policies are more fully described in Note 3 to its financial statements, NRx Pharmaceuticals believes the following are the critical accounting policies used in the preparation of its financial statements that require significant estimates and judgments.
Earnout Cash Liability
The following expired as of December 31, 2022 and was unearned, prior to this the fair value of the Earnout Cash liability was estimated using probability-weighted discounted cash flow models (DCFs) with significant inputs that were not observable in the market and thus represented a Level 3 fair value measurement as defined in ASC 820. The most significant inputs included whether (a) the FDA approved the Company’s NDAs for ZYESAMI and/or NRX-101, (b) if such approval was granted, whether such approval was received on or before December 31, 2022, and (c) if such approval was granted, whether ZYESAMI and/or NRX-101 was listed in the FDA’s Orange Book on or before December 31, 2022. The DCFs incorporated Level 3 inputs including estimated discount rates that we believe market participants would consider relevant in pricing and the projected timing and amount of cash flows, which were estimated and developed in consideration of the uncertainties associated with the obligations. As (i) ZYESAMI NIH Phase III trial was stopped due to futility, and (ii) NRX-101 Phase III trial has not yet started, the Earnout period expired without achieving the milestones and therefore, the Earnout Cash liability has been relieved. Changes in the estimated fair value of the Earnout Cash Liability were recognized as gains or losses in the statements of operations.
Fair value of common and preferred stock
Prior to the Merger, in order to determine the fair value of shares of its common stock, the Company's board of directors considered, among other things, contemporaneous valuations of its common stock and preferred stock based on arms-length transactions with third party investors. Subsequent to the Merger, the Board determines the fair value of the Common Stock based on the closing market price on the date of grant.
Stock-based compensation
We measure stock option awards granted to employees and directors based on the fair value of the award on the date of the grant and recognize compensation expense of those awards over the requisite service period, which is generally the vesting period of the respective award. For restricted stock awards, the grant date fair value is the fair market value per share as of the grant date based on the closing trading price for the Company’s stock. The straight-line method of expense recognition is applied to awards with service-only conditions. We account for forfeitures as they occur.
We estimate the fair value of each stock option award using the Black-Scholes option-pricing model, which uses as inputs the fair value of our common stock and assumptions we make for the volatility of our common stock, the expected term of our stock-based awards, the risk-free interest rate for a period that approximates the expected term of our stock-based awards, and our expected dividend yield. Therefore, we estimate our expected volatility based on the implied volatility of publicly traded warrants on our common stock and historical volatility of a set of our publicly traded peer companies. We estimate the expected term of our options using the "simplified" method for awards that qualify as "plain-vanilla" options. The risk-free interest rate is determined by reference to the U.S. Treasury yield curve in effect at the time of grant of the award for time periods approximately equal to the expected term of the award. Expected dividend yield is based on the fact that we have never paid cash dividends on common stock and do not expect to pay any cash dividends in the foreseeable future.
The assumptions used in determining the fair value of stock-based awards represent reasonable estimates, but the estimates involve inherent uncertainties and the application of our judgment. As a result, if factors change and we use significantly different assumptions or estimates, our stock-based compensation expense could be materially different in the future.
Warrant liabilities
We account for warrants as either equity-classified or liability-classified instruments based on an assessment of the warrant’s specific terms and applicable authoritative guidance in ASC 480, Distinguishing Liabilities from Equity (“ASC 480”) and
89
ASC 815, Derivatives and Hedging (“ASC 815”). The assessment considers whether the warrants are freestanding financial instruments pursuant to ASC 480, meet the definition of a liability pursuant to ASC 480, and whether the warrants meet all of the requirements for equity classification under ASC 815, including whether the warrants are indexed to the Company’s own common stock and whether the warrant holders could potentially require “net cash settlement” in a circumstance outside of the Company’s control, among other conditions for equity classification. This assessment, which requires the use of professional judgment, is conducted at the time of warrant issuance and as of each subsequent quarterly period end date while the warrants are outstanding.
For issued or modified warrants that meet all of the criteria for equity classification, the warrants are required to be recorded as a component of additional paid-in capital at the time of issuance. For issued or modified warrants that do not meet all the criteria for equity classification, the warrants are required to be recorded at their initial fair value on the date of issuance, or date of modification, and each balance sheet date thereafter. Changes in the estimated fair value of the warrants are recognized as a non-cash gain or loss on the statements of operations. The fair value of the Placement Warrants was estimated using a Black Scholes valuation approach and the fair value of the Substitute Warrants was estimated using a modified Black Scholes valuation approach which applies a probability factor based on the Earnout Cash Milestone and Earnout Shares Milestone probabilities of achievement at each reporting period.
Convertible note payable
As permitted under Financial Accounting Standards Board ("FASB”) Accounting Standards Codification ("ASC”) Topic 825, Financial Instruments ("ASC 825”), the Company elects to account for its convertible promissory note, which meets the required criteria, at fair value at inception and at each subsequent reporting date. Subsequent changes in fair value are recorded as a component of non-operating loss in the consolidated statements of operations. As a result of electing the fair value option, direct costs and fees related to the convertible promissory notes are expensed as incurred.
The Company estimates the fair value of the convertible note payable using a Monte Carlo simulation model, which uses as inputs the fair value of our common stock and estimates for the equity volatility and volume volatility of our common stock, the time to expiration of the convertible note, the risk-free interest rate for a period that approximates the time to expiration, and probability of default. Therefore, we estimate our expected future volatility based on the actual volatility of our common stock and historical volatility of our common stock utilizing a lookback period consistent with the time to expiration. The time to expiration is based on the contractual maturity date, giving consideration to the mandatory and potential accelerated redemptions beginning six months from the issuance date. The risk-free interest rate is determined by reference to the U.S. Treasury yield curve in effect at the time of measurement for time periods approximately equal to the time to expiration. Probability of default is estimated using Bloomberg's Default Risk function which uses our financial information to calculate a default risk specific to the Company.
The assumptions used in determining the fair value of the convertible note payable represent reasonable estimates, but the estimates involve inherent uncertainties and the application of our judgment. As a result, if factors change and we use significantly different assumptions or estimates, the change in fair value of the convertible note payable recorded to other (income) expense could be materially different in the future.
90
Item 7A. Quantitative and Qualitative Disclosures About Market Risk.
Not applicable.
Item 8. Financial Statements and Supplementary Data
91
Report of Independent Registered Public Accounting Firm
To the Stockholders and Board of Directors
NRX Pharmaceuticals, Inc.:
Opinion on the Consolidated Financial Statements
We have audited the accompanying consolidated balance sheets of NRX Pharmaceuticals, Inc. and subsidiaries (the Company) as of December 31, 2022 and 2021, the related consolidated statements of operations, stockholders’ equity, and cash flows for the years then ended, and the related notes (collectively, the consolidated financial statements). In our opinion, the consolidated financial statements present fairly, in all material respects, the financial position of the Company as of December 31, 2022 and 2021, and the results of its operations and its cash flows for the years then ended, in conformity with U.S. generally accepted accounting principles.
Going Concern
The accompanying consolidated financial statements have been prepared assuming that the Company will continue as a going concern. As discussed in Note 2 to the consolidated financial statements, the Company has suffered recurring losses and net cash outflows from operations that raise substantial doubt about its ability to continue as a going concern. Management’s plans in regard to these matters are also described in Note 2. The consolidated financial statements do not include any adjustments that might result from the outcome of this uncertainty.
Basis for Opinion
These consolidated financial statements are the responsibility of the Company’s management. Our responsibility is to express an opinion on these consolidated financial statements based on our audits. We are a public accounting firm registered with the Public Company Accounting Oversight Board (United States) (PCAOB) and are required to be independent with respect to the Company in accordance with the U.S. federal securities laws and the applicable rules and regulations of the Securities and Exchange Commission and the PCAOB.
We conducted our audits in accordance with the standards of the PCAOB. Those standards require that we plan and perform the audit to obtain reasonable assurance about whether the consolidated financial statements are free of material misstatement, whether due to error or fraud. The Company is not required to have, nor were we engaged to perform, an audit of its internal control over financial reporting. As part of our audits, we are required to obtain an understanding of internal control over financial reporting but not for the purpose of expressing an opinion on the effectiveness of the Company’s internal control over financial reporting. Accordingly, we express no such opinion.
Our audits included performing procedures to assess the risks of material misstatement of the consolidated financial statements, whether due to error or fraud, and performing procedures that respond to those risks. Such procedures included examining, on a test basis, evidence regarding the amounts and disclosures in the consolidated financial statements. Our audits also included evaluating the accounting principles used and significant estimates made by management, as well as evaluating the overall presentation of the consolidated financial statements. We believe that our audits provide a reasonable basis for our opinion.
Critical Audit Matter
The critical audit matter communicated below is a matter arising from the current period audit of the consolidated financial statements that was communicated or required to be communicated to the audit committee and that: (1) relates to accounts or disclosures that are material to the consolidated financial statements and (2) involved our especially challenging, subjective, or complex judgments. The communication of a critical audit matter does not alter in any way our opinion on the consolidated financial statements, taken as a whole, and we are not, by communicating the critical audit matter below, providing a separate opinion on the critical audit matter or on the accounts or disclosures to which it relates.
Assessment of the fair value of the convertible note
92
As discussed in Notes 7 and 11 to the consolidated financial statements, the Company completed a convertible note offering during the year ended December 31, 2022. The Company received net proceeds of $10.0 million from the offering and elected to account for this convertible note at fair value under the fair value option. The estimated fair value of the convertible note as of December 31, 2022 is $10.5 million. The Company used a Monte Carlo simulation model to estimate the fair value of the convertible note.
We identified the assessment of the measurement of fair value of the convertible note as of December 31, 2022 as a critical audit matter. This matter required the involvement of valuation professionals with specialized skills and knowledge to assess the Company’s model used to value the convertible note.
The following is the primary procedure we performed to address this critical audit matter. We involved valuation professionals with specialized skills and knowledge who assisted by independently developing a range of fair values of the convertible note using a discounted cash flow model and comparing it to the amount recorded by the Company.
/s/ KPMG LLP
We have served as the Company’s auditor since 2018.
Short Hills, New Jersey
March 31, 2023
93
NRX PHARMACEUTICALS, INC.
CONSOLIDATED BALANCE SHEETS
(in thousands, except share and per share data)
| December 31, | |||||
2022 | 2021 | |||||
ASSETS |
|
|
|
| ||
Current assets: |
|
|
| |||
Cash and cash equivalents | $ | | $ | | ||
Prepaid expenses and other current assets |
| |
| | ||
Total current assets |
| |
| | ||
Other assets |
| |
| | ||
Total assets | $ | | $ | | ||
LIABILITIES AND STOCKHOLDERS’ EQUITY |
|
|
|
| ||
Current liabilities: |
|
|
|
| ||
Accounts payable | $ | | $ | | ||
Accrued and other current liabilities |
| |
| | ||
Accrued clinical site costs |
| |
| | ||
Earnout Cash liability | — | | ||||
Convertible note payable and accrued interest - short term | | — | ||||
Warrant liabilities | | | ||||
Note payable and accrued interest |
| — |
| | ||
Total current liabilities |
| |
| | ||
Convertible note payable and accrued interest - long term |
| |
| — | ||
Total liabilities | $ | | $ | | ||
Preferred stock, $ | ||||||
Common stock, $ |
| |
| | ||
Additional paid-in capital |
| |
| | ||
Accumulated deficit |
| ( |
| ( | ||
Total stockholders’ equity |
| |
| | ||
Total liabilities and stockholders' equity | $ | | $ | | ||
The accompanying notes are an integral part of these consolidated financial statements.
94
NRX PHARMACEUTICALS, INC.
CONSOLIDATED STATEMENTS OF OPERATIONS
(in thousands, except share and per share data)
| Year ended | |||||
| December 31, | |||||
| 2022 |
| 2021 | |||
Operating expenses: |
|
|
| |||
Research and development | $ | | $ | | ||
General and administrative |
| |
| | ||
Settlement expense |
| — |
| | ||
Reimbursement of expenses from Relief Therapeutics |
| — |
| ( | ||
Total operating expenses |
|
| | |||
Loss from operations |
| ( |
| ( | ||
Other (income) expenses: |
|
| ||||
Gain on extinguishment of debt |
| — |
| ( | ||
Interest income |
| ( |
| — | ||
Interest expense |
| — |
| | ||
Change in fair value of convertible note payable | | — | ||||
Change in fair value of warrant liabilities |
| ( |
| ( | ||
Change in fair value of Earnout Cash liability |
| ( |
| ( | ||
Total other (income) expenses |
| ( |
| ( | ||
Loss before tax | ( | ( | ||||
Provision for income taxes | — | — | ||||
Net loss |
| ( |
| ( | ||
Deemed dividend | — | ( | ||||
Net loss attributable to common stockholders | $ | ( | $ | ( | ||
Net loss per share: | ||||||
Basic | $ | ( | $ | ( | ||
Diluted | $ | ( | $ | ( | ||
Net loss per share attributable to common stockholders: | ||||||
Basic | $ | ( | $ | ( | ||
Diluted | $ | ( | $ | ( | ||
Weighted average common shares outstanding: | ||||||
Basic and diluted | | | ||||
The accompanying notes are an integral part of these consolidated financial statements.
95
NRX PHARMACEUTICALS, INC.
CONSOLIDATED STATEMENTS OF STOCKHOLDERS’ EQUITY
(in thousands, except share data)
Additional | Total | ||||||||||||
Common Stock | Paid-in- | Accumulated | Stockholders’ | ||||||||||
Shares | Amount | Capital | Deficit | Equity | |||||||||
Balance - December 31, 2020 | | $ | | $ | | $ | ( | $ | ( | ||||
Common stock issued | | | | — | | ||||||||
Reclassification of settlement liability upon issuance of warrant | — | — | | — | | ||||||||
Effect of Merger and recapitalization, net of redemptions and issuance costs of $ | | | ( | — | ( | ||||||||
Common stock issued pursuant to PIPE financing, net of issuance costs of $ | | | | — | | ||||||||
Common stock issued for advisor services | | — | | — | | ||||||||
Modification of option awards pursuant to Merger | — | — | | — | | ||||||||
Modification of warrants pursuant to Merger | — | — | | — | | ||||||||
Common stock and warrants issued in private placement, net of issuance costs of $ | | | | — | | ||||||||
Issuance of common stock for exercise of warrants and Unit Purchase Options | | | | — | | ||||||||
Common stock issued for consulting services | | | | — | | ||||||||
Stock-based compensation | — | — | | — | | ||||||||
Net loss | — | — | — | ( | ( | ||||||||
Balance December 31, 2021 | | $ | | $ | | $ | ( | $ | | ||||
Common stock and warrants issued in private placement, net of issuance costs of $ | | | | — | | ||||||||
Common stock issued for consulting services | | — | | — | | ||||||||
Common stock issued for exercise of stock options | | — | | — | | ||||||||
Restricted stock awards granted | | | ( | — | — | ||||||||
Retired Earnout Shares | ( | ( | | — | — | ||||||||
Stock-based compensation | — | — | | — | | ||||||||
Net loss | — | — | — | ( | ( | ||||||||
Balance - December 31, 2022 | | $ | | $ | | $ | ( | $ | | ||||
The accompanying notes are an integral part of these consolidated financial statements.
96
NRX PHARMACEUTICALS, INC.
CONSOLIDATED STATEMENTS OF CASH FLOWS
(in thousands)
Years Ended December 31, | ||||||
| 2022 |
| 2021 | |||
CASH FLOWS FROM OPERATING ACTIVITIES: |
|
|
|
| ||
Net loss | $ | ( | $ | ( | ||
Adjustments to reconcile net loss to net cash used in operating activities: |
|
| ||||
Depreciation expense |
| |
| | ||
Stock-based compensation |
| |
| | ||
Gain on extinguishment of debt |
| — |
| ( | ||
Change in fair value of warrant liabilities | ( | ( | ||||
Change in fair value of earnout cash liability | ( | ( | ||||
Change in fair value of convertible promissory note | | — | ||||
Non-cash interest expense |
| — |
| | ||
Non-cash settlement expense |
| — |
| | ||
Non-cash consulting expense |
| — |
| | ||
Changes in operating assets and liabilities: |
|
| ||||
Account receivable |
| — |
| | ||
Prepaid expenses and other assets |
| ( |
| ( | ||
Accounts payable |
| ( |
| ( | ||
Accrued expenses and other liabilities |
| |
| ( | ||
Net cash used in operating activities | ( | ( | ||||
CASH FLOWS FROM INVESTING ACTIVITIES | ||||||
Purchase of computer equipment | ( | ( | ||||
Net cash used in investing activities | ( | ( | ||||
CASH FLOWS FROM FINANCING ACTIVITIES |
| |||||
Proceeds from convertible notes payable, net of discount | | — | ||||
Proceeds from stock option exercise | | |||||
Proceeds from issuance of common stock for exercise of warrant | — | | ||||
Effect of Merger, net of transaction costs | — | | ||||
Proceeds from issuance of common stock and exercise of stock options, net of transaction costs | — | | ||||
Repayment of note payable | ( | — | ||||
Proceeds from issuance of common stock and warrants issued in private placement, net of issuance costs | | | ||||
Repayment of notes payable assumed in Merger | — | ( | ||||
Repayment of notes payable - related party | — | ( | ||||
Net cash provided by financing activities |
| | | |||
Net (decrease) increase in cash and cash equivalents |
| ( | | |||
Cash and cash equivalents at beginning of period |
| | | |||
Cash and cash equivalents at end of period | $ | | $ | | ||
Supplemental disclosure of cash flow information: |
|
| ||||
Non-cash investing and financing activities |
|
| ||||
Reclassification of settlement liability upon issuance of warrant | $ | — | $ | | ||
Issuance of common stock warrants as offering costs | $ | | $ | | ||
Extinguishment of Paycheck Protection Program Loan | $ | — | $ | | ||
Issuance of common stock for consulting services | $ | | $ | — | ||
The accompanying notes are an integral part of these consolidated financial statements.
97
1. Organization
The Business
On May 24, 2021 (“Effective Time”), we consummated the business combination (“Merger”) contemplated by the Agreement and Plan of Merger (as amended, the “Merger Agreement”), dated December 13, 2020, by and among our company (formerly known as Big Rock Partners Acquisition Corp. (“BRPA”)), NeuroRx, Inc., a Delaware corporation (“NeuroRx”), Big Rock Merger Corp., a Delaware corporation and wholly-owned, direct subsidiary of BRPA (“Merger Sub”), pursuant to which Merger Sub was merged with and into NeuroRx, with NeuroRx surviving the Merger. As a result of the Merger, and upon consummation of the Merger and other transactions contemplated by the Merger Agreement, NeuroRx became a wholly-owned, direct subsidiary of BRPA. Upon the closing of the Merger, we changed our name to NRX Pharmaceuticals, Inc., with the stockholders of NeuroRx becoming stockholders of NRX Pharmaceuticals, Inc. Unless the context suggests otherwise, references to “NRx Pharmaceuticals,” “NeuroRx”, “NRXP,” “we,” or the “Company” refer to NRX Pharmaceuticals, Inc. and, where appropriate, its subsidiaries.
The Company is a clinical-stage pharmaceutical company which applies innovative science to known molecules to develop life-saving medicines through its wholly-owned operating subsidiary, NeuroRx. The Company's foundation product, NRX-101 (D-cylcoserine/Lurasidone), for the treatment of bipolar depression in patients with suicidality, has been awarded Fast Track designation, Breakthrough Therapy designation, a Special Protocol Agreement, and a Biomarker Letter of Support by the U.S. Food and Drug Administration (the “FDA”). NRX-101 is covered by multiple U.S. and foreign patents, including a Composition of Matter patent (U.S. Patent No. 10,583,138) that was transferred to NRx Pharmaceuticals by Glytech, LLC.
2. Liquidity
As of December 31, 2022, the Company had $
On February 2, 2022, the Company completed a private placement and issued
On November 4, 2022, the Company entered into a Securities Purchase Agreement (“SPA”) with Streeterville Capital, LLC, a Utah limited liability company (“Lender”), and, pursuant to the SPA, issued to the Lender an unsecured promissory note with a face amount of approximately $11.0 million (the “Note”) before an original issue discount of $1.0 million, which was deducted from the proceeds of the Note.
The Note carries a 9% interest rate, has a term of 18 months from the issuance date (the “Maturity Date”) and is redeemable as described below. Any time after the issuance date, the Company has the right to prepay all or any portion of the outstanding balance of the Note. If the Company exercises its right to prepay the Note, the Company will make payment to the Lender of an amount in cash equal to 110% multiplied by the portion of the outstanding balance the Company elects to pay. Beginning on the date that is six (6) months after the issuance date of the applicable Note, the Lender has the right to redeem up to $1.0 million (“Maximum Monthly Redemption Amount”) of the outstanding balance of such Note per month. Payments may be made by the Company, at the Company’s option, (a) in cash with a 10% premium for the amount redeemed, (b) by paying the redemption amount in the form of shares of Common Stock with the number of redemption shares being equal to the portion of the applicable redemption amount divided by the Redemption Conversion Price or (c) a combination of cash and shares of Common Stock. The “Redemption Conversion Price” shall equal 85% multiplied by the average of the two lowest daily volume weighted average prices per share of the Common Stock during the 15 trading days immediately preceding the date that the Lender delivers notice electing to redeem a portion of the Note. The Company’s right to satisfy the redemption amount in shares of Common Stock is subject to certain limitations, including
98
(i) there not being any Equity Conditions Failure (as defined in the Note) and (ii) the Lender not owning more than 9.99% of the outstanding shares of Common Stock. If the Company elects to prepay the Note prior to the Maturity Date or elects to pay a portion or all of the Maximum Monthly Redemption Amount in cash, it must pay a premium of 10%, subject to certain exceptions. As of the date hereof, the Company did not meet the conditions to repay the Note by the delivery of shares of common stock.
The Company has the right to make the required payments for the above Note in common stock subject to certain conditions including ownership and trading volume limitations. If the Company is not able to make the required payments for the above Note in common stock and must use cash for these payments, management believes that the Company does not have sufficient liquidity to support operations, which are subject to change.
On March 8, 2023, NRx Pharmaceuticals entered into a securities purchase agreement (the “Securities Purchase Agreement”) with accredited investors (the “Investors”), providing for the issuance and sale of 3,866,666 shares of the Company’s common stock (“Common Stock”) and warrants to purchase up to 3,866,666 shares of Common Stock (the “Investor Warrants”) in a registered direct offering priced at-the-market under Nasdaq rules for a purchase price of $0.75 per share (the “Offering”). The Investors have agreed not to transfer the Common Stock for six months following the date hereof. The Investor Warrants will have an exercise price of $0.75 per share, will be initially exercisable beginning six months following the date of issuance (the “Initial Exercise Date”) and will expire 5 years from the Initial Exercise Date. The aggregate gross proceeds to the Company from the Offering are expected to be approximately $2.9 million. The Company intends to use the net proceeds from such offering for working capital and general corporate purposes. The closing of the sale of these securities occurred on March 9, 2023.
The Company plans to pursue additional financing opportunities in 2023 to strengthen its balance sheet similar to the transaction completed in March 2023. In addition, as we execute our business plan over the next 12 months, we will continue to carefully monitor the impact of our continuing operations on our working capital needs and cash balances relative to the availability of cost-effective debt and equity financing.
The Company’s ongoing clinical activities continue to generate losses and net cash outflows from operations. The Company may raise substantial additional funds, and if it does so, it may do so through one or more of the following: issuance of additional debt or equity and/or the completion of a licensing or other commercial transaction for one of the Company’s product candidates. The Company cannot make any assurances that additional financing will be available to it and, if available, on acceptable terms or at all which could negatively impact the Company’s business and operations and could also lead to a reduction in the Company’s operations.
As such, the Company has concluded that substantial doubt exists about the Company’s ability to continue as a going concern for a period of at least twelve months from the date of issuance of these consolidated financial statements.
The accompanying financial statements have been prepared on a going concern basis, which contemplates the realization of assets and satisfaction of liabilities in the ordinary course of business. The financial statements do not include any adjustments relating to the recoverability and classification of recorded asset amounts or the amounts and classification of liabilities that may be necessary if the Company is unable to continue as a going concern.
3. Summary of Significant Accounting Policies
Basis of Presentation
The Company’s financial statements have been prepared in conformity with generally accepted accounting principles in the United States of America (“GAAP”) as determined by Financial Accounting Standards Board (“FASB”) Accounting Standards Codification (“ASC”).
The Merger was accounted for as a reverse recapitalization in accordance with GAAP (the “Reverse Recapitalization”). Under this method of accounting, BRPA is treated as the “acquired” company and NeuroRx is treated as the acquirer for financial reporting purposes.
99
Accordingly, for accounting purposes, the Reverse Recapitalization was treated as the equivalent of NeuroRx issuing stock for the net assets of BRPA, accompanied by a recapitalization. The net assets of BRPA are stated at historical cost, with no goodwill or other intangible assets recorded.
NeuroRx was determined to be the accounting acquirer based on the following predominant factors:
| ● | NeuroRx’s shareholders have the largest portion of voting rights in the Company; |
| ● | the Board and Management are primarily composed of individuals associated with NeuroRx; and |
| ● | NeuroRx was the larger entity based on historical operating activity and NeuroRx had the larger employee base at the time of the Merger. |
The consolidated results of operations prior to the Reverse Recapitalization are those of NeuroRx. The shares and corresponding capital amounts and losses per share, prior to the Merger, have been retroactively restated based on shares reflecting the exchange ratio established in the Merger.
Use of Estimates
The preparation of financial statements requires management to make estimates and assumptions that affect the reported amounts of assets, liabilities and expenses and the disclosure of contingent assets and liabilities in its financial statements and the reported amounts of expenses during the reporting period. The most significant estimates in the Company’s financial statements relate to the convertible note payable, Earnout Cash liability, valuation of common and preferred stock, stock options, warrants, and the valuation allowance of deferred tax assets resulting from net operating losses. These estimates and assumptions are based on current facts, historical experience and various other factors believed to be reasonable under the circumstances, the results of which form the basis for making judgments about the carrying values of assets and liabilities and the recording of expenses that are not readily apparent from other sources. Actual results may differ materially and adversely from these estimates. To the extent there are material differences between the estimates and actual results, the Company’s future results of operations will be affected.
Certain Risks and Uncertainties
The Company’s activities are subject to significant risks and uncertainties including the risk of failure to secure additional funding to properly execute the Company’s business plan. The Company is subject to risks that are common to companies in the pharmaceutical industry, including, but not limited to, development by the Company or its competitors of new technological innovations, dependence on key personnel, reliance on third party manufacturers, protection of proprietary technology, and compliance with regulatory requirements.
Fair Value of Financial Instruments
ASC 820, Fair Value Measurements, provides guidance on the development and disclosure of fair value measurements. Under this accounting guidance, fair value is defined as an exit price, representing the amount that would be received to sell an asset or paid to transfer a liability in an orderly transaction between market participants at the measurement date. As such, fair value is a market-based measurement that should be determined based on assumptions that market participants would use in pricing an asset or a liability.
The accounting guidance classifies fair value measurements in one of the following three categories for disclosure purposes:
Level 1: Quoted prices in active markets for identical assets or liabilities.
Level 2: Inputs other than Level 1 prices for similar assets or liabilities that are directly or indirectly observable in the marketplace.
100
Level 3: Unobservable inputs which are supported by little or no market activity and values determined using pricing models, discounted cash flow methodologies, or similar techniques, as well as instruments for which the determination of fair value requires significant judgment or estimation. (Refer to Note 11)
Concentration of Credit Risk and Off-Balance Sheet Risk
Financial instruments that potentially expose the Company to concentrations of credit risk consist primarily of cash and cash equivalents. Cash equivalents are occasionally invested in certificates of deposit. The Company maintains each of its cash balances with high-quality and accredited financial institutions and accordingly, such funds are not exposed to unusual credit risk beyond the normal credit risk associated with commercial banking relationships. The Company maintains a portion of its cash and cash equivalent balances in the form of a money market account with a financial institution that management believes to be creditworthy.
Cash and Cash Equivalents
The Company considers all highly liquid investments with an original maturity of three months or less at the time of initial purchase to be cash equivalents, including balances held in the Company’s money market accounts. The Company maintains its cash and cash equivalents with financial institutions, in which balances from time to time may exceed the U.S. federally insured limits. The objectives of the Company’s cash management policy are to safeguard and preserve funds to maintain liquidity sufficient to meet the Company’s cash flow requirements, and to attain a market rate of return.
Research and Development Costs
The Company’s research and development expenses consist primarily of costs associated with the Company’s clinical trials, salaries, payroll taxes, employee benefits, and stock-based compensation charges for those individuals involved in ongoing research and development efforts. Research and development costs are expensed as incurred. Advance payments for goods and services that will be used in future research and development activities are expensed when the activity has been performed or when the goods have been received.
Convertible Note Payable
As permitted under Financial Accounting Standards Board ("FASB”) Accounting Standards Codification ("ASC”) Topic 825, Financial Instruments ("ASC 825”), the Company elects to account for its convertible promissory note, which meets the required criteria, at fair value at inception and at each subsequent reporting date. Subsequent changes in fair value are recorded as a component of non-operating loss in the consolidated statements of operations. As a result of electing the fair value option, direct costs and fees related to the convertible promissory notes are expensed as incurred.
The Company estimates the fair value of the convertible note payable using a Monte Carlo simulation model, which uses as inputs the fair value of our common stock and estimates for the equity volatility and volume volatility of our common stock, the time to expiration of the convertible note, the risk-free interest rate for a period that approximates the time to expiration, and probability of default. Therefore, we estimate our expected future volatility based on the actual volatility of our common stock and historical volatility of our common stock utilizing a lookback period consistent with the time to expiration. The time to expiration is based on the contractual maturity date, giving consideration to the mandatory and potential accelerated redemptions beginning six months from the issuance date. The risk-free interest rate is determined by reference to the U.S. Treasury yield curve in effect at the time of measurement for time periods approximately equal to the time to expiration. Probability of default is estimated using Bloomberg's Default Risk function which uses our financial information to calculate a default risk specific to the Company.
Stock-Based Compensation
The Company expenses stock-based compensation to employees and non-employees over the requisite service period based on the estimated grant-date fair value of the awards. The Company accounts for forfeitures as they occur. Stock-based awards with graded-vesting schedules are recognized on a straight-line basis over the requisite service period for each separately vesting portion of the award. The Company estimates the fair value of stock option grants using the Black-
101
Scholes option pricing model, and the assumptions used in calculating the fair value of stock-based awards represent management’s best estimates and involve inherent uncertainties and the application of management’s judgment. All stock-based compensation costs are recorded in general and administrative or research and development costs in the consolidated statements of operations based upon the underlying individual’s role at the Company.
Modification of stock options and warrants
A change in any of the terms or conditions of stock options and warrants is accounted for as a modification. For a Type 1 (probable-to-probable) modification, incremental stock-based compensation cost is measured as the excess, if any, of the fair value of the modified option/warrant over the fair value of the original option/warrant immediately before its terms are modified, measured based on the fair value of the shares and other pertinent factors at the modification date. For vested stock options and warrants to board members, we recognize incremental compensation cost in the period the modification occurs. For unvested stock options, we recognize over the remaining requisite service period, the sum of the incremental compensation cost and the remaining unrecognized compensation cost for the original award on the modification date. If the fair value of the modified option is lower than the fair value of the original option immediately before modification, the minimum compensation cost we recognize is the cost of the original award. The accounting for incremental fair value of warrants is based on the specific facts and circumstances related to the modification which may result in a reduction of additional paid-in capital, recognition of costs for services rendered, or recognized as a deemed dividend.
Warrants
The Company accounts for warrants as either equity-classified or liability-classified instruments based on an assessment of the warrant’s specific terms and applicable authoritative guidance in ASC 480, Distinguishing Liabilities from Equity (“ASC 480”) and ASC 815, Derivatives and Hedging (“ASC 815”). The assessment considers whether the warrants are freestanding financial instruments pursuant to ASC 480, meet the definition of a liability pursuant to ASC 480, and whether the warrants meet all of the requirements for equity classification under ASC 815, including whether the warrants are indexed to the Company’s own common stock and whether the warrant holders could potentially require “net cash settlement” in a circumstance outside of the Company’s control, among other conditions for equity classification. This assessment, which requires the use of professional judgment, is conducted at the time of warrant issuance and as of each subsequent quarterly period end date while the warrants are outstanding.
For issued or modified warrants that meet all of the criteria for equity classification, the warrants are required to be recorded as a component of additional paid-in capital at the time of issuance. For issued or modified warrants that do not meet all the criteria for equity classification, the warrants are required to be liability classified and recorded at their initial fair value on the date of issuance and remeasured at fair value and each balance sheet date thereafter. Changes in the estimated fair value of the warrants are recognized as a non-cash gain or loss on the statements of operations. The fair value of the Placement Warrants was estimated using a Black Scholes valuation approach and the fair value of the Substitute Warrants was estimated using a modified Black Scholes valuation approach which applies a probability factor based on the probabilities of achieving Earnout Cash Milestone and/or Earnout Shares Milestone at each reporting period (see Notes 9 and 11).
Income Taxes
Income taxes are recorded in accordance with ASC 740, Income Taxes (“ASC 740”), which provides for deferred taxes using an asset and liability approach. The Company recognizes deferred tax assets and liabilities for the expected future tax consequences of events that have been included in the financial statements or tax returns. Deferred tax assets and liabilities are determined based on the difference between the financial statement and tax basis of assets and liabilities using enacted tax rates in effect for the year in which the differences are expected to reverse. Valuation allowances are provided, if based upon the weight of available evidence, it is more likely than not that some or all of the deferred tax assets will not be realized. The Company accounts for uncertain tax positions in accordance with the provisions of ASC 740. When uncertain tax positions exist, the Company recognizes the tax benefit of tax positions to the extent that the benefit would more likely than not be realized assuming examination by the taxing authority. The determination as to whether the tax benefit will more likely than not be realized is based upon the technical merits of the tax position as well
102
as consideration of the available facts and circumstances. The Company recognizes any interest and penalties accrued related to unrecognized tax benefits as income tax expense.
Loss Per Share
Basic loss per share of common stock is computed by dividing net loss attributable to common stockholders by the weighted average number of shares of common stock outstanding for the period. Diluted earnings per share excludes, when applicable, the potential impact of stock options, common stock warrant shares, convertible notes, and other dilutive instruments because their effect would be anti-dilutive in the periods in which the Company incurs a net loss.
The following outstanding shares of common stock equivalents were excluded from the computation of the diluted net loss per share attributable to common stock for the periods in which a net loss is presented because their effect would have been anti-dilutive.
December 31, | ||||
2022 |
| 2021 | ||
Stock options | |
| | |
Restricted stock awards | | — | ||
Common stock warrants | |
| | |
Earnout Shares | — | | ||
Earnout Shares from exercised Substitute Options and Substitute Warrants | — | | ||
Recent Accounting Pronouncements
From time to time, new accounting pronouncements are issued by the FASB or other standard setting bodies and are adopted by the Company as of the specified effective date. For the year ended December 31, 2022, there were no new accounting pronouncements that management believes materially affect the Company’s present or future results of operations, overall financial condition, liquidity or disclosures.
4. Reverse Recapitalization
As discussed in Note 1, on May 24, 2021 (the “Closing Date”), BRPA closed the Merger with NeuroRx, as a result of which NeuroRx became a wholly-owned subsidiary of BRPA. While BRPA was the legal acquirer of NeuroRx in the Merger, for accounting purposes, the Merger is treated as a Reverse Recapitalization, whereby NeuroRx is deemed to be the accounting acquirer, and the historical financial statements of NeuroRx became the historical financial statements of BRPA (renamed NRX Pharmaceuticals, Inc.) upon the closing of the Merger. Under this method of accounting, BRPA is treated as the “acquired” company and NeuroRx is treated as the acquirer for financial reporting purposes. Accordingly, for accounting purposes, the Merger was treated as the equivalent of NeuroRx issuing stock for the net assets of BRPA, accompanied by a recapitalization. The net assets of BRPA were stated at historical cost, with no goodwill or other intangible assets recorded.
Pursuant to the Merger Agreement, the aggregate consideration payable to stockholders of NeuroRx at the Closing Date consists of
In addition, the stockholders of NeuroRx who owned NeuroRx securities immediately prior to the Effective Time received the contingent right to receive the Earnout Shares and Earnout Cash (each as defined below). At the Effective Time, each outstanding share of NeuroRx common stock, including shares of NeuroRx common stock resulting from the conversion of outstanding shares of NeuroRx preferred stock was converted into the right to receive a pro rata portion of the contingent
103
right to receive a pro rata portion of the Earnout Shares and Earnout Cash after consideration of the Substitute Options and Substitute Warrants (as further discussed below).
Pursuant to the terms of the Merger Agreement, NeuroRx’s stockholders who owned NeuroRx securities immediately prior to the Effective Time had the contingent right to receive their pro rata portion of (i) an aggregate of
Each option and warrant of NeuroRx that was outstanding and unexercised immediately prior to the Effective Time (whether vested or unvested) was assumed by BRPA and converted into an option or warrant to acquire an adjusted number of shares of Common Stock at an adjusted exercise price per share, in each case, pursuant to the terms of the Merger Agreement (the “Substitute Options” and the “Substitute Warrants,” respectively), based on an exchange ratio of 4.96:1 (the “Option Exchange Ratio”), and would continue to be governed by substantially the same terms and conditions, including vesting, as were applicable to the original instruments.
As neither the Earnout Shares Milestone nor the Earnout Cash Milestone occurred, each Substitute Option and Substitute Warrant was adjusted based on the Exchange Ratio. For the Substitute Options and Substitute Warrants that were exercised prior to December 31, 2022, NRx Pharmaceuticals retained any shares forfeited by the option or warrant holders in connection with the adjustment.
In connection with the Merger, a number of subscribers (each, a “Subscriber”) purchased from the Company an aggregate of
The following table reconciles the elements of the Merger to the Consolidated Statement of Cash Flows for the year ended December 31, 2021 (in thousands):
| Recapitalization | ||
Cash - BRPA trust and cash, net of redemptions | $ | | |
Cash - PIPE financing, net of transaction costs |
| | |
Less: transaction costs and advisory fees allocated to NRXP equity |
| ( | |
Effect of Merger, net of redemptions and transaction costs | $ | | |
104
The following table reconciles the elements of the Merger to the Consolidated Statements of Changes in Stockholders' Equity (Deficit) for the year ended December 31, 2021 (in thousands):
| Recapitalization | ||
Cash - BRPA trust and cash, net of redemptions | $ | | |
Non-cash net working capital assumed from BRPA |
| ( | |
Less: notes payable assumed from BRPA |
| ( | |
Less: fair value of assumed Placement Warrants |
| ( | |
Less: fair value of Earnout Cash |
| ( | |
Less: transaction costs and advisory fees allocated to NRXP equity |
| ( | |
Effect of Merger, net of redemptions and transaction costs | $ | ( | |
The following table details the number of shares of common stock issued immediately following the consummation of the Merger:
| Number of Shares | |
Common stock, outstanding prior to Merger |
| |
Less: redemption of BRPA shares |
| ( |
Common stock of BRPA |
| |
BRPA Founder and private shares, net of forfeited shares of |
| |
Shares issued in PIPE Financing |
| |
Shares issued for services |
| |
Shares issued pursuant to conversion of Public and Private Rights |
| |
Merger and PIPE financing shares - common stock |
| |
NeuroRx shares - common stock (1) |
| |
Total shares of common stock immediately after Merger |
| |
| (1) | The number of NeuroRx common stock was determined from the |
5. Prepaid Expenses and Other Current Assets
Prepaid expenses and other current assets consisted of the following at the dates indicated (in thousands):
December 31, | ||||||
| 2022 | 2021 | ||||
Prepaid expenses and other current assets: |
|
|
| |||
Prepaid insurance | $ | | $ | | ||
Prepaid clinical development expenses | | | ||||
Other prepaid expenses | | | ||||
Prepaid legal expenses |
| |
| — | ||
Other current receivables | | — | ||||
Prepaid manufacturing expenses |
| — |
| | ||
Total prepaid expenses and other current assets | $ | | $ | | ||
105
6. Accrued and Other Current Liabilities
Accrued and other current liabilities consisted of the following at the dates indicated (in thousands):
| December 31, | |||||
2022 | 2021 | |||||
Accrued and other current liabilities: | ||||||
Other accrued expenses | $ | | $ | | ||
Accrued research and development expenses |
| |
| | ||
Accrued employee expenses | | $ | | |||
Professional services | | | ||||
Total accrued and other current liabilities | $ | | $ | | ||
7. Debt
Relief Therapeutics Loan
On April 6, 2020, the Company entered into a loan agreement (the “Relief Therapeutics Loan”) with Relief Therapeutics Holding S.A. (“Relief Therapeutics”) in the amount of $
Convertible Note
On November 4, 2022, the Company entered into a Securities Purchase Agreement (“SPA”) with Streeterville Capital, LLC, a Utah limited liability company (“Lender”), and, pursuant to the SPA, issued to the Lender an unsecured promissory note with a face amount of approximately $
The Note carries a
The Company has the right to make the required payments for the above Note in common stock subject to certain conditions including ownership and trading volume limitations. If the Company is not able to make the required payments for the above Note in common stock and must use cash for these payments, management believes that the Company does not have sufficient liquidity to support operations, which are subject to change.
106
Beginning May 1, 2023, in the event (a) the daily dollar trading volume of the Common Stock of the Company on any given trading day is at least fifty percent (50%) greater than the lower of (i) the median daily dollar trading volume over the previous ten (10) trading days or (ii) the daily dollar trading volume on the trading day immediately preceding the date of measurement or (b) if the closing trade price on any given trading day is at least thirty percent (30%) greater than the Nasdaq Minimum Price (as defined in the Note), then the Lender will be entitled to redeem over the following ten (10) trading days an amount of indebtedness then outstanding under the Note equal to twice (2x) the monthly redemption amount of $1.0 million solely by payment by Common Stock, subject to maximum percentage (4.99%) and other ownership limitations under the SPA and the Note.
The Note contains certain Trigger Events (as defined in the Note) that generally, if uncured within five (5) trading days, may result in an event of default in accordance with the terms of the Notes (such event, an “Event of Default”). Upon an Event of a Default, the Lender may consider the Note immediately due and payable. Upon an Event of Default, the interest rate may also be increased to the lesser of 18% per annum or the maximum rate permitted under applicable law.
Due to these embedded features within the Note, the Company elected to account for the Note at fair value at inception. Subsequent changes in fair value are recorded as a component of other income (loss) in the Consolidated Statements of Operations.
The Company estimates the fair value of the convertible note payable using a Monte Carlo simulation model, which uses as inputs the fair value of our common stock and estimates for the equity volatility and volume volatility of our common stock, the time to expiration of the convertible note, the risk-free interest rate for a period that approximates the time to expiration, and probability of default. Therefore, we estimate our expected future volatility based on the actual volatility of our common stock and historical volatility of our common stock utilizing a lookback period consistent with the time to expiration. The time to expiration is based on the contractual maturity date, giving consideration to the mandatory and potential accelerated redemptions beginning six months from the issuance date. The risk-free interest rate is determined by reference to the U.S. Treasury yield curve in effect at the time of measurement for time periods approximately equal to the time to expiration. Probability of default is estimated using Bloomberg's Default Risk function which uses our financial information to calculate a default risk specific to the Company.
The discount to the principal amount is included in the carrying value of the Note. During 2022, the Company recorded a debt discount of approximately $1.0 million upon issuance of the Note for the original issue discount of $1.0 million. As a result of electing the fair value option, any direct costs and fees related to the Note was expensed as incurred. For the year ended December 31, 2022, the Company recorded a change in fair value of approximately $0.5 million related to the change in fair value of the Note which was recognized in other income (expense) on the Consolidated Statement of Operations as a result of the Company’s election of the fair value option.
The following table presents the Note as of December 31, 2022:
December 31, 2022 | |||
Par value of the Note | $ | | |
Debt discount, net | ( | ||
Carrying value of the Note | | ||
Change in fair value of Note | | ||
Total carrying value of Note | $ | | |
Convertible note payable - current portion | $ | | |
Convertible note payable, net of current portion | $ | | |
107
8. Commitments and Contingencies
Operating Lease
The Company leases office space on a month-to-month basis. The rent expense for the years December 31, 2022 and 2021 was $
Sponsored Research Agreement with National Jewish Health
On February 8, 2021, the Company entered into a Sponsored Research Agreement (“Research Agreement”) with National Jewish Health (“NJ Health”), a Colorado not-for-profit institution. Under the terms of the Research Agreement, the Company agreed to sponsor a research study at NJ Health relating to the impact of the Company’s' Aviptadil on propagation of SARS-CoV-2 in alveolar type II cells in vitro (the “Study”). In return for performance of the Study under the Research Agreement, the Company has committed to pay NJ Health approximately $
Relief Therapeutics Collaboration Agreement
On September 18, 2020, the Company entered into a collaboration agreement (the “Collaboration Agreement”) with Relief Therapeutics for the clinical development and, if approved, the sale of Aviptadil. The Collaboration Agreement provides for funding by Relief Therapeutics of certain clinical trials, formulation and manufacturing of Aviptadil, as well as establishing specified sales territories for each party and share of the profits in those territories for “Product” as defined in the Collaboration Agreement. On October 6, 2021, Relief Therapeutics filed a lawsuit against the Company and its former CEO claiming that the Company failed to honor its obligations under the Collaboration Agreement, which was followed by a counter claim from the Company for breach and repudiation of the Collaboration Agreement by Relief Therapeutics.
On November 12, 2022, NRx Pharmaceuticals, Inc. (“NRx” or the “Company”) entered into a Settlement Agreement and Asset Purchase Agreement (“APA”) with Relief Therapeutics Holding AG and Relief Therapeutics International (the “Relief Parties”) to settle the outstanding lawsuit with respect to the Collaboration Agreement.
Under the APA, the Company transferred to the Relief Parties all of the Company’s interest in ZYESAMI (or the “Product” as such term is defined in the Collaboration Agreement), including intellectual property, FDA applications, clinical trial data, drug and API inventory and certain contractual rights. The Company has agreed to refrain from developing any product for any indication that uses or otherwise exploits the Product without the Relief Parties’ consent.
The Relief Parties have agreed to use commercially reasonable efforts to develop, market, and commercialize the Product, but has sole discretion to select the indications for which it will seek to develop the Product. Although the Company intends to monitor the progress of the Relief Parties under the APA and enforce the Company’s rights thereunder, there can be no assurances that the Relief Parties will be successful at commercializing the Product.
Upon commercial launch of the Product by the Relief Parties or any of their affiliates, licensees or sublicensees (or upon authorization of use for any indication of the Product other than COVID-19), the Company is entitled to receive milestone payments in stages up to an aggregate amount of $
Mutual indemnity provisions in the APA will protect each party from any breaches of the settlement arrangements by the other party, provided, that the Company’s indemnity obligations will not start until the Relief Parties have begun making royalty or milestone payments to NRx, subject to certain exceptions. With respect to the Company, there is an indemnity threshold such that the Company will not be liable for any indemnity claims until such claims are in excess of $
108
agreements. Additionally, subject to certain exceptions, the Company’s indemnity obligations cannot exceed the amount that the Relief Parties actually pay to the Company for milestone and royalty payments. The parties have 30 days to implement the agreed actions and achieve closing under the APA, at which time all claims and counterclaims between the Company and the Relief Parties will be dismissed with prejudice.
Legal Proceedings
From time to time the Company is involved in litigation, claims, and other proceedings arising in the ordinary course of business. Litigation and other disputes are inherently unpredictable and subject to substantial uncertainties and unfavorable resolutions could occur.
Share Subscription Facility Agreement - GEM
NeuroRx entered into a share subscription facility agreement (“GEM Agreement”) with GEM Global Yield LLC SCS and GEM Yield Bahamas Limited (collectively, referred to as “GEM”) with a
In November 2020, GEM introduced NeuroRx to BRPA. To resolve uncertainties around the application of the GEM Agreement post-Merger, NeuroRx and GEM agreed in March 2021 to issue a warrant to GEM and for the parties to use their good faith efforts to amend the GEM Agreement to meet U.S. requirements to issue registered shares. The warrant was not conditional upon any further events or completion of the merger.
The warrant was issued March 28, 2021, for
As of December 31, 2020, the Company recognized a contingent liability for its obligation to issue to GEM certain equity instruments at a discounted per share price. Specifically, as the amount was deemed probable and estimable at December 31, 2020, NeuroRx recorded a liability and settlement expense of $
The GEM Warrants that were not exercised as of the Merger were modified and became Substitute Warrants
On August 12, 2022, the Company received a demand for arbitration (the “Demand”) from GEM. The Demand claims that the Company’s subsidiary, NeuroRx, failed to satisfy its obligation to pay GEM a commitment fee in the amount of HK$
109
9. Equity
Common Stock
The Company sold
The Company issued
The Company sold
Pursuant to the Merger Agreement, BRPA and EarlyBirdCapital, Inc., the representative of the underwriters of BRPA’s initial public offering (“EBC”), entered into an amendment (“BCMA Amendment Agreement”) to the Business Combination Marketing Agreement, dated as of November 20, 2017 (“BCMA”), by and between BRPA and EBC. The BCMA Amendment Agreement provided that, in lieu of the cash fee payable to EBC pursuant to the BCMA, BRPA will issue to EBC at the Effective Time an aggregate of
BriLife Vaccine, VaccineCo Agreement and Issuance of Shares
On July 11, 2021, the Company entered into a Memorandum of Understanding (the “MOU”) with the Ministry of Defense of the State of Israel that granted NRx the right to negotiate an exclusive worldwide license to develop and market the BriLifeTM vaccine, which has been developed by the Israel Institute for Biological Research (“IIBR”). However, after investigating the manufacturing requirements of the vaccine, the expected regulatory path for approval in Israel and the EU, the commercial opportunity, and the financial commitment required for development of the vaccine, the Company decided not to continue with the project. This decision was communicated to the IIBR in a letter dated March 20, 2022.
As part of the Company’s consideration of the vaccine project, the Company entered into a Shareholder Agreement, dated October 15, 2021 (the “Agreement”), with Shimshon Hen and David Sepiashvili, each an Israeli citizen (the “Consultants”), under which the Consultants agreed to provide certain consulting services, and which set out a framework for establishing a potential joint venture between the Consultants and the Company that would have been responsible for the development and commercialization of the BriLife vaccine. Pursuant to the terms of the Agreement, the Company issued an aggregate of
110
Preferred Stock
Upon closing of the Merger, pursuant to the terms of the Second Amended and Restated Certificate of Incorporation, the Company authorized
Series A, B-1, and B-1A Preferred Stock
Prior to the Merger, the Company had authorized and issued
On May 24, 2021, pursuant to the Merger (as described in Note 4),
Series B-2 Preferred Stock
In 2020, the Company authorized the issuance of
On May 24, 2021, pursuant to the Merger (as described in Note 4),
Common Stock Warrants
Substitute Warrants
As discussed in Note 4, in connection with the Merger, each warrant of NeuroRx that was outstanding and unexercised immediately prior to the Effective Time (whether vested or unvested) was assumed by BRPA and converted into the Substitute Warrants, based on the Option Exchange Ratio (of
111
As neither the Earnout Shares Milestone nor the Earnout Cash Milestone occurred prior to December 31, 2022, each Substitute Warrant was adjusted based on the Exchange Ratio (
Upon the closing of the Merger, all outstanding and unexercised NeuroRx warrants became warrants to purchase an aggregate
With respect to warrants held by certain members of our Board of Directors, the Substitute Warrants were determined to be within the scope of ASC 718. For the portion of the warrants subject to the base Exchange Ratio (
For any remaining outstanding warrants, as the warrant holders were no longer providing services at the date of the modification, in accordance with ASC 815, the Company concluded that the provisions in the Merger Agreement related to the Earnout Shares Milestone and the Earnout Cash Milestone and the contingent right to receive additional shares for these provisions precluded these Substitute Warrants from being accounted for as components of equity. As these Substitute Warrants meet the definition of a derivative as contemplated in ASC 815, the Substitute Warrants were recorded as derivative liabilities on the balance sheet and measured at fair value at inception (on the date of the Merger) and at each reporting date in accordance with ASC 820, Fair Value Measurement, with changes in fair value recognized in the Statements of Operations in the period of change. On May 24, 2021, the Company recorded a warrant liability of $
The Company recognized a loss on the change in fair value of the Substitute Warrants for the years ended December 31, 2022 and 2021 of less than $
As discussed above the GEM Substitute Warrants were exercised in July 2021, and changes in the fair value of the warrant liability through the date of exercise were recognized in the statement of operations and upon exercise any remaining instruments were reclassified to additional paid-in capital and includes associated escrow shares for the contingent earnouts.
112
The fair value of the original NeuroRx warrants and Substitute Warrants as of the Merger Date was determined using the Black-Scholes option-pricing model with the following assumptions for each:
| Original Warrants |
| Substitute Warrants |
| |||
Strike price | $ | $ | |||||
Volatility rate |
|
| |||||
Risk-free rate |
|
| |||||
Expected term |
|
| |||||
Dividend yield |
| — |
| — | |||
Assumed Public Warrants
Prior to the Merger, the Company had
The Company may redeem the Public Warrants:
| ● | in whole and not in part; |
| ● | at a price of $ |
| ● | at any time during the exercise period; |
| ● | upon a minimum of |
| ● | if, and only if, the last sale price of the Company’s common stock equals or exceeds $ |
| ● | if, and only if, there is a current registration statement in effect with respect to the shares of common stock underlying such warrants. |
Certain of the above conditions have not been met to redeem the Public Warrants. If the Company calls the Public Warrants for redemption, management will have the option to require all holders that wish to exercise the Public Warrants to do so on a “cashless basis,” as described in the warrant agreement.
The exercise price and number of shares of common stock issuable upon exercise of the warrants may be adjusted in certain circumstances including in the event of a stock dividend, or recapitalization, reorganization, merger or consolidation. However, the warrants will not be adjusted for issuance of common stock at a price below its exercise price. Additionally, in no event will the Company be required to net cash settle the warrants.
During the year ended December 31, 2022
Assumed Placement Warrants
Prior to the Merger, the Company had outstanding
113
The Placement Warrants are not indexed to the Company’s common shares in the manner contemplated by ASC 815-40-15 because the holder of the instrument is not an input into the pricing of a fixed-for-fixed option on equity shares. The Company classifies the Placement Warrants as derivative liabilities in its Consolidated Balance Sheet as of December 31, 2022. The Company measures the fair value of the warrants at the end of each reporting period and recognizes changes in the fair value from the prior period in the Company’s operating results for the current period.
The Company recognized a gain on the change in fair value of the Placement Warrants for the years ended December 31, 2022 and 2021 of $
The following table provides the activity for all warrants for the respective periods.
| Weighted |
|
| ||||||
Average | Weighted | Aggregate | |||||||
Remaining | Average | Intrinsic Value | |||||||
Total Warrants | Term | Exercise Price | (in thousands) | ||||||
Outstanding as of December 31, 2020 (as previously reported) | |
| $ | | $ | | |||
Retroactive application of reverse recapitalization (Note 4) | | — | ( | — | |||||
Outstanding as of December 31, 2020, effect of Merger (Note 4) | | | | ||||||
Issued | | | | ||||||
Assumed | | | | ||||||
Exercised | ( | — | ( | ( | |||||
Forfeited | ( | — | ( | ( | |||||
Outstanding as of December 31, 2021 | | | | ||||||
Issued | | | — | ||||||
Expired | ( | ( | — | ||||||
Outstanding as of December 31, 2022 | | $ | | $ | — | ||||
Preferred Investment Options (included in above warrants table)
On February 2, 2022, the Company completed a private placement and issued
The form of the Preferred Investment Option is a warrant. The measurement of fair value was determined utilizing a Black-Scholes model considering all relevant assumptions current at February 2, 2022, the date of issuance (i.e., share price of $
In addition, on February 2, 2022, the Company issued fully vested Preferred Investment Options to the placement agent with an exercise price of $
114
10. Stock-Based Compensation
2016 Omnibus Incentive Plan
Prior to the Merger, NeuroRx maintained its 2016 Omnibus Incentive Plan (the “2016 Plan”), under which NeuroRx granted incentive stock options, restricted stock awards, other stock-based awards, or other cash-based awards to employees, directors, and non-employee consultants. The maximum aggregate shares of common stock that were subject to awards and issuable under the 2016 Plan was
In connection with the Merger, each option of NeuroRx that was outstanding and unexercised immediately prior to the Effective Time (whether vested or unvested) was assumed by BRPA and converted into an option to acquire an adjusted number of shares of Common Stock at an adjusted exercise price per share (the “Substitute Options”), based on the Option Exchange Ratio (of
As neither the Earnout Shares Milestone nor the Earnout Cash Milestone were achieved prior to December 31, 2022, each Substitute Option was adjusted based on the Exchange Ratio and the portion of the Substitute Options related to Earnout Shares were cancelled. For the Substitute Options that were exercised prior to December 31, 2022, NRx Pharmaceuticals retained and retired the outstanding shares forfeited by the option holders in connection with the adjustment.
As stated in the Merger Agreement, for the Substitute Options which were exercised prior to December 31, 2022, NRx Pharmaceuticals retained the shares forfeited by the option holders in connection with the adjustment.
Upon the closing of the Merger, the outstanding and unexercised NeuroRx stock options became options to purchase an aggregate
| Original Options |
| Substitute Options | ||||
Strike price | $ | $ | |||||
Volatility rate |
|
| |||||
Risk-free rate |
|
| |||||
Expected term |
|
| |||||
Dividend yield |
| — |
| — | |||
The Substitute Options contain both service-based and performance-based vesting conditions (i.e., the achievement of the Earnout Cash Milestone and/or Earnout Shares Milestone). The Company determined it was not probable that the Earnout Cash Milestone or Earnout Shares Milestone would be met on the Effective Date and was not achieved at December 31, 2022. Accordingly, the Company only recognized incremental compensation cost related to the portion of the Substitute Options subject to service-based vesting conditions only.
115
For vested Substitute Options, the Company recognized incremental compensation on the modification date totaling $
2021 Omnibus Incentive Plan
At the Effective Time, the Company adopted the 2021 Omnibus Incentive Plan (the “2021 Plan”). As of December 31, 2022,
Option Awards
The fair value of each employee and non-employee stock option grant is estimated on the date of grant using the Black-Scholes option-pricing model. The Company is a public company and has limited company-specific historical and implied volatility information. Therefore, it estimates its expected stock volatility based on the limited company-specific historical volatility and implied volatility as well as historical volatility of a publicly traded set of peer companies. The expected term of the Company’s stock options for employees has been determined utilizing the “simplified” method for awards. The risk-free interest rate is determined by reference to the U.S. Treasury yield curve. Expected dividend yield is zero based on the fact that the Company has never paid cash dividends and does not expect to pay any cash dividends in the foreseeable future. Additionally, certain options granted contain terms that require all unvested options to immediately vest a) upon the approval of a New Drug Application (NDA) by the FDA for NRX-101, or b) immediately preceding a change in control of the Company, whichever occurs first.
The grant date fair value of employee and non-employee stock option awards is determined using the Black Scholes option-pricing model. The following assumptions were used during the following periods:
December 31, | ||||||
| 2022 | 2021 | ||||
Exercise price |
| $ | $ | |||
Risk-free rate of interest |
|
| ||||
Expected term (years) |
|
| ||||
Expected stock price volatility |
|
| ||||
Dividend yield |
| |
| | ||
The following table summarizes the Company’s employee and non-employee stock option activity under the Plan for the following periods:
Weighted | Aggregate | ||||||||
Weighted | average | intrinsic | |||||||
Number of | average | remaining | value | ||||||
shares |
| exercise price |
| term (years) |
| (in thousands) | |||
Outstanding as of December 31, 2020 (as previously reported) | | $ | | $ | $ | | |||
116
Retroactive application of reverse recapitalization (Note 4) | | ( | — | — | |||||
Outstanding as of December 31, 2020, effect of Merger (Note 4) | | $ | | $ | | ||||
Options granted | | | | ||||||
Forfeited | ( | ( | ( | ||||||
Exercised | ( | ( | ( | ||||||
Outstanding as of December 31, 2021 | | $ | | $ | | ||||
Options granted | | | — | ||||||
Forfeited | ( | ( | (0.6) | — | |||||
Expired | ( | ( | — | ||||||
Exercised | ( | ( | (3.2) | — | |||||
Outstanding as of December 31, 2022 | | $ | ( | (3.2) | $ | | |||
Options vested and exercisable as of December 31, 2022 | | $ | | $ | | ||||
The weighted average grant date fair value per share for employee stock and non-employee option grants during the years ended December 31, 2022 and 2021, were $
The following table summarizes the Company’s recognition of stock-based compensation for the following periods (in thousands):
Years Ended December 31, | |||||
2022 |
| 2021 | |||
Stock-based compensation expense |
|
|
| ||
General and administrative | $ | | $ | | |
Research and development |
| |
| | |
Total stock-based compensation expense | $ | | $ | | |
Restricted Stock Awards
The following table presents the Company’s Restricted Stock Activity:
Awards | Weighted Average Grant Date Fair Value | |||
Balance as of December 31, 2021 | - | - | ||
Granted | | $ | ||
Unvested Balance as of December 31, 2022 | | $ |
On July 12, 2022, the Board granted an award of
As of December 31, 2022, total unrecognized compensation expense related to unvested RSAs granted was approximately $
Stock-based compensation expense related to RSAs was less than $
117
11. Fair Value Measurements
Fair value measurements discussed herein are based upon certain market assumptions and pertinent information available to management as of and during the years ended December 31, 2022 and 2021. The carrying amount of accounts payable approximated fair value as they are short term in nature. The fair value of warrants issued for settlement and services are estimated based on the Black-Scholes model during the years ended December 31, 2022 and 2021. The estimated fair value of our long-term debt approximates its carrying value, as the interest rate is in line with the market interest rates for this type of debt (see Note 7 – Debt for additional information). The carrying value of notes payable approximated the estimated fair values due to their recent issuances. The fair value of the convertible note payable was estimated utilizing a Monte Carlo simulation during the year ended December 31, 2022.
Fair Value on a Recurring Basis
The Company follows the guidance in ASC 820 for its financial assets and liabilities that are re-measured and reported at fair value at each reporting period, and non-financial assets and liabilities that are re-measured and reported at fair value at least annually. The estimated fair value of the money market account represents a Level 1 measurement. The estimated fair value of the warrant liabilities and Earnout Cash contingent consideration represent Level 3 measurements.
December 31 | December 31 | |||||||
Description |
| Level |
| 2022 | 2021 | |||
Assets: | ||||||||
Money Market Account | 1 | $ | | $ | | |||
Liabilities: | ||||||||
Warrant liabilities (Note 10) | 3 | $ | | $ | | |||
Earnout Cash liability (Note 4) | 3 | $ | — | $ | | |||
Convertible note payable (Note 7) |
| 3 | $ | | $ | | ||
Convertible Note Payable
The following table sets forth a summary of the changes in the fair value of the Company’s convertible note payable categorized within Level 3 of the fair value hierarchy:
December 31, 2022 | |||
Par value of the Note | $ | | |
Debt discount, net | ( | ||
Carrying value of the Note | | ||
Change in fair value of Note | | ||
Total carrying value of Note | $ | | |
Convertible note payable - current portion | $ | | |
Convertible note payable, net of current portion | $ | | |
Warrant liabilities
The Company utilizes a Black-Scholes model approach to value the Placement Warrants at each reporting period, with changes in fair value recognized in the statement of operations. The Company uses a modified Black-Scholes model approach for the Substitute Warrants which applies a probability factor based on the probabilities of achievement of the
118
Earnout Cash Milestone and/or Earnout Shares Milestone at each reporting period, with changes in fair value recognized in the statement of operations. The estimated fair value of the warrant liabilities is determined using Level 3 inputs. Inherent in a Black Scholes options pricing model are assumptions related to expected share-price volatility, expected life, risk-free interest rate and dividend yield. The Company estimates the volatility of its common stock based on historical and peer company volatility that matches the expected remaining life of the warrants. The risk-free interest rate is based on the U.S. Treasury zero-coupon yield curve on the grant date for a maturity similar to the expected remaining life of the warrants. The expected life of the warrants is assumed to be equivalent to their remaining contractual term. The dividend rate is based on the historical rate, which the Company anticipates to remain at zero.
The significant inputs used in the Black-Scholes model to measure the warrant liabilities that are categorized within Level 3 of the fair value hierarchy are as follows:
| December 31, 2022 |
| December 31, 2021 | |||
Stock price on valuation date | $ | | $ | | ||
Exercise price per share | $ | | $ | | ||
Expected life |
|
| ||||
Volatility |
|
| ||||
Risk-free rate |
|
| ||||
Dividend yield |
|
| ||||
Fair value of warrants | $ | | $ | | ||
A reconciliation of warrant liabilities is included below (in thousands):
| December 31, 2022 | ||
Balance as of December 31, 2020 | $ | — | |
Additions pursuant to Merger | | ||
Gain upon re-measurement | ( | ||
Balance as of December 31, 2021 | $ | | |
Gain upon re-measurement | ( | ||
Balance as of December 31, 2022 | $ | | |
Earnout Cash liability
The fair value of the Earnout Cash liability has been estimated using probability-weighted discounted cash flow models (DCFs) with significant inputs that are not observable in the market and thus represents a Level 3 fair value measurement as defined in ASC 820. The most significant inputs include whether (a) if the Company files an NDA, that the FDA approves the Company’s NDA for ZYESAMI and/or NRX-101, (b) if such approval is granted, whether such approval will be received on or before December 31, 2022, and (c) if such approval is granted, whether ZYESAMI and/or NRX-101 will be listed in the FDA’s Orange Book on or before December 31, 2022. The DCFs incorporate Level 3 inputs including estimated discount rates that the Company believes market participants would consider relevant in pricing and the projected timing and amount of cash flows, which are estimated and developed, considering the uncertainties associated with the obligations. As of December 31, 2022, (i) the ZYESAMI NIH Phase III trial was stopped due to futility, and (ii) NRX-101 Phase III trial has not yet started, the earnout milestones were not achieved and the Earnout Cash liability was reduced to zero.
A reconciliation of the Earnout Cash liability is included below (in thousands):
| December 31, 2022 | ||
Balance as of December 31, 2020 | $ | — | |
Additions pursuant to Merger |
| | |
Gain upon re-measurement | ( | ||
Balance as of December 31, 2021 | $ | | |
Gain upon re-measurement | ( | ||
Balance as of December 31, 2022 | $ | — | |
119
12. Income Taxes
The Company maintains a full valuation allowance on its net deferred tax asset due to the uncertainty of future taxable income. The Company did not recognize an income tax benefit in the years ended December 31, 2022 and 2021 due to the uncertainty of future taxable income. In the years ended December 31, 2022 and 2021, the difference between the statutory tax rate and the Company’s effective tax rate was due primarily to the valuation allowance recorded to offset any potential tax benefit.
A reconciliation of the statutory U.S. federal income tax rate to the Company’s effective tax rate consist of the following:
For the Years Ended December 31, | |||||
2022 | 2021 | ||||
Federal statutory rate | ( | % | ( | % | |
Permanent items | | % | ( | % | |
Fair market value earnout | ( | % | ( | % | |
Settlement warrants | | % | | % | |
Stock compensation | ( | % | ( | % | |
Foreign rate differential | | % | ( | % | |
State taxes | ( | % | ( | % | |
Increase in valuation allowance | | % | | % | |
R&D credit | — | % | ( | % | |
Other | — | % | — | % | |
Effective tax rate | | % | | % | |
The components of income tax provision (benefit) are as follows (in thousands):
As of December 31, | |||||
2022 | 2021 | ||||
Federal | $ | $ | |||
Current | — | — | |||
Deferred | ( | ( | |||
Foreign | |||||
Current | — | — | |||
Deferred | | ( | |||
State and Local | |||||
Current | — | — | |||
Deferred | ( | ( | |||
Change in Valuation Allowance | | | |||
Total | $ | | $ | | |
Deferred income taxes reflect the net tax effects of temporary differences between the carrying value of assets and liabilities for financial reporting purposes and amounts used for income tax purposes. The temporary differences that give rise to deferred tax assets and liabilities are as follows:
As of December 31, | ||||||
2022 | 2021 | |||||
Deferred tax assets (liabilities): | ||||||
Net operating loss carryforwards | $ | | $ | | ||
Common stock warrants | | | ||||
Foreign net operating loss carryforwards | — | | ||||
174 capitalization | | — | ||||
Stock-based compensation | | | ||||
120
Bonus accrual | | | ||||
Settlement liability | — | — | ||||
Other | — | — | ||||
R&D credit | | | ||||
Depreciation | ( | ( | ||||
| | |||||
Valuation allowance | ( | ( | ||||
Deferred tax assets, net of allowance | $ | | $ | |
As of December 31, 2022 and 2021, the Company had federal net operating losses of approximately $
ASC 740 requires a valuation allowance to reduce the deferred tax assets reported if, based on the weight of the evidence, it is more likely than not that some portion or all of the deferred tax assets will not be realized. After consideration of all of the evidence, the Company has recorded a valuation allowance against its deferred tax assets at December 31, 2022 and 2021 because management has determined that it is more likely than not that the Company will not recognize the benefits of its federal and state deferred tax assets, primarily due to its history of cumulative net losses incurred since inception and its lack of commercialization of products or generation of revenue from product sales since inception.
The Company recorded approximately $
The Company recognizes interest accrued to unrecognized tax benefits and penalties as income tax expense. The Company accrued total penalties and interest of $
The Company files tax returns as prescribed by the tax laws of the jurisdictions in which they operate. In the normal course of business, the Company is subject to examination by federal and foreign jurisdictions where applicable based on the statute of limitations that apply in each jurisdiction. As of December 31, 2022, open years related to all jurisdictions are 2021, 2020, 2019, & 2018.
The Company has no open tax audits with any taxing authority as of December 31, 2022.
13. Related Party Transactions
The Company licenses patents that are owned by Glytech, LLC (“Glytech”), pursuant to a license agreement (the “Glytech Agreement”). Glytech is owned by a co-founder and former director of the Company. The Glytech Agreement requires that the Company pay Glytech for ongoing scientific support and also reimburse Glytech for expenses of obtaining and maintaining patents that are licensed to NRx Pharmaceuticals. During the years ended December 31, 2022 and 2021, the Company paid Glytech $
The Fourth Amendment to the Glytech Agreement, effective as of December 31, 2020, includes an equity value-triggered transfer of Excluded Technology from Glytech to NRx Pharmaceuticals. The Excluded Technology is defined in the Glytech Agreement as any technology, and any know-how related thereto, covered in the licensed patents that do not recite either D-cycloserine or lurasidone individually or jointly. This definition would cover pharmaceutical formulations, including some that NRx Pharmaceuticals considers “pipeline” or “future product” opportunities, that contain a
121
combination of pharmaceutical components different from those contained in NRX-100 and NRX-101. On November 6, 2022 the Glytech Agreement was amended whereby Glytech agreed to transfer and assign the remainder of the Licensed Technology and the Excluded Technology to NRx Pharmaceuticals for no additional consideration at any time upon receipt of written notice from the Company if, on or prior to January 31, 2023, (i) the value of the Glytech equity holdings in NRx Pharmaceuticals (the “Glytech Equity”) has an aggregate liquidity value of at least $50 million for twenty (20) consecutive trading days immediately preceding any given date and (ii) there are no legal or contractual restrictions on selling all of the securities represented by the Glytech Equity then applicable to Glytech (or reasonably foreseeable to be applicable to Glytech within the following twenty trading days). On January 31, 2023, the Glytech Agreement was further amended to extend the period to meet these conditions until March 31, 2023. The Company is working with Glytech to futher extend this period.
The Chief Scientist of the Company, Dr. Jonathan Javitt, is a major shareholder in the Company and a member of the Board of Directors. Therefore, his services are deemed to be a related party transaction. He served the Company on a full-time basis as CEO under an employment agreement with the Company until March 8, 2022 and currently serves under a Consulting Agreement with the Company as Chief Scientist thereafter and received compensation of $
Zachary Javitt is the son of Dr. Jonathan Javitt. Zachary Javitt provides services related to website, IT, and marketing support under the supervision of the Company’s CEO and the Company’s Senior Director of Global Communications, who are responsible for assuring that the services are provided on financial terms that are at market. The Company paid this family member a total of $
In addition, the Company paid PillTracker for digital health product development required to track the use of Aviptadil in clinical trials. Zachary Javitt and Jonathan Javitt are the chief executive officer and board chairman, respectively, of PillTracker. PillTracker agreements and transactions are submitted to the General Counsel of the Company and the Chair of the Audit Committee for approval in accordance with the terms of the Company’s Related Person Transactions Policy. The Master Service Agreement dated April 1, 2020 (“MSA”), and all work orders thereunder, have been suspended by mutual agreement pending the Company’s re-evaluation of its respiratory franchise. NRx Pharmaceuticals paid PillTracker $
Included in accounts payable were less than $
14. Subsequent Events
Financing
On March 8, 2023, NRx Pharmaceuticals entered into a securities purchase agreement with accredited investors (the “Investors”), providing for the issuance and sale of
Amendment to Convertible Note Payable
On March 30, 2023, the Company amended the Note to increase the ownership limitation to 9.99%.
122
Material Contract Amendment
On March 29, 2023, the Consulting Agreement dated March 8, 2022 (the “Javitt Consulting Agreement”) between the Company and Dr. Jonathan Javitt was amended to extend the term of the Agreement until March 8, 2024 with automatic annual renewals thereafter unless one party or the other provides notice of non-renewal. The amendment also provided for payment at the rate of $
The amendment also provides, subject to the approval of the Board of Directors, for a grant of
The term “New Drug Application Date” means the date upon which the Food and Drug Administration (“FDA”) files the Company’s new drug application for the Antidepressant Drug Regimen (as defined below) for review. The term “New Drug Approval Date” means date upon which the FDA has both approved the Company’s Antidepressant Drug Regimen and listed the Company’s Antidepressant Drug Regimen in the FDA’s “Orange Book”.The term “Antidepressant Drug Regimen” means NRX-101, a proprietary fixed-dose combination capsule of d-cycloserine and Lurasidone, administered for sequential weeks of daily oral treatment following patient stabilization using a single infusion of NRX-100 (ketamine) or another standard of care therapy.
The foregoing description of the amendment does not purport to be complete and is qualified in its entirety by the full text of the amendment attached hereto as Exhibit 10.53.
123
Item 9. Changes in and Disagreements with Accountants on Accounting and Financial Disclosure
None.
Item 9A. Controls and Procedures.
(a) Evaluation of Disclosure Controls and Procedures
We maintain “disclosure controls and procedures,” as such term is defined under Rule 13a-15(e) promulgated under the Exchange Act, designed to ensure that information required to be disclosed in our reports filed pursuant to the Exchange Act is recorded, processed, summarized and reported within the time periods specified in the SEC’s rules and forms, and that such information is accumulated and communicated to our management, including our principal executive officer and our principal financial officer, as appropriate to allow timely decisions regarding required disclosures.
In designing and evaluating the disclosure controls and procedures, we recognized that any controls and procedures, no matter how well designed and operated, can provide only reasonable assurance of achieving the desired control objectives, and we were required to apply our judgment in evaluating the cost-benefit relationship of possible controls and procedures. We have carried out an evaluation as of the end of the period covered by this Annual Report on Form 10-K under the supervision, and with the participation, of our management, including our Chief Executive Officer (who serves as our principal executive officer) and our Chief Financial Officer (who serves as our principal financial officer), of the effectiveness of the design and operation of our disclosure controls and procedures.
Based on that evaluation, our Chief Executive Officer and Chief Financial Officer concluded that our disclosure controls and procedures were effective as of the end of the period covered by this Annual Report on Form 10-K in providing reasonable assurance of achieving the desired control objectives.
Management’s Report on Internal Control over Financial Reporting
Our management is responsible for establishing and maintaining adequate internal control over financial reporting, as such term is defined in Exchange Act Rules 13a-15(f) and 15d-15(f). Internal control over financial reporting refers to the process designed by, or under the supervision of, our principal executive officer and principal financial officer, and effected by our Board of Directors, management and other personnel, to provide reasonable assurance regarding the reliability of financial reporting and the preparation of financial statements for external purposes in accordance with generally accepted accounting principles, and includes those policies and procedures that:
(1) pertain to the maintenance of records that in reasonable detail accurately and fairly reflect the transactions and dispositions of our assets;
(2) provide reasonable assurance that transactions are recorded as necessary to permit preparation of financial statements in accordance with GAAP, and that our receipts and expenditures are being made only in accordance with authorization of our management and directors; and
(3) provide reasonable assurance regarding prevention or timely detection of unauthorized acquisitions, use or disposition of our assets that could have a material effect on the financial statements.
Internal control over financial reporting has inherent limitations. Internal control over financial reporting is a process that involves human diligence and compliance and is subject to lapses in judgment and breakdowns resulting from human failures. Internal control over financial reporting also can be circumvented by collusion or improper management override. Because of such limitations, there is a risk that material misstatements may not be prevented or detected on a timely basis by internal control over financial reporting. However, these inherent limitations are known features of the financial reporting process. Therefore, it is possible to design into the process safeguards to reduce, though not eliminate, this risk.
124
Our management assessed the effectiveness of our internal control over financial reporting as of December 31, 2022. In making the assessment, management used the criteria set forth by the Committee of Sponsoring Organizations of the Treadway Commission (COSO) in Internal Control - Integrated Framework (2013). Based on the results of this assessment, management (including our Chief Executive Officer and our Chief Financial Officer) has concluded that, as of December 31, 2022, our internal control over financial reporting was effective.
Remediation of Material Weakness
To address the previously reported material weakness in internal control over financial reporting described in Part II, Item 9A of our 2021 Form 10-K, we performed risk assessments, designed and implemented new controls, enhanced existing controls, and improved reporting processes. Based on the actions taken, as well as the evaluation of the design and operating effectiveness of the new controls, we determined that the material weakness has been remediated as of December 31, 2022.
(b) Changes in Internal Control Over Financial Reporting
During 2022, we tested and adopted changes to our internal control over financial reporting related to our remediation efforts described above that materially affected, or are reasonably likely to materially affect, our internal control over financial reporting. Other than as described in the immediately preceding sentence, we did not make any additional such changes in internal control over financial reporting during the three months ended December 31, 2022.
Item 9B. Other Information
None.
125
Part III
Item 10. Directors, Executive Officers, and Corporate Governance
The information required by this Item 10 will be included in our definitive proxy statement to be filed with the SEC with respect to our 2023 Annual Meeting of Stockholders and is incorporated herein by reference.
Item 11. Executive Compensation
The information required by this Item 11 will be included in our definitive proxy statement to be filed with the SEC with respect to our 2023 Annual Meeting of Stockholders and is incorporated herein by reference. Please refer to the proxy for more information.
Item 12. Security Ownership of Certain Beneficial Owners and Management and Related Stockholder Matters
The information required by this Item 12 will be included in our definitive proxy statement to be filed with the SEC with respect to our 2023 Annual Meeting of Stockholders and is incorporated herein by reference.
Item 13. Certain Relationships and Related Transactions, and Director Independence
The information required by this Item 13 will be included in our definitive proxy statement to be filed with the SEC with respect to our 2023 Annual Meeting of Stockholders and is incorporated herein by reference.
Item 14. Principal Accountant Fees and Services (
The information required by this Item 14 will be included in our definitive proxy statement to be filed with the SEC with respect to our 2023 Annual Meeting of Stockholders and is incorporated herein by reference.
126
Part IV.
Item 15. Exhibits, Financial Statement Schedules
15(a)(1) Financial Statements. The following consolidated financial statements, related notes, report of independent registered public accounting firm and supplementary data are set forth in Item 8. Financial Statements and Supplementary Data in this annual report:
• Report of Independent Registered Public Accounting Firm on the Consolidated Financial Statements
• Consolidated Balance Sheets
• Consolidated Statement of Operations
• Consolidated Statements of Stockholders’ Equity (Deficit)
• Consolidated Statements of Cash Flows
• Notes to Consolidated Financial Statements
15(a)(2) Financial Statement Schedules. Schedules are omitted because they are not required or because the information is provided elsewhere in the financial statements. The financial statements of unconsolidated subsidiaries are omitted because, considered in the aggregate, they would not constitute a significant subsidiary.
Incorporated by Reference Exhibit | ||||||
|---|---|---|---|---|---|---|
Exhibit Number | Description | Form | Exhibit | Filing | File | |
3.1 |
| 8-K | 3.1 | 05/28/2021 | ||
3.2 | 8-K | 3.2 | 05/28/2021 | |||
4.1 | 8-K | 4.2 | 11/22/2017 | |||
4.2 | Form of Unit Purchase Option, dated November 20, 2017, with EarlyBirdCapital, Inc. and its designees | 8-K | 4.3 | 11/22/2017 | ||
4.3 | 8-K/A | 4.1 | 03/14/2023 | |||
10.1 | 8-K | 10.1 | 08/24/2021 | |||
10.2 | 8-K | 10.2 | 08/24/2021 | |||
10.3 | 8-K | 10.3 | 08/24/2021 | |||
10.4 | 8-K | 10.4 | 08/24/2021 | |||
10.5 | 8-K | 10.2 | 11/22/2017 | |||
10.6 | Registration Rights Agreement among BRPA and Big Rock Partners Sponsor, LLC | 8-K | 10.3 | 11/22/2017 | ||
127
Incorporated by Reference Exhibit | ||||||
|---|---|---|---|---|---|---|
Exhibit Number | Description | Form | Exhibit | Filing | File | |
10.7 | 8-K | 10.1 | 11/20/2018 | |||
10.8 | 8-K | 10.2 | 11/20/2018 | |||
10.9 | Registration Rights Assignment Agreement, dated November 17, 2018 | 8-K | 10.3 | 11/20/2018 | ||
10.10 | 8-K | 10.6 | 05/28/2021 | |||
10.11 | 8-K | 10.7 | 05/28/2021 | |||
10.12 | 8-K | 10.8 | 05/28/2021 | |||
10.13 | 8-K | 10.9 | 05/28/2021 | |||
10.14 | S-4 | 10.22 | 05/21/2021 | |||
10.15 | 8-K | 10.1 | 03/15/2021 | |||
10.16 | Development and License Agreement, dated as of May 2, 2016, between Glytech LLC and NeuroRx | S-4 | 10.24 | 05/21/2021 | ||
10.17 | S-4 | 10.25 | 05/21/2021 | |||
10.18 | S-4 | 10.26 | 05/21/2021 | |||
10.19 | S-4 | 10.27 | 05/21/2021 | |||
10.20 | S-4 | 10.28 | 05/21/2021 | |||
10.21 | S-4 | 10.29 | 05/21/2021 | |||
10.22 | S-4 | 10.30 | 05/21/2021 | |||
10.23 | S-4 | 10.31 | 05/21/2021 | |||
128
Incorporated by Reference Exhibit | ||||||
|---|---|---|---|---|---|---|
Exhibit Number | Description | Form | Exhibit | Filing | File | |
10.24 | S-4 | 10.32 | 05/21/2021 | |||
10.25 | Executive Employment Agreement, dated May 20, 2015, between NeuroRx and Jonathan C. Javitt | S-4 | 10.33 | 05/21/2021 | ||
10.26 | S-4 | 10.34 | 05/21/2021 | |||
10.27 | S-4 | 10.35 | 05/21/2021 | |||
10.28 | Consulting Agreement, dated as of January 1, 2021, between NeuroRx and Del Buono Legal, PLLC | S-4 | 10.36 | 05/21/2021 | ||
10.29 | S-4 | 10.37 | 05/21/21 | |||
10.30 | S-4 | 10.38 | 05/21/2021 | |||
10.31 | S-4 | 10.39 | 05/21/2021 | |||
10.32 | S-4 | 10.40 | 05/21/2021 | |||
10.33 | S-4 | 10.41 | 05/21/2021 | |||
10.34 | S-4 | 10.42 | 05/21/2021 | |||
10.35 | S-4 | 10.43 | 05/21/2021 | |||
10.36 | S-4 | 10.44 | 05/21/2021 | |||
10.37 | 8-K | 10.33 | 05/28/2021 | |||
10.38 | Voting Agreement by and between Jonathan Javitt and Daniel Javitt | 8-K | 10.34 | 05/28/2021 | ||
10.39 | Statement of Work, dated July 26, 2021, between Pilltracker Ltd. and NeuroRx, Inc. | 10-Q | 10.1 | 11/15/2021 | ||
10.40 | 8-K | 10.1 | 02/03/2022 | |||
129
Incorporated by Reference Exhibit | ||||||
|---|---|---|---|---|---|---|
Exhibit Number | Description | Form | Exhibit | Filing | File | |
10.41 | 8-K | 10.2 | 02/03/2022 | |||
10.42 | 8-K | 10.3 | 02/03/2022 | |||
10.43 | 8-K | 10.4 | 02/03/2022 | |||
10.44 | Consulting Agreement, dated March 8, 2022, by and between the Company and Dr. Jonathan Javitt | 8-K | 10.1 | 03/09/2022 | ||
10.45 | 8-K | 10.2 | 03/09/2022 | |||
10.46 | 10-Q | 10.1 | 08/15/2022 | |||
10.47 | 8-K | 10.1 | 11/09/2022 | |||
10.48 | 8-K | 10.2 | 11/09/2022 | |||
10.49 | 8-K | 10.3 | 11/09/2022 | |||
10.50 | 10-Q | 10.1 | 11/14/2022 | |||
10.51 | 8-K/A | 10.1 | 03/14/2023 | |||
10.52+ | Pill Tracker Supplemental Task Order, dated November 15, 2021. | 10-K | 10.46 | 03/31/2022 | ||
10.53 | X | |||||
23.1 | X | |||||
31.1 | X | |||||
31.2 | X | |||||
32.1† | X | |||||
32.2† | X | |||||
130
Incorporated by Reference Exhibit | ||||||
|---|---|---|---|---|---|---|
Exhibit Number | Description | Form | Exhibit | Filing | File | |
101 | Interactive data files pursuant to Rule 405 of Regulation S-T formatted in Inline XBRL: (i) Consolidated Balance Sheets as of December 31, 2022 and December 31, 2021; (ii) Consolidated Statements of Operations for the years ended December 31, 2022 and 2021; (iii) Consolidated Statements of Changes in Stockholders' Equity (Deficit) for the years ended December 31, 2022 and 2021; (iv) Consolidated Statements of Cash Flows for the years ended December 31, 2022 and 2021; and (v) Notes to Financial Statements | |||||
104 | Cover Page Interactive Data File (formatted in iXBRL and contained in Exhibit 101) | |||||
+ Certain portions of this exhibit have been redacted pursuant to Item 601(b)(10)(iv) of Regulations S-K. The Company will furnish supplementally an unredacted copy of such exhibit to the Securities and Exchange Commission or its staff upon request.
† This certification is being furnished solely to accompany this annual report pursuant to 18 U.S.C. Section 1350, and is not being filed for purposes of Section 18 of the Securities Exchange Act of 1934, as amended, and is not to be incorporated by reference into any filing of the registrant, whether made before or after the date hereof, regardless of any general incorporation language in such filing.
131
SIGNATURES
Pursuant to the requirements of Section 13 or 15(d) of the Securities Exchange Act of 1934, the registrant has duly caused this report to be signed on its behalf by the undersigned, thereunto duly authorized, on March 31, 2023.
NRX PHARMACEUTICALS, INC. | |||
By: | /s/ Seth Van Voorhees | ||
Seth Van Voorhees | |||
Chief Financial Officer (Principal Financial Officer) | |||
Pursuant to the requirements of the Securities Exchange Act of 1934, this report has been signed below on March 31, 2023 by the following persons on behalf of the registrant and in the capacities indicated:
Signature | Title | |
/s/ Stephen H. Willard | ||
Stephen H. Willard | Chief Executive Officer | |
(Principal Executive Officer) | ||
/s/ Seth Van Voorhees | Chief Financial Officer | |
Seth Van Voorhees | (Principal Financial Officer and Principal Accounting Officer) | |
/s/ Patrick J. Flynn | Director | |
Patrick J. Flynn | ||
/s/ Sherry A. Glied | Director | |
Sherry A. Glied | ||
/s/ Aaron Gorovitz | Director | |
Aaron Gorovitz | ||
/s/ Chaim Hurvitz | Director | |
Chaim Hurvitz | ||
/s/ Jonathan C. Javitt | Director | |
Jonathan C. Javitt |
132
FIRST AMENDMENT TO CONSULTING AGREEMENT
This First Amendment to Consulting Agreement (this “Amendment”) is entered into by and between NRx Pharmaceuticals, Inc., a Delaware corporation (the “Company”), and Jonathan C. Javitt (“Consultant”). This Amendment is dated March 29, 2023 but shall apply with affect from March 9, 2023 (the “Amendment Effective Date”).
WHEREAS, the Company and the Consultant entered into the Consulting Agreement, effective as of March 8, 2022 (the “Consulting Agreement”), whereby Consultant agreed to provide consulting services for the benefit of the Company; and
WHEREAS, the Company and Consultant desire to amend the Consulting Agreement as set forth in this Amendment.
NOW, THEREFORE, the Company and Consultant hereby agree as follows:
1.Term. The first sentence of Section 2 of the Consulting Agreement is hereby deleted and replaced with the following:
“Subject to earlier termination pursuant to Section 5, the term of this Agreement shall be effective as of the Effective Date and shall continue until it expires on March 8, 2024. The contract shall be renewed for successive one year terms unless 60 days notice is provided prior to the first renewal date and 90 days notice is provided prior to subsequent renewal dates.”
2. | Section 3c(ii) shall be amended as follows: |
hand, (ii) Consultant shall not have any right to act for, represent or otherwise bind the Company or any of their respective Affiliates in any manner, except as directed by the Company’s Chief Executive Office and (iii) Consultant shall not be entitled, and Consultant hereby waives any right, to participate in any benefit plans or programs of the Company or any of its Affiliates, except as granted by the Chief Executive Officer. Consultant acknowledges and agrees that the Company shall have no obligation to pay or provide continued health or medical coverage to Consultant. Consultant further acknowledges and agrees that Consultant shall have no right to bind the Company, except as authorized by the Chief Executive Officer. Consultant shall not (x) incur any expenses unless authorized in advance in writing by the Board or its designee, with the exception of routine travel expenses for meetings authorized by the Chief Executive Officer under travel policies in his prior employment contract, (y) issue any press releases or similar statements with respect to the Company except as authorized by the Chief Executive Officer or (z) enter into or seek to enter into any transactions on behalf of the Company, except as authorized by the Chief Executive Officer. Consultant acknowledges and agrees that he has disclosed to the Board all contracts and commitments that he has previously entered into with respect to or on behalf of the Company and its Affiliates. Consultant also acknowledges and agrees that any personal security arrangements or obligations of the Company with respect to Consultant shall be transferred to Consultant and Consultant shall be solely responsible for such payments and shall relieve the Company from any obligations thereunder.
2.Notices. Section 23 of the Consulting Agreement is hereby amended such that the address to which notices or other communications required or permitted to be given to the Company under the Consulting Agreement shall be:
NRx Pharmaceuticals, Inc.
1201 North Market Street
Suite 111
Wilmington, DE 19801
Attention: Stephen H. Willard, Chief Executive Officer
Email: willard@nrxpharma.com
with copies (which will not constitute notice hereunder) to:
Douglas Boggs, Esq.
DLA Piper (US) LLP
500 8th Street, NW
Washington, DC 20004
202-799-4070
Email: douglas.boggs@us.dlapiper.com
3.Exhibit A. Exhibit A to the Consulting Agreement shall be replaced in its entirety with the amended Exhibit A attached hereto.
4.Exhibit B. Exhibit B to the Consulting Agreement shall be replaced in its entirety with the amended Exhibit B attached hereto.
5.Except as expressly modified by this Amendment, all other provisions contained in the Consulting Agreement are hereby ratified and remain in full force and effect. All references to the “Agreement” in the Consulting Agreement shall mean the Consulting Agreement as amended by this Amendment. Any conflict or ambiguity that arises between this Amendment and the Consulting Agreement shall be resolved in favor of this Amendment.
6.This Amendment shall be governed by and in accordance with Section 17 of the Consulting Agreement.
7.This Amendment may be executed in any number of counterparts, each of which shall be enforceable against the parties actually executing such counterparts, and all of which together shall constitute one instrument. Delivery of an executed copy of this Amendment by electronic facsimile transmission or other means of electronic communication capable of producing a printed copy will be deemed to be execution and delivery of this Amendment as of the Amendment Effective Date.
IN WITNESS WHEREOF, the parties hereto, intending legally to be bound hereby, have executed this Amendment as of the date first above written.
| NRX PHARMACEUTICALS, INC. | ||
| | ||
| | ||
| By: | | |
| | Name: | Stephen Willard |
| | Title: | Chief Executive Officer |
| | | |
| | ||
| | ||
| CONSULTANT | ||
| | ||
| | ||
| Jonathan C. Javitt | ||
EXHIBIT A
SERVICES
Consultant shall serve as the Company’s Chief Scientist and shall lead the Company’s scientific activities as follow:
| ● | The Consultant shall serve as the Company’s Chief Scientist and shall lead the Company’s Scientific, Clinical, Manufacturing, Regulatory, and related functions, reporting to the Company’s CEO. Consultant shall have the authority to bind the company on routine business matters under the CEO’s direction. |
| ● | The Consultant shall review scientific information and provide strategic implications advice in quadrants of strategic interest including depression, suicidality and PTSD. |
| ● | Consultant shall advise the CEO and his designees on methods to strengthen the Company’s regulatory and clinical trial operations and implement those methods. |
| ● | The Consultant shall provide insights to emerging policies and support in developing strategies to prepare for opportunities. |
| ● | The Consultant shall provide insights to external partners and scientific advisors that can help support the Company in specific projects. |
EXHIBIT B
CONSULTANT FEES AND PAYMENT TERMS
1.Consultant Fees.
(a)Monthly Fee. Payment at the rate of $575,000 per full year that Consultant is engaged in providing the Services, payable monthly (i.e., $47,916.67 per month) in advance and prorated for the number of days in any partial month.
(b)Annual Bonus. Consultant shall be considered annually by the Board for a performance- based bonus (the “Annual Bonus”) with a minimum target of $250,000, at the discretion of the Board and upon satisfactory performance of the Services. The Annual Bonus, if any, is payable in March following the applicable calendar year and subject to Consultant’s continued engagement by the Company on the payment date, in accordance with the normal payroll and bonus practices of the Company. The Annual Bonus for the 2023 calendar year, if any, shall be pro-rated based on the number of days during the 2023 calendar year following March 8, 2023 that Consultant is engaged by the Company divided by 365.
(c)Equity Compensation. Subject to the approval of the Board, Consultant shall be awarded a grant of 500,000 shares of restricted stock of the Company (the “Shares”), pursuant and subject in all respects to the terms and conditions as set forth in the award agreement to be entered into by and between the Company and Consultant. 250,000 of the Shares shall vest on the New Drug Application Date (as defined below) and the remaining 250,000 Shares shall vest on the New Drug Approval Date (as defined below).
(i) | The term “New Drug Application Date” means the date upon which the Food and Drug Administration (“FDA”) files the Company’s new drug application for the Antidepressant Drug Regimen (as defined below) for review. |
(ii) | The term “New Drug Approval Date” means date upon which the FDA has both approved the Company’s Antidepressant Drug Regimen and listed the Company’s Antidepressant Drug Regimen in the FDA’s “Orange Book”. |
(iii) | The term “Antidepressant Drug Regimen” means NRX-101, a proprietary fixed- dose combination capsule of d-cycloserine and Lurasidone, administered for sequential weeks of daily oral treatment following patient stabilization using a single infusion of NRX-100 (ketamine) or another standard of care therapy. |
(d)The payment of the fees and other compensation described in this Exhibit B (collectively, the “Consultant Fees”) shall be subject to compliance with the terms of this Agreement, applicable law, regulation and the Company’s internal policies; provided that as a condition to any payment of Consultant Fees, Consultant shall provide within 30 days following the conclusion of the applicable month during the Term, an invoice or other documentation describing the Services rendered.
(e)Consultant shall keep and maintain an accurate and reasonably detailed record of days actually worked providing the Services during the Term.
2.Expenses. During the Term, the Company shall reimburse Consultant for Consultant’s reasonable and necessary out-of-pocket business expenses actually incurred in connection with providing the Services, to the extent (x) incurred in accordance with the Company’s then- prevailing policies and procedures (which shall include appropriate itemization, allocation and substantiation of expenses incurred) for expense reimbursement of consultants, and (y) approved in advance in writing by the CEO. Such reimbursement shall be paid to Consultant within 10 days of being approved by CEO.
Exhibit 23.1
Consent of Independent Registered Public Accounting Firm
We consent to the incorporation by reference in the registration statements (No. 333-264201 and No. 333-265492) on Form S-3 of our report dated March 31, 2023, with respect to the consolidated financial statements of NRx Pharmaceuticals, Inc.
/s/ KPMG LLP
Short Hills, New Jersey
March 31, 2023
Exhibit 31.1
CERTIFICATION OF THE CHIEF EXECUTIVE OFFICER
PURSUANT TO RULE 13a-14(a) AND 15d-14(a),
AS ADOPTED PURSUANT TO SECTION 302 OF THE SARBANES-OXLEY ACT OF 2002
I, Stephen H. Willard, Chief Executive Officer of NRx Pharmaceuticals, Inc., certify that:
1. | I have reviewed this Annual Report on Form 10-K of NRx Pharmaceuticals, Inc. (the “Registrant”); |
2. | Based on my knowledge, this report does not contain any untrue statement of a material fact or omit to state a material fact necessary to make the statements made, in light of the circumstances under which such statements were made, not misleading with respect to the period covered by this Annual Report; |
3. | Based on my knowledge, the financial statements, and other financial information included in this report, fairly present in all material respects the financial condition, results of operations, and cash flows of the Registrant as of, and for, the periods presented in this Annual Report; |
4. | The Registrant’s other certifying officer and I are responsible for establishing and maintaining disclosure controls and procedures (as defined in Exchange Act Rules 13a-15(e) and 15d-15(e)) and internal control over financial reporting (as defined in Exchange Act Rules 13a-15(f) and 15d-15(f)) for the Registrant and have: |
a. | Designed such disclosure controls and procedures, or caused such disclosure controls and procedures to be designed under our supervision, to ensure that material information relating to the Registrant is made known to us by others within those entities, particularly during the period in which this Annual Report is being prepared; |
b. | Designed such internal control over financial reporting, or caused such internal control over financial reporting to be designed under our supervision, to provide reasonable assurance regarding the reliability of financial reporting and the preparation of financial statements for external purposes in accordance with generally accepted accounting principles; |
c. | Evaluated the effectiveness of the Registrant’s disclosure controls and procedures and presented in this report our conclusions about the effectiveness of the disclosure controls and procedures, as of the end of the period covered by this report based on such evaluation; and |
d. | Disclosed in this report any change in the Registrant’s internal control over financial reporting that occurred during the Registrant’s most recent fiscal quarter (the Registrant's fourth fiscal quarter in the case of an annual report) that has materially affected, or is reasonably likely to materially affect, the Registrant’s internal control over financial reporting; and |
5. | The Registrant’s other certifying officer and I have disclosed, based on our most recent evaluation of internal control over financial reporting, to the Registrant’s auditors and the audit committee of the Registrant’s board of directors (or persons performing equivalent functions): |
a. | All significant deficiencies and material weaknesses in the design or operation of internal control over financial reporting which are reasonably likely to adversely affect the Registrant’s ability to record, process, summarize and report financial information; and |
b. | Any fraud, whether or not material, that involves management or other employees who have a significant role in the Registrant’s internal control over financial reporting. |
Date: March 31, 2023 | /s/ Stephen H. Willard |
Stephen H. Willard | |
Chief Executive Officer (Principal Executive Officer) |
Exhibit 31.2
CERTIFICATION OF THE CHIEF FINANCIAL OFFICER
PURSUANT TO RULE 13a-14(a) AND 15d-14(a),
AS ADOPTED PURSUANT TO SECTION 302 OF THE SARBANES-OXLEY ACT OF 2002
I, Seth Van Voorhees, Chief Financial Officer of NRx Pharmaceuticals, Inc., certify that:
1. | I have reviewed this Annual Report on Form 10-K of NRx Pharmaceuticals, Inc. (the “Registrant”); |
2. | Based on my knowledge, this report does not contain any untrue statement of a material fact or omit to state a material fact necessary to make the statements made, in light of the circumstances under which such statements were made, not misleading with respect to the period covered by this Annual Report; |
3. | Based on my knowledge, the financial statements, and other financial information included in this report, fairly present in all material respects the financial condition, results of operations, and cash flows of the Registrant as of, and for, the periods presented in this Annual Report; |
4. | The Registrant’s other certifying officer and I are responsible for establishing and maintaining disclosure controls and procedures (as defined in Exchange Act Rules 13a-15(e) and 15d-15(e)) and internal control over financial reporting (as defined in Exchange Act Rules 13a-15(f) and 15d-15(f)) for the Registrant and have: |
a. | Designed such disclosure controls and procedures, or caused such disclosure controls and procedures to be designed under our supervision, to ensure that material information relating to the Registrant is made known to us by others within those entities, particularly during the period in which this Annual Report is being prepared; |
b. | Designed such internal control over financial reporting, or caused such internal control over financial reporting to be designed under our supervision, to provide reasonable assurance regarding the reliability of financial reporting and the preparation of financial statements for external purposes in accordance with generally accepted accounting principles; |
c. | Evaluated the effectiveness of the Registrant’s disclosure controls and procedures and presented in this report our conclusions about the effectiveness of the disclosure controls and procedures, as of the end of the period covered by this report based on such evaluation; and |
d. | Disclosed in this report any change in the Registrant’s internal control over financial reporting that occurred during the Registrant’s most recent fiscal quarter (the Registrant's fourth fiscal quarter in the case of an annual report) that has materially affected, or is reasonably likely to materially affect, the Registrant’s internal control over financial reporting; and |
5. | The Registrant’s other certifying officer and I have disclosed, based on our most recent evaluation of internal control over financial reporting, to the Registrant’s auditors and the audit committee of the Registrant’s board of directors (or persons performing equivalent functions): |
a. | All significant deficiencies and material weaknesses in the design or operation of internal control over financial reporting which are reasonably likely to adversely affect the Registrant’s ability to record, process, summarize and report financial information; and |
b. | Any fraud, whether or not material, that involves management or other employees who have a significant role in the Registrant’s internal control over financial reporting. |
Date: March 31, 2023 | /s/ Seth Van Voorhees |
Seth Van Voorhees | |
Chief Financial Officer (Principal Financial Officer) |
Exhibit 32.1
CERTIFICATION OF THE CHIEF EXECUTIVE OFFICER
PURSUANT TO 18 U.S.C. SECTION 1350,
AS ADOPTED PURSUANT TO SECTION 906 OF THE SARBANES-OXLEY ACT OF 2002
In connection with the filing of the Annual Report on Form 10-K for the twelve months ended December 31, 2022 (the “Report”) by NRx Pharmaceuticals, Inc. (the “Registrant”), I, Stephen H. Willard as Chief Executive Officer of the Registrant hereby certify pursuant to 18 U.S.C. Section 1350, as adopted pursuant to Section 906 of the Sarbanes-Oxley Act of 2002, that, to the best of my knowledge:
1. | the Report fully complies with the requirements of Section 13(a) or Section 15(d) of the Securities Exchange Act of 1934, as amended; and |
2. | the information contained in the Report fairly presents, in all material respects, the financial condition and results of operations of the Registrant. |
Date: March 31, 2023 | /s/ Stephen H. Willard |
Stephen H. Willard | |
Chief Executive Officer (Principal Executive Officer) |
A signed original of this written statement required by Section 906, or other document authenticating, acknowledging, or otherwise adopting the signature that appears in typed form within the electronic version of this written statement required by Section 906, has been provided to the Registrant and will be retained by the Registrant and furnished to the Securities and Exchange Commission or its staff upon request.
Exhibit 32.2
CERTIFICATION OF THE CHIEF FINANCIAL OFFICER
PURSUANT TO 18 U.S.C. SECTION 1350,
AS ADOPTED PURSUANT TO SECTION 906 OF THE SARBANES-OXLEY ACT OF 2002
In connection with the filing of the Annual Report on Form 10-K for the twelve months ended December 31, 2022 (the “Report”) by NRx Pharmaceuticals, Inc. (the “Registrant”), I, Seth Van Voorhees as Chief Financial Officer of the Registrant hereby certify pursuant to 18 U.S.C. Section 1350, as adopted pursuant to Section 906 of the Sarbanes-Oxley Act of 2002, that, to the best of my knowledge:
1. | the Report fully complies with the requirements of Section 13(a) or Section 15(d) of the Securities Exchange Act of 1934, as amended; and |
2. | the information contained in the Report fairly presents, in all material respects, the financial condition and results of operations of the Registrant. |
Date: March 31, 2023 | /s/ Seth Van Voorhees |
Seth Van Voorhees | |
Chief Financial Officer (Principal Financial Officer) |
A signed original of this written statement required by Section 906, or other document authenticating, acknowledging, or otherwise adopting the signature that appears in typed form within the electronic version of this written statement required by Section 906, has been provided to the Registrant and will be retained by the Registrant and furnished to the Securities and Exchange Commission or its staff upon request.